SbP分子低洼电子态和避免交叉的性质:包括自旋-轨道耦合的理论研究

IF 2.8 2区 化学 Q3 CHEMISTRY, PHYSICAL
Xin Zhou, Huagang Xiao and Tao Gao*, 
{"title":"SbP分子低洼电子态和避免交叉的性质:包括自旋-轨道耦合的理论研究","authors":"Xin Zhou,&nbsp;Huagang Xiao and Tao Gao*,&nbsp;","doi":"10.1021/acs.jpca.4c0627210.1021/acs.jpca.4c06272","DOIUrl":null,"url":null,"abstract":"<p >High-level multireference configuration interaction plus Davidson correction (MRCI + Q) calculation method was employed to determine the potential energy curves (PECs) of 10 Λ-S states, which come from the first and second dissociation channels of the SbP molecule, as well as 34 Ω states considering the spin–orbit coupling (SOC) effect. By solving the Schrödinger equation for nuclear motion, spectroscopic constants for the ground state X<sup>1</sup>Σ<sup>+</sup> and low-lying excited states were obtained and compared with experimental data. The excellent agreement indicates the reliability of our calculations. Additionally, the calculated spin–orbit (SO) matrix elements of the 1<sup>3</sup>Π and 1<sup>5</sup>Π states with other Λ-S states were analyzed, and the majority of the values in the Franck–Condon region exceed 200 cm<sup>–1</sup>, indicating strong interactions between these states. What’s more, the joint effects of spin–orbit coupling and avoided crossing were discussed in detail, leading to the complex potential energy curves and double-well phenomena observed in the Ω states. Taking forbidden transitions into account, transition dipole moments with the SOC effect are considered. The Franck–Condon factors, Einstein coefficients, and radiative lifetimes for the 1<sup>3</sup>Σ<sup>+</sup><sub>1</sub> ↔ X<sup>1</sup>Σ<sup>+</sup><sub>0+</sub> transition were obtained. Analysis indicates that direct laser cooling of SbP is inappropriate.</p>","PeriodicalId":59,"journal":{"name":"The Journal of Physical Chemistry A","volume":"129 4","pages":"946–954 946–954"},"PeriodicalIF":2.8000,"publicationDate":"2025-01-14","publicationTypes":"Journal Article","fieldsOfStudy":null,"isOpenAccess":false,"openAccessPdf":"","citationCount":"0","resultStr":"{\"title\":\"The Properties of the Low-Lying Electronic States and Avoided Crossings of the SbP Molecule: A Theoretical Investigation Includes Spin–Orbit Coupling\",\"authors\":\"Xin Zhou,&nbsp;Huagang Xiao and Tao Gao*,&nbsp;\",\"doi\":\"10.1021/acs.jpca.4c0627210.1021/acs.jpca.4c06272\",\"DOIUrl\":null,\"url\":null,\"abstract\":\"<p >High-level multireference configuration interaction plus Davidson correction (MRCI + Q) calculation method was employed to determine the potential energy curves (PECs) of 10 Λ-S states, which come from the first and second dissociation channels of the SbP molecule, as well as 34 Ω states considering the spin–orbit coupling (SOC) effect. By solving the Schrödinger equation for nuclear motion, spectroscopic constants for the ground state X<sup>1</sup>Σ<sup>+</sup> and low-lying excited states were obtained and compared with experimental data. The excellent agreement indicates the reliability of our calculations. Additionally, the calculated spin–orbit (SO) matrix elements of the 1<sup>3</sup>Π and 1<sup>5</sup>Π states with other Λ-S states were analyzed, and the majority of the values in the Franck–Condon region exceed 200 cm<sup>–1</sup>, indicating strong interactions between these states. What’s more, the joint effects of spin–orbit coupling and avoided crossing were discussed in detail, leading to the complex potential energy curves and double-well phenomena observed in the Ω states. Taking forbidden transitions into account, transition dipole moments with the SOC effect are considered. The Franck–Condon factors, Einstein coefficients, and radiative lifetimes for the 1<sup>3</sup>Σ<sup>+</sup><sub>1</sub> ↔ X<sup>1</sup>Σ<sup>+</sup><sub>0+</sub> transition were obtained. Analysis indicates that direct laser cooling of SbP is inappropriate.</p>\",\"PeriodicalId\":59,\"journal\":{\"name\":\"The Journal of Physical Chemistry A\",\"volume\":\"129 4\",\"pages\":\"946–954 946–954\"},\"PeriodicalIF\":2.8000,\"publicationDate\":\"2025-01-14\",\"publicationTypes\":\"Journal Article\",\"fieldsOfStudy\":null,\"isOpenAccess\":false,\"openAccessPdf\":\"\",\"citationCount\":\"0\",\"resultStr\":null,\"platform\":\"Semanticscholar\",\"paperid\":null,\"PeriodicalName\":\"The Journal of Physical Chemistry A\",\"FirstCategoryId\":\"1\",\"ListUrlMain\":\"https://pubs.acs.org/doi/10.1021/acs.jpca.4c06272\",\"RegionNum\":2,\"RegionCategory\":\"化学\",\"ArticlePicture\":[],\"TitleCN\":null,\"AbstractTextCN\":null,\"PMCID\":null,\"EPubDate\":\"\",\"PubModel\":\"\",\"JCR\":\"Q3\",\"JCRName\":\"CHEMISTRY, PHYSICAL\",\"Score\":null,\"Total\":0}","platform":"Semanticscholar","paperid":null,"PeriodicalName":"The Journal of Physical Chemistry A","FirstCategoryId":"1","ListUrlMain":"https://pubs.acs.org/doi/10.1021/acs.jpca.4c06272","RegionNum":2,"RegionCategory":"化学","ArticlePicture":[],"TitleCN":null,"AbstractTextCN":null,"PMCID":null,"EPubDate":"","PubModel":"","JCR":"Q3","JCRName":"CHEMISTRY, PHYSICAL","Score":null,"Total":0}
引用次数: 0

摘要

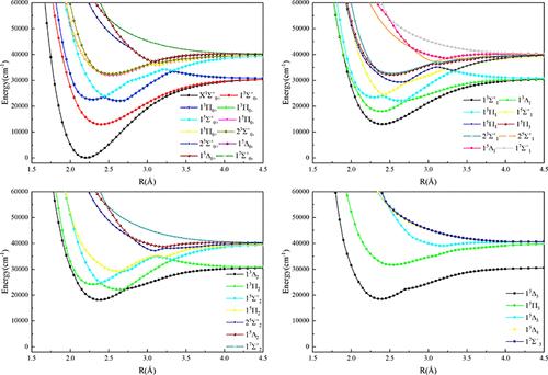
采用高水平多参考构型相互作用加Davidson校正(MRCI + Q)计算方法,确定了SbP分子第一和第二解离通道的10个Λ-S态和考虑自旋轨道耦合(SOC)效应的34个Ω态的势能曲线(PECs)。通过求解核运动的Schrödinger方程,得到了基态X1Σ+和低洼激发态的光谱常数,并与实验数据进行了比较。这种极好的一致性表明我们的计算是可靠的。此外,对13Π和15Π态与其他Λ-S态的计算自旋轨道(SO)矩阵元进行了分析,frank - condon区域的大部分值超过200 cm-1,表明这些态之间存在很强的相互作用。详细讨论了自旋轨道耦合和避免交叉的联合效应,导致在Ω状态下观察到复杂的势能曲线和双阱现象。考虑了禁跃迁的影响,考虑了具有SOC效应的跃迁偶极矩。得到了13Σ+1↔X1Σ+0+跃迁的frank - condon因子、爱因斯坦系数和辐射寿命。分析表明,激光直接冷却SbP是不合适的。
本文章由计算机程序翻译,如有差异,请以英文原文为准。

The Properties of the Low-Lying Electronic States and Avoided Crossings of the SbP Molecule: A Theoretical Investigation Includes Spin–Orbit Coupling

The Properties of the Low-Lying Electronic States and Avoided Crossings of the SbP Molecule: A Theoretical Investigation Includes Spin–Orbit Coupling

High-level multireference configuration interaction plus Davidson correction (MRCI + Q) calculation method was employed to determine the potential energy curves (PECs) of 10 Λ-S states, which come from the first and second dissociation channels of the SbP molecule, as well as 34 Ω states considering the spin–orbit coupling (SOC) effect. By solving the Schrödinger equation for nuclear motion, spectroscopic constants for the ground state X1Σ+ and low-lying excited states were obtained and compared with experimental data. The excellent agreement indicates the reliability of our calculations. Additionally, the calculated spin–orbit (SO) matrix elements of the 13Π and 15Π states with other Λ-S states were analyzed, and the majority of the values in the Franck–Condon region exceed 200 cm–1, indicating strong interactions between these states. What’s more, the joint effects of spin–orbit coupling and avoided crossing were discussed in detail, leading to the complex potential energy curves and double-well phenomena observed in the Ω states. Taking forbidden transitions into account, transition dipole moments with the SOC effect are considered. The Franck–Condon factors, Einstein coefficients, and radiative lifetimes for the 13Σ+1 ↔ X1Σ+0+ transition were obtained. Analysis indicates that direct laser cooling of SbP is inappropriate.

求助全文
通过发布文献求助,成功后即可免费获取论文全文。 去求助
来源期刊
The Journal of Physical Chemistry A
The Journal of Physical Chemistry A 化学-物理:原子、分子和化学物理
CiteScore
5.20
自引率
10.30%
发文量
922
审稿时长
1.3 months
期刊介绍: The Journal of Physical Chemistry A is devoted to reporting new and original experimental and theoretical basic research of interest to physical chemists, biophysical chemists, and chemical physicists.
×
引用
GB/T 7714-2015
复制
MLA
复制
APA
复制
导出至
BibTeX EndNote RefMan NoteFirst NoteExpress
×
提示
您的信息不完整,为了账户安全,请先补充。
现在去补充
×
提示
您因"违规操作"
具体请查看互助需知
我知道了
×
提示
确定
请完成安全验证×
copy
已复制链接
快去分享给好友吧!
我知道了
右上角分享
点击右上角分享
0
联系我们:info@booksci.cn Book学术提供免费学术资源搜索服务,方便国内外学者检索中英文文献。致力于提供最便捷和优质的服务体验。 Copyright © 2023 布克学术 All rights reserved.
京ICP备2023020795号-1
ghs 京公网安备 11010802042870号
Book学术文献互助
Book学术文献互助群
群 号:604180095
Book学术官方微信