希望和关注的叙述?研究气候科学家的沟通对可信度和参与度的影响。

IF 3.3 2区 文学 Q1 COMMUNICATION
Public Understanding of Science Pub Date : 2025-08-01 Epub Date: 2025-02-03 DOI:10.1177/09636625251314159
Christel W van Eck, Toni G L A van der Meer
{"title":"希望和关注的叙述?研究气候科学家的沟通对可信度和参与度的影响。","authors":"Christel W van Eck, Toni G L A van der Meer","doi":"10.1177/09636625251314159","DOIUrl":null,"url":null,"abstract":"<p><p>Increasingly, more scientists sound the alarm about climate change, sparking debates over the effects of new science communication strategies on scientific credibility. We investigate what happens when climate scientists deviate from science communication that is principally factual and neutral. In an experiment (US sample, <i>N</i> <i>=</i> 882), we investigated if affective expressions and personal stories impact scientists' credibility and public climate engagement. The results suggest that when climate scientists incorporate affect or personal anecdotes into their messaging, it does not significantly diminish their credibility. Nevertheless, message consistency is essential; only by aligning the narrative with expressed affect can scientific credibility and climate engagement be increased.</p>","PeriodicalId":48094,"journal":{"name":"Public Understanding of Science","volume":" ","pages":"734-751"},"PeriodicalIF":3.3000,"publicationDate":"2025-08-01","publicationTypes":"Journal Article","fieldsOfStudy":null,"isOpenAccess":false,"openAccessPdf":"https://www.ncbi.nlm.nih.gov/pmc/articles/PMC12274565/pdf/","citationCount":"0","resultStr":"{\"title\":\"Narratives of hope and concern? Examining the impact of climate scientists' communication on credibility and engagement.\",\"authors\":\"Christel W van Eck, Toni G L A van der Meer\",\"doi\":\"10.1177/09636625251314159\",\"DOIUrl\":null,\"url\":null,\"abstract\":\"<p><p>Increasingly, more scientists sound the alarm about climate change, sparking debates over the effects of new science communication strategies on scientific credibility. We investigate what happens when climate scientists deviate from science communication that is principally factual and neutral. In an experiment (US sample, <i>N</i> <i>=</i> 882), we investigated if affective expressions and personal stories impact scientists' credibility and public climate engagement. The results suggest that when climate scientists incorporate affect or personal anecdotes into their messaging, it does not significantly diminish their credibility. Nevertheless, message consistency is essential; only by aligning the narrative with expressed affect can scientific credibility and climate engagement be increased.</p>\",\"PeriodicalId\":48094,\"journal\":{\"name\":\"Public Understanding of Science\",\"volume\":\" \",\"pages\":\"734-751\"},\"PeriodicalIF\":3.3000,\"publicationDate\":\"2025-08-01\",\"publicationTypes\":\"Journal Article\",\"fieldsOfStudy\":null,\"isOpenAccess\":false,\"openAccessPdf\":\"https://www.ncbi.nlm.nih.gov/pmc/articles/PMC12274565/pdf/\",\"citationCount\":\"0\",\"resultStr\":null,\"platform\":\"Semanticscholar\",\"paperid\":null,\"PeriodicalName\":\"Public Understanding of Science\",\"FirstCategoryId\":\"98\",\"ListUrlMain\":\"https://doi.org/10.1177/09636625251314159\",\"RegionNum\":2,\"RegionCategory\":\"文学\",\"ArticlePicture\":[],\"TitleCN\":null,\"AbstractTextCN\":null,\"PMCID\":null,\"EPubDate\":\"2025/2/3 0:00:00\",\"PubModel\":\"Epub\",\"JCR\":\"Q1\",\"JCRName\":\"COMMUNICATION\",\"Score\":null,\"Total\":0}","platform":"Semanticscholar","paperid":null,"PeriodicalName":"Public Understanding of Science","FirstCategoryId":"98","ListUrlMain":"https://doi.org/10.1177/09636625251314159","RegionNum":2,"RegionCategory":"文学","ArticlePicture":[],"TitleCN":null,"AbstractTextCN":null,"PMCID":null,"EPubDate":"2025/2/3 0:00:00","PubModel":"Epub","JCR":"Q1","JCRName":"COMMUNICATION","Score":null,"Total":0}
引用次数: 0

摘要

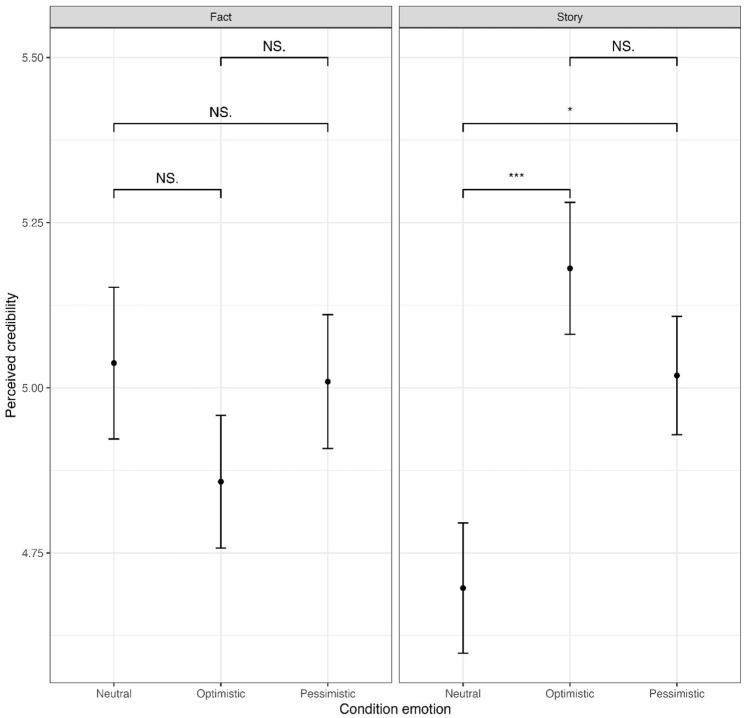
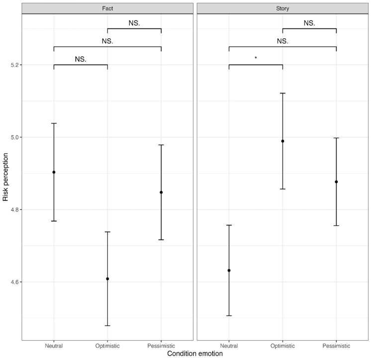
越来越多的科学家对气候变化发出警告,引发了关于新的科学传播策略对科学可信度影响的辩论。我们调查了当气候科学家偏离主要是事实和中立的科学传播时会发生什么。在一项实验中(美国样本,N = 882),我们调查了情感表达和个人故事是否会影响科学家的可信度和公众气候参与。结果表明,当气候科学家在他们的信息中加入影响或个人轶事时,并没有显著降低他们的可信度。然而,消息一致性是必不可少的;只有将叙述与表达的情感结合起来,才能提高科学可信度和气候参与。
本文章由计算机程序翻译,如有差异,请以英文原文为准。

Narratives of hope and concern? Examining the impact of climate scientists' communication on credibility and engagement.

Narratives of hope and concern? Examining the impact of climate scientists' communication on credibility and engagement.

Narratives of hope and concern? Examining the impact of climate scientists' communication on credibility and engagement.

Narratives of hope and concern? Examining the impact of climate scientists' communication on credibility and engagement.

Increasingly, more scientists sound the alarm about climate change, sparking debates over the effects of new science communication strategies on scientific credibility. We investigate what happens when climate scientists deviate from science communication that is principally factual and neutral. In an experiment (US sample, N = 882), we investigated if affective expressions and personal stories impact scientists' credibility and public climate engagement. The results suggest that when climate scientists incorporate affect or personal anecdotes into their messaging, it does not significantly diminish their credibility. Nevertheless, message consistency is essential; only by aligning the narrative with expressed affect can scientific credibility and climate engagement be increased.

求助全文
通过发布文献求助,成功后即可免费获取论文全文。 去求助
来源期刊
CiteScore
7.30
自引率
9.80%
发文量
80
期刊介绍: Public Understanding of Science is a fully peer reviewed international journal covering all aspects of the inter-relationships between science (including technology and medicine) and the public. Public Understanding of Science is the only journal to cover all aspects of the inter-relationships between science (including technology and medicine) and the public. Topics Covered Include... ·surveys of public understanding and attitudes towards science and technology ·perceptions of science ·popular representations of science ·scientific and para-scientific belief systems ·science in schools
×
引用
GB/T 7714-2015
复制
MLA
复制
APA
复制
导出至
BibTeX EndNote RefMan NoteFirst NoteExpress
×
提示
您的信息不完整,为了账户安全,请先补充。
现在去补充
×
提示
您因"违规操作"
具体请查看互助需知
我知道了
×
提示
确定
请完成安全验证×
copy
已复制链接
快去分享给好友吧!
我知道了
右上角分享
点击右上角分享
0
联系我们:info@booksci.cn Book学术提供免费学术资源搜索服务,方便国内外学者检索中英文文献。致力于提供最便捷和优质的服务体验。 Copyright © 2023 布克学术 All rights reserved.
京ICP备2023020795号-1
ghs 京公网安备 11010802042870号
Book学术文献互助
Book学术文献互助群
群 号:604180095
Book学术官方微信