trap查询支持的FDR估计的查询Mix-Max方法。

IF 3.6 2区 生物学 Q1 BIOCHEMICAL RESEARCH METHODS
Journal of Proteome Research Pub Date : 2025-03-07 Epub Date: 2025-02-05 DOI:10.1021/acs.jproteome.4c00744
Dominik Madej, Henry Lam
{"title":"trap查询支持的FDR估计的查询Mix-Max方法。","authors":"Dominik Madej, Henry Lam","doi":"10.1021/acs.jproteome.4c00744","DOIUrl":null,"url":null,"abstract":"<p><p>Estimating the false discovery rate (FDR) is one of the key steps in ensuring appropriate error control in the analysis of shotgun proteomics data. Traditional estimation methods typically rely on decoy sequence databases or spectral libraries, which may not always provide satisfactory results due to limitations of decoy construction methods. This study introduces the query mix-max (QMM) method, a decoy-free alternative for FDR estimation in proteomics. The QMM framework builds upon the existing mix-max procedure but replaces decoy matches with entrapment queries to estimate the number of false positive discoveries. Through simulations and real data set analyses, the QMM method was demonstrated to provide reasonably accurate FDR estimation across various scenarios, particularly when smaller sample-to-entrapment spectra ratios were achieved. The QMM method tends to be conservatively biased, particularly at higher FDR values, which can ensure stringent FDR control. While flexible, the protocol's effectiveness may vary depending on the evolutionary distance between the sample and entrapment organisms. It also requires a sufficient number of entrapment queries to provide stable FDR estimates, especially for low FDR values. Despite these limitations, the QMM method is a promising alternative as one of the first query-based FDR estimation approaches in shotgun proteomics.</p>","PeriodicalId":48,"journal":{"name":"Journal of Proteome Research","volume":" ","pages":"1135-1147"},"PeriodicalIF":3.6000,"publicationDate":"2025-03-07","publicationTypes":"Journal Article","fieldsOfStudy":null,"isOpenAccess":false,"openAccessPdf":"https://www.ncbi.nlm.nih.gov/pmc/articles/PMC11894652/pdf/","citationCount":"0","resultStr":"{\"title\":\"Query Mix-Max Method for FDR Estimation Supported by Entrapment Queries.\",\"authors\":\"Dominik Madej, Henry Lam\",\"doi\":\"10.1021/acs.jproteome.4c00744\",\"DOIUrl\":null,\"url\":null,\"abstract\":\"<p><p>Estimating the false discovery rate (FDR) is one of the key steps in ensuring appropriate error control in the analysis of shotgun proteomics data. Traditional estimation methods typically rely on decoy sequence databases or spectral libraries, which may not always provide satisfactory results due to limitations of decoy construction methods. This study introduces the query mix-max (QMM) method, a decoy-free alternative for FDR estimation in proteomics. The QMM framework builds upon the existing mix-max procedure but replaces decoy matches with entrapment queries to estimate the number of false positive discoveries. Through simulations and real data set analyses, the QMM method was demonstrated to provide reasonably accurate FDR estimation across various scenarios, particularly when smaller sample-to-entrapment spectra ratios were achieved. The QMM method tends to be conservatively biased, particularly at higher FDR values, which can ensure stringent FDR control. While flexible, the protocol's effectiveness may vary depending on the evolutionary distance between the sample and entrapment organisms. It also requires a sufficient number of entrapment queries to provide stable FDR estimates, especially for low FDR values. Despite these limitations, the QMM method is a promising alternative as one of the first query-based FDR estimation approaches in shotgun proteomics.</p>\",\"PeriodicalId\":48,\"journal\":{\"name\":\"Journal of Proteome Research\",\"volume\":\" \",\"pages\":\"1135-1147\"},\"PeriodicalIF\":3.6000,\"publicationDate\":\"2025-03-07\",\"publicationTypes\":\"Journal Article\",\"fieldsOfStudy\":null,\"isOpenAccess\":false,\"openAccessPdf\":\"https://www.ncbi.nlm.nih.gov/pmc/articles/PMC11894652/pdf/\",\"citationCount\":\"0\",\"resultStr\":null,\"platform\":\"Semanticscholar\",\"paperid\":null,\"PeriodicalName\":\"Journal of Proteome Research\",\"FirstCategoryId\":\"99\",\"ListUrlMain\":\"https://doi.org/10.1021/acs.jproteome.4c00744\",\"RegionNum\":2,\"RegionCategory\":\"生物学\",\"ArticlePicture\":[],\"TitleCN\":null,\"AbstractTextCN\":null,\"PMCID\":null,\"EPubDate\":\"2025/2/5 0:00:00\",\"PubModel\":\"Epub\",\"JCR\":\"Q1\",\"JCRName\":\"BIOCHEMICAL RESEARCH METHODS\",\"Score\":null,\"Total\":0}","platform":"Semanticscholar","paperid":null,"PeriodicalName":"Journal of Proteome Research","FirstCategoryId":"99","ListUrlMain":"https://doi.org/10.1021/acs.jproteome.4c00744","RegionNum":2,"RegionCategory":"生物学","ArticlePicture":[],"TitleCN":null,"AbstractTextCN":null,"PMCID":null,"EPubDate":"2025/2/5 0:00:00","PubModel":"Epub","JCR":"Q1","JCRName":"BIOCHEMICAL RESEARCH METHODS","Score":null,"Total":0}
引用次数: 0

摘要

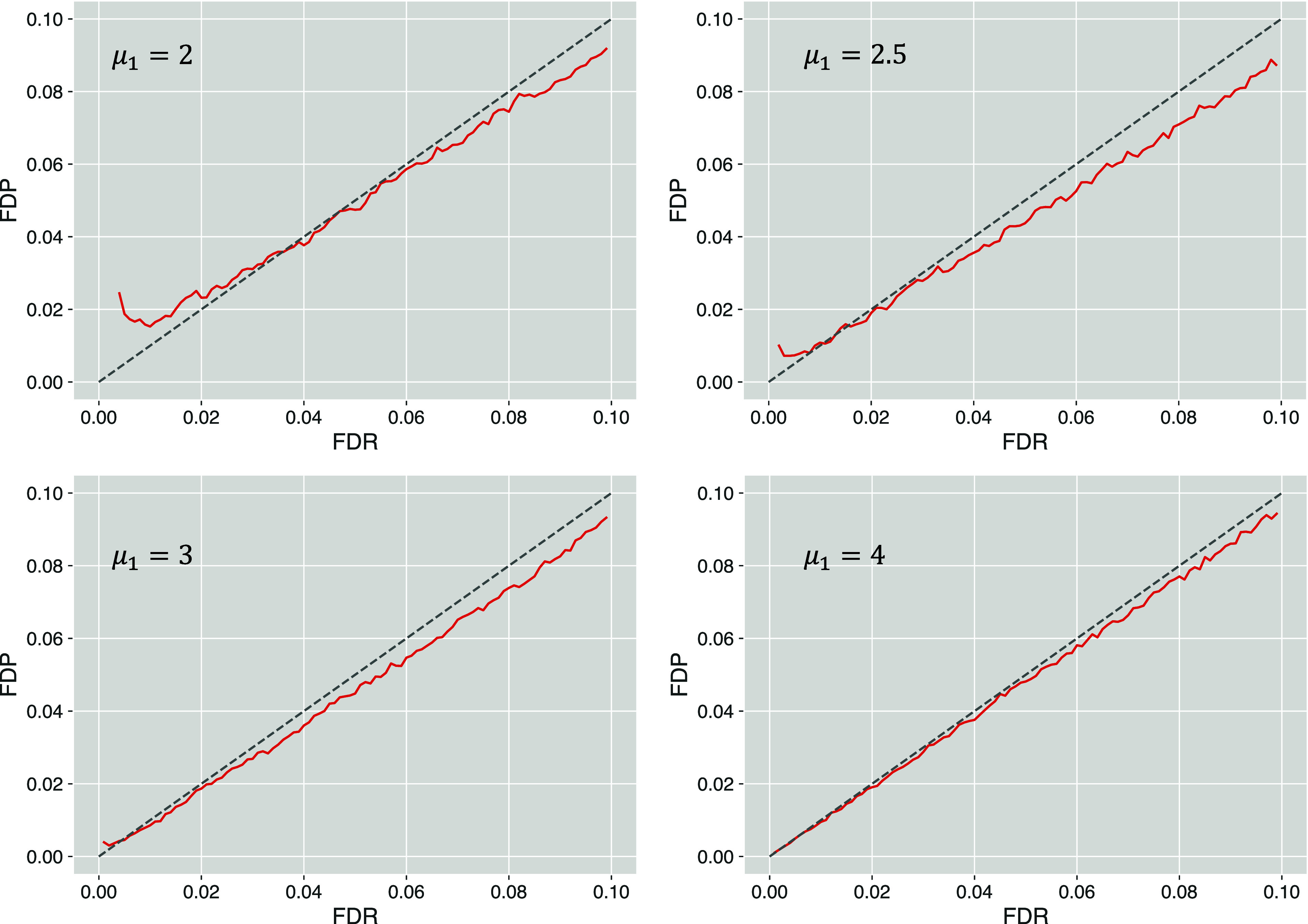
估计错误发现率(FDR)是确保在鸟枪式蛋白质组学数据分析中适当控制错误的关键步骤之一。传统的估计方法通常依赖于诱饵序列数据库或谱库,由于诱饵构建方法的限制,这些方法不一定能提供令人满意的结果。本研究引入了查询混合最大(QMM)方法,这是蛋白质组学中FDR估计的无诱饵替代方法。QMM框架建立在现有的mix-max过程的基础上,但用诱捕查询代替诱饵匹配来估计假阳性发现的数量。通过模拟和实际数据集分析,证明了QMM方法可以在各种情况下提供相当准确的FDR估计,特别是当实现较小的样本-捕获光谱比时。QMM方法倾向于保守偏差,特别是在较高的FDR值时,这可以确保严格的FDR控制。虽然灵活,但该方案的有效性可能因样品和捕获生物之间的进化距离而异。它还需要足够数量的捕获查询来提供稳定的FDR估计,特别是对于低FDR值。尽管存在这些限制,QMM方法作为霰弹枪蛋白质组学中第一个基于查询的FDR估计方法之一是一个很有前途的替代方法。
本文章由计算机程序翻译,如有差异,请以英文原文为准。

Query Mix-Max Method for FDR Estimation Supported by Entrapment Queries.

Query Mix-Max Method for FDR Estimation Supported by Entrapment Queries.

Query Mix-Max Method for FDR Estimation Supported by Entrapment Queries.

Query Mix-Max Method for FDR Estimation Supported by Entrapment Queries.

Estimating the false discovery rate (FDR) is one of the key steps in ensuring appropriate error control in the analysis of shotgun proteomics data. Traditional estimation methods typically rely on decoy sequence databases or spectral libraries, which may not always provide satisfactory results due to limitations of decoy construction methods. This study introduces the query mix-max (QMM) method, a decoy-free alternative for FDR estimation in proteomics. The QMM framework builds upon the existing mix-max procedure but replaces decoy matches with entrapment queries to estimate the number of false positive discoveries. Through simulations and real data set analyses, the QMM method was demonstrated to provide reasonably accurate FDR estimation across various scenarios, particularly when smaller sample-to-entrapment spectra ratios were achieved. The QMM method tends to be conservatively biased, particularly at higher FDR values, which can ensure stringent FDR control. While flexible, the protocol's effectiveness may vary depending on the evolutionary distance between the sample and entrapment organisms. It also requires a sufficient number of entrapment queries to provide stable FDR estimates, especially for low FDR values. Despite these limitations, the QMM method is a promising alternative as one of the first query-based FDR estimation approaches in shotgun proteomics.

求助全文
通过发布文献求助,成功后即可免费获取论文全文。 去求助
来源期刊
Journal of Proteome Research
Journal of Proteome Research 生物-生化研究方法
CiteScore
9.00
自引率
4.50%
发文量
251
审稿时长
3 months
期刊介绍: Journal of Proteome Research publishes content encompassing all aspects of global protein analysis and function, including the dynamic aspects of genomics, spatio-temporal proteomics, metabonomics and metabolomics, clinical and agricultural proteomics, as well as advances in methodology including bioinformatics. The theme and emphasis is on a multidisciplinary approach to the life sciences through the synergy between the different types of "omics".
×
引用
GB/T 7714-2015
复制
MLA
复制
APA
复制
导出至
BibTeX EndNote RefMan NoteFirst NoteExpress
×
提示
您的信息不完整,为了账户安全,请先补充。
现在去补充
×
提示
您因"违规操作"
具体请查看互助需知
我知道了
×
提示
确定
请完成安全验证×
copy
已复制链接
快去分享给好友吧!
我知道了
右上角分享
点击右上角分享
0
联系我们:info@booksci.cn Book学术提供免费学术资源搜索服务,方便国内外学者检索中英文文献。致力于提供最便捷和优质的服务体验。 Copyright © 2023 布克学术 All rights reserved.
京ICP备2023020795号-1
ghs 京公网安备 11010802042870号
Book学术文献互助
Book学术文献互助群
群 号:604180095
Book学术官方微信