“通过Emma和Alice个体化治疗微生物失衡缩短不孕妇女怀孕时间:一项多中心前瞻性研究”。

IF 3.3 3区 医学 Q2 OBSTETRICS & GYNECOLOGY
Reproductive Medicine and Biology Pub Date : 2025-02-01 eCollection Date: 2025-01-01 DOI:10.1002/rmb2.12634
Nanako Iwami, Shinnosuke Komiya, Yoshimasa Asada, Kenichi Tatsumi, Toshihiro Habara, Takeshi Kuramoto, Moritoshi Seki, Hiroaki Yoshida, Kazuhiro Takeuchi, Masahide Shiotani, Tetsunori Mukaida, Yasushi Odawara, Yasuyuki Mio, Hirobumi Kamiya
{"title":"“通过Emma和Alice个体化治疗微生物失衡缩短不孕妇女怀孕时间:一项多中心前瞻性研究”。","authors":"Nanako Iwami, Shinnosuke Komiya, Yoshimasa Asada, Kenichi Tatsumi, Toshihiro Habara, Takeshi Kuramoto, Moritoshi Seki, Hiroaki Yoshida, Kazuhiro Takeuchi, Masahide Shiotani, Tetsunori Mukaida, Yasushi Odawara, Yasuyuki Mio, Hirobumi Kamiya","doi":"10.1002/rmb2.12634","DOIUrl":null,"url":null,"abstract":"<p><strong>Purpose: </strong>To evaluate the impact of Endometrial Microbiome Metagenomic Analysis and Analysis of Infectious Chronic Endometritis (EMMA & ALICE) on pregnancy outcomes following recommended treatments in women with recurrent implantation failure (RIF) or recurrent pregnancy loss (RPL).</p><p><strong>Methods: </strong>This prospective, multicenter cohort study included 527 women under 42 years old with RIF or RPL across 14 IVF centers in Japan. Endometrial samples were analyzed using EMMA & ALICE, and patients received antibiotics, probiotics, or no treatment based on test results. Pregnancy outcomes were assessed using Kaplan-Meier survival analysis and multivariate generalized linear models.</p><p><strong>Results: </strong>Amongst participants, 43.4% had a normal Lactobacillus-dominated microbiota, 20.9% had dysbiosis, and 35.7% had mild dysbiosis or ultralow biomass. Kaplan-Meier analysis revealed significantly higher ongoing pregnancy rates in the dysbiosis group treated with antibiotics and probiotics compared to other groups (<i>p</i> = 0.031). Post-treatment, ongoing pregnancy rates in the dysbiosis and mild dysbiosis groups were comparable to the normal group.</p><p><strong>Conclusions: </strong>EMMA & ALICE-guided antimicrobial and probiotic treatments improved pregnancy outcomes, enabling the dysbiosis group to achieve pregnancy earlier than the normal group. Addressing uterine dysbiosis may reduce the time to pregnancy in patients with RIF and RPL.</p><p><strong>Trial registration: </strong>University Hospital Medical Information Network (UMIN), UMIN000036917.</p>","PeriodicalId":21116,"journal":{"name":"Reproductive Medicine and Biology","volume":"24 1","pages":"e12634"},"PeriodicalIF":3.3000,"publicationDate":"2025-02-01","publicationTypes":"Journal Article","fieldsOfStudy":null,"isOpenAccess":false,"openAccessPdf":"https://www.ncbi.nlm.nih.gov/pmc/articles/PMC11786016/pdf/","citationCount":"0","resultStr":"{\"title\":\"\\\"Shortening time to pregnancy in infertile women by personalizing treatment of microbial imbalance through Emma & Alice: A multicenter prospective study\\\".\",\"authors\":\"Nanako Iwami, Shinnosuke Komiya, Yoshimasa Asada, Kenichi Tatsumi, Toshihiro Habara, Takeshi Kuramoto, Moritoshi Seki, Hiroaki Yoshida, Kazuhiro Takeuchi, Masahide Shiotani, Tetsunori Mukaida, Yasushi Odawara, Yasuyuki Mio, Hirobumi Kamiya\",\"doi\":\"10.1002/rmb2.12634\",\"DOIUrl\":null,\"url\":null,\"abstract\":\"<p><strong>Purpose: </strong>To evaluate the impact of Endometrial Microbiome Metagenomic Analysis and Analysis of Infectious Chronic Endometritis (EMMA & ALICE) on pregnancy outcomes following recommended treatments in women with recurrent implantation failure (RIF) or recurrent pregnancy loss (RPL).</p><p><strong>Methods: </strong>This prospective, multicenter cohort study included 527 women under 42 years old with RIF or RPL across 14 IVF centers in Japan. Endometrial samples were analyzed using EMMA & ALICE, and patients received antibiotics, probiotics, or no treatment based on test results. Pregnancy outcomes were assessed using Kaplan-Meier survival analysis and multivariate generalized linear models.</p><p><strong>Results: </strong>Amongst participants, 43.4% had a normal Lactobacillus-dominated microbiota, 20.9% had dysbiosis, and 35.7% had mild dysbiosis or ultralow biomass. Kaplan-Meier analysis revealed significantly higher ongoing pregnancy rates in the dysbiosis group treated with antibiotics and probiotics compared to other groups (<i>p</i> = 0.031). Post-treatment, ongoing pregnancy rates in the dysbiosis and mild dysbiosis groups were comparable to the normal group.</p><p><strong>Conclusions: </strong>EMMA & ALICE-guided antimicrobial and probiotic treatments improved pregnancy outcomes, enabling the dysbiosis group to achieve pregnancy earlier than the normal group. Addressing uterine dysbiosis may reduce the time to pregnancy in patients with RIF and RPL.</p><p><strong>Trial registration: </strong>University Hospital Medical Information Network (UMIN), UMIN000036917.</p>\",\"PeriodicalId\":21116,\"journal\":{\"name\":\"Reproductive Medicine and Biology\",\"volume\":\"24 1\",\"pages\":\"e12634\"},\"PeriodicalIF\":3.3000,\"publicationDate\":\"2025-02-01\",\"publicationTypes\":\"Journal Article\",\"fieldsOfStudy\":null,\"isOpenAccess\":false,\"openAccessPdf\":\"https://www.ncbi.nlm.nih.gov/pmc/articles/PMC11786016/pdf/\",\"citationCount\":\"0\",\"resultStr\":null,\"platform\":\"Semanticscholar\",\"paperid\":null,\"PeriodicalName\":\"Reproductive Medicine and Biology\",\"FirstCategoryId\":\"3\",\"ListUrlMain\":\"https://doi.org/10.1002/rmb2.12634\",\"RegionNum\":3,\"RegionCategory\":\"医学\",\"ArticlePicture\":[],\"TitleCN\":null,\"AbstractTextCN\":null,\"PMCID\":null,\"EPubDate\":\"2025/1/1 0:00:00\",\"PubModel\":\"eCollection\",\"JCR\":\"Q2\",\"JCRName\":\"OBSTETRICS & GYNECOLOGY\",\"Score\":null,\"Total\":0}","platform":"Semanticscholar","paperid":null,"PeriodicalName":"Reproductive Medicine and Biology","FirstCategoryId":"3","ListUrlMain":"https://doi.org/10.1002/rmb2.12634","RegionNum":3,"RegionCategory":"医学","ArticlePicture":[],"TitleCN":null,"AbstractTextCN":null,"PMCID":null,"EPubDate":"2025/1/1 0:00:00","PubModel":"eCollection","JCR":"Q2","JCRName":"OBSTETRICS & GYNECOLOGY","Score":null,"Total":0}
引用次数: 0

摘要

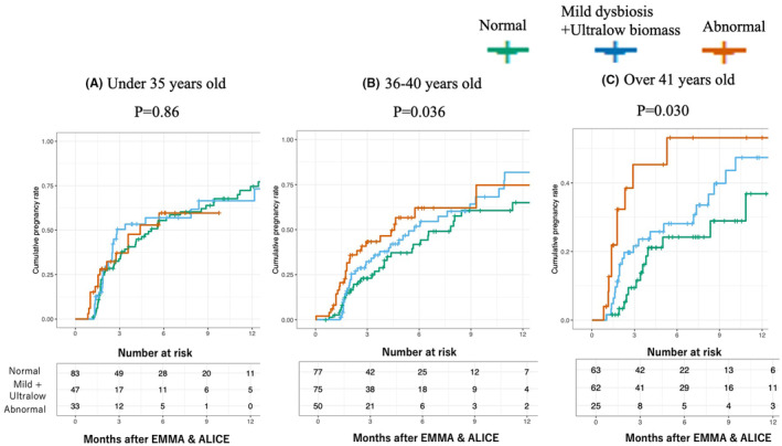
目的:评价子宫内膜微生物组宏基因组分析和感染性慢性子宫内膜炎分析(EMMA & ALICE)对复发性着床失败(RIF)或复发性妊娠丢失(RPL)妇女推荐治疗后妊娠结局的影响。方法:这项前瞻性、多中心队列研究包括日本14个IVF中心的527名42岁以下的RIF或RPL女性。使用EMMA和ALICE对子宫内膜样本进行分析,根据测试结果,患者接受抗生素、益生菌或不接受治疗。妊娠结局采用Kaplan-Meier生存分析和多元广义线性模型进行评估。结果:在参与者中,43.4%的人有正常的乳酸杆菌主导的微生物群,20.9%的人有生态失调,35.7%的人有轻度生态失调或超低生物量。Kaplan-Meier分析显示,与其他组相比,使用抗生素和益生菌治疗的生态失调组的持续妊娠率明显更高(p = 0.031)。治疗后,生态失调组和轻度生态失调组的持续妊娠率与正常组相当。结论:EMMA和alice指导下的抗菌和益生菌治疗改善了妊娠结局,使生态失调组比正常组更早实现妊娠。解决子宫失调可能减少RIF和RPL患者的怀孕时间。试验注册:大学医院医疗信息网(UMIN),编号:UMIN000036917。
本文章由计算机程序翻译,如有差异,请以英文原文为准。

"Shortening time to pregnancy in infertile women by personalizing treatment of microbial imbalance through Emma & Alice: A multicenter prospective study".

"Shortening time to pregnancy in infertile women by personalizing treatment of microbial imbalance through Emma & Alice: A multicenter prospective study".

"Shortening time to pregnancy in infertile women by personalizing treatment of microbial imbalance through Emma & Alice: A multicenter prospective study".

"Shortening time to pregnancy in infertile women by personalizing treatment of microbial imbalance through Emma & Alice: A multicenter prospective study".

Purpose: To evaluate the impact of Endometrial Microbiome Metagenomic Analysis and Analysis of Infectious Chronic Endometritis (EMMA & ALICE) on pregnancy outcomes following recommended treatments in women with recurrent implantation failure (RIF) or recurrent pregnancy loss (RPL).

Methods: This prospective, multicenter cohort study included 527 women under 42 years old with RIF or RPL across 14 IVF centers in Japan. Endometrial samples were analyzed using EMMA & ALICE, and patients received antibiotics, probiotics, or no treatment based on test results. Pregnancy outcomes were assessed using Kaplan-Meier survival analysis and multivariate generalized linear models.

Results: Amongst participants, 43.4% had a normal Lactobacillus-dominated microbiota, 20.9% had dysbiosis, and 35.7% had mild dysbiosis or ultralow biomass. Kaplan-Meier analysis revealed significantly higher ongoing pregnancy rates in the dysbiosis group treated with antibiotics and probiotics compared to other groups (p = 0.031). Post-treatment, ongoing pregnancy rates in the dysbiosis and mild dysbiosis groups were comparable to the normal group.

Conclusions: EMMA & ALICE-guided antimicrobial and probiotic treatments improved pregnancy outcomes, enabling the dysbiosis group to achieve pregnancy earlier than the normal group. Addressing uterine dysbiosis may reduce the time to pregnancy in patients with RIF and RPL.

Trial registration: University Hospital Medical Information Network (UMIN), UMIN000036917.

求助全文
通过发布文献求助,成功后即可免费获取论文全文。 去求助
来源期刊
CiteScore
5.70
自引率
5.90%
发文量
53
审稿时长
20 weeks
期刊介绍: Reproductive Medicine and Biology (RMB) is the official English journal of the Japan Society for Reproductive Medicine, the Japan Society of Fertilization and Implantation, the Japan Society of Andrology, and publishes original research articles that report new findings or concepts in all aspects of reproductive phenomena in all kinds of mammals. Papers in any of the following fields will be considered: andrology, endocrinology, oncology, immunology, genetics, function of gonads and genital tracts, erectile dysfunction, gametogenesis, function of accessory sex organs, fertilization, embryogenesis, embryo manipulation, pregnancy, implantation, ontogenesis, infectious disease, contraception, etc.
×
引用
GB/T 7714-2015
复制
MLA
复制
APA
复制
导出至
BibTeX EndNote RefMan NoteFirst NoteExpress
×
提示
您的信息不完整,为了账户安全,请先补充。
现在去补充
×
提示
您因"违规操作"
具体请查看互助需知
我知道了
×
提示
确定
请完成安全验证×
copy
已复制链接
快去分享给好友吧!
我知道了
右上角分享
点击右上角分享
0
联系我们:info@booksci.cn Book学术提供免费学术资源搜索服务,方便国内外学者检索中英文文献。致力于提供最便捷和优质的服务体验。 Copyright © 2023 布克学术 All rights reserved.
京ICP备2023020795号-1
ghs 京公网安备 11010802042870号
Book学术文献互助
Book学术文献互助群
群 号:604180095
Book学术官方微信