危重患者初始活动期间的区域脑氧饱和度与临床结果相关:一项前瞻性观察研究

IF 2.8 Q2 CRITICAL CARE MEDICINE
Ryota Imai, Takafumi Abe, Kentaro Iwata, Seigo Yamaguchi, Takeshi Kitai, Atsuhiro Tsubaki
{"title":"危重患者初始活动期间的区域脑氧饱和度与临床结果相关:一项前瞻性观察研究","authors":"Ryota Imai, Takafumi Abe, Kentaro Iwata, Seigo Yamaguchi, Takeshi Kitai, Atsuhiro Tsubaki","doi":"10.1186/s40635-025-00722-2","DOIUrl":null,"url":null,"abstract":"<p><strong>Background: </strong>Vital signs help determine the safety of early mobilization in critically ill patients in intensive care units. However, none of these variables directly assess cerebral circulation. Therefore, we aimed to investigate the relationship of regional cerebral oxygen saturation (rSO<sub>2</sub>) and vital signs with in-hospital death in critically ill patients.</p><p><strong>Methods: </strong>This prospective study included critically ill patients admitted to the Uonuma Kikan Hospital Emergency Center who received physical therapy between June 2020 and December 2022. We continuously measured rSO<sub>2</sub> during the initial mobilization using a wearable brain near-infrared spectroscopy device. With in-hospital death as the primary endpoint, the association between rSO<sub>2</sub> and in-hospital death was assessed in Analysis 1 to determine the rSO<sub>2</sub> cut-off value that predicts in-hospital death. In Analysis 2, patients were categorised into survival and non-survival groups to examine the temporal changes in vital signs and rSO<sub>2</sub> associated with postural changes during mobilization.</p><p><strong>Results: </strong>Of the 132 eligible patients, 98 were included in Analysis 1, and 70 were included in Analysis 2. Analysis 1 demonstrated that lower premobilization rSO<sub>2</sub> was independently associated with in-hospital death (odds ratio 0.835, 95% confidence interval 0.724-0.961, p = 0.012). Receiver operating characteristic curve analysis identified an optimal rSO<sub>2</sub> cut-off value of 57% for predicting in-hospital death (area under the curve 0.818, sensitivity 73%, specificity 83%). Analysis 2 showed that rSO<sub>2</sub> changes during mobilization were unrelated to changes in vital signs, suggesting rSO<sub>2</sub> as an independent prognostic marker.</p><p><strong>Conclusions: </strong>The results suggest that rSO<sub>2</sub> measured during initial mobilization is associated with in-hospital death in critically ill patients.</p>","PeriodicalId":13750,"journal":{"name":"Intensive Care Medicine Experimental","volume":"13 1","pages":"13"},"PeriodicalIF":2.8000,"publicationDate":"2025-02-03","publicationTypes":"Journal Article","fieldsOfStudy":null,"isOpenAccess":false,"openAccessPdf":"https://www.ncbi.nlm.nih.gov/pmc/articles/PMC11790542/pdf/","citationCount":"0","resultStr":"{\"title\":\"Regional cerebral oxygen saturation during initial mobilization of critically ill patients is associated with clinical outcomes: a prospective observational study.\",\"authors\":\"Ryota Imai, Takafumi Abe, Kentaro Iwata, Seigo Yamaguchi, Takeshi Kitai, Atsuhiro Tsubaki\",\"doi\":\"10.1186/s40635-025-00722-2\",\"DOIUrl\":null,\"url\":null,\"abstract\":\"<p><strong>Background: </strong>Vital signs help determine the safety of early mobilization in critically ill patients in intensive care units. However, none of these variables directly assess cerebral circulation. Therefore, we aimed to investigate the relationship of regional cerebral oxygen saturation (rSO<sub>2</sub>) and vital signs with in-hospital death in critically ill patients.</p><p><strong>Methods: </strong>This prospective study included critically ill patients admitted to the Uonuma Kikan Hospital Emergency Center who received physical therapy between June 2020 and December 2022. We continuously measured rSO<sub>2</sub> during the initial mobilization using a wearable brain near-infrared spectroscopy device. With in-hospital death as the primary endpoint, the association between rSO<sub>2</sub> and in-hospital death was assessed in Analysis 1 to determine the rSO<sub>2</sub> cut-off value that predicts in-hospital death. In Analysis 2, patients were categorised into survival and non-survival groups to examine the temporal changes in vital signs and rSO<sub>2</sub> associated with postural changes during mobilization.</p><p><strong>Results: </strong>Of the 132 eligible patients, 98 were included in Analysis 1, and 70 were included in Analysis 2. Analysis 1 demonstrated that lower premobilization rSO<sub>2</sub> was independently associated with in-hospital death (odds ratio 0.835, 95% confidence interval 0.724-0.961, p = 0.012). Receiver operating characteristic curve analysis identified an optimal rSO<sub>2</sub> cut-off value of 57% for predicting in-hospital death (area under the curve 0.818, sensitivity 73%, specificity 83%). Analysis 2 showed that rSO<sub>2</sub> changes during mobilization were unrelated to changes in vital signs, suggesting rSO<sub>2</sub> as an independent prognostic marker.</p><p><strong>Conclusions: </strong>The results suggest that rSO<sub>2</sub> measured during initial mobilization is associated with in-hospital death in critically ill patients.</p>\",\"PeriodicalId\":13750,\"journal\":{\"name\":\"Intensive Care Medicine Experimental\",\"volume\":\"13 1\",\"pages\":\"13\"},\"PeriodicalIF\":2.8000,\"publicationDate\":\"2025-02-03\",\"publicationTypes\":\"Journal Article\",\"fieldsOfStudy\":null,\"isOpenAccess\":false,\"openAccessPdf\":\"https://www.ncbi.nlm.nih.gov/pmc/articles/PMC11790542/pdf/\",\"citationCount\":\"0\",\"resultStr\":null,\"platform\":\"Semanticscholar\",\"paperid\":null,\"PeriodicalName\":\"Intensive Care Medicine Experimental\",\"FirstCategoryId\":\"1085\",\"ListUrlMain\":\"https://doi.org/10.1186/s40635-025-00722-2\",\"RegionNum\":0,\"RegionCategory\":null,\"ArticlePicture\":[],\"TitleCN\":null,\"AbstractTextCN\":null,\"PMCID\":null,\"EPubDate\":\"\",\"PubModel\":\"\",\"JCR\":\"Q2\",\"JCRName\":\"CRITICAL CARE MEDICINE\",\"Score\":null,\"Total\":0}","platform":"Semanticscholar","paperid":null,"PeriodicalName":"Intensive Care Medicine Experimental","FirstCategoryId":"1085","ListUrlMain":"https://doi.org/10.1186/s40635-025-00722-2","RegionNum":0,"RegionCategory":null,"ArticlePicture":[],"TitleCN":null,"AbstractTextCN":null,"PMCID":null,"EPubDate":"","PubModel":"","JCR":"Q2","JCRName":"CRITICAL CARE MEDICINE","Score":null,"Total":0}
引用次数: 0

摘要

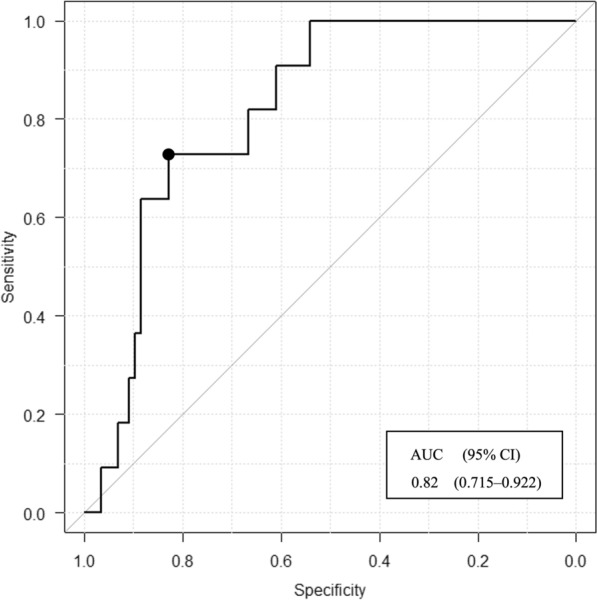
背景:生命体征有助于确定重症监护病房危重患者早期动员的安全性。然而,这些变量都不能直接评估脑循环。因此,我们旨在探讨区域脑氧饱和度(rSO2)和生命体征与危重患者院内死亡的关系。方法:这项前瞻性研究纳入了2020年6月至2022年12月期间在Uonuma Kikan医院急救中心接受物理治疗的危重患者。我们使用可穿戴的大脑近红外光谱设备在初始运动期间连续测量rSO2。以院内死亡为主要终点,在分析1中评估了rSO2与院内死亡之间的关系,以确定预测院内死亡的rSO2临界值。在分析2中,将患者分为生存组和非生存组,以检查活动期间与姿势变化相关的生命体征和rSO2的时间变化。结果:132例符合条件的患者中,分析1纳入98例,分析2纳入70例。分析1显示,低动员前rSO2与院内死亡独立相关(优势比0.835,95%可信区间0.724-0.961,p = 0.012)。受试者工作特征曲线分析发现,预测院内死亡的最佳rSO2临界值为57%(曲线下面积0.818,敏感性73%,特异性83%)。分析2显示,运动过程中rSO2的变化与生命体征的变化无关,提示rSO2是一个独立的预后指标。结论:结果表明,初始动员时测量的rSO2与危重患者院内死亡有关。
本文章由计算机程序翻译,如有差异,请以英文原文为准。

Regional cerebral oxygen saturation during initial mobilization of critically ill patients is associated with clinical outcomes: a prospective observational study.

Regional cerebral oxygen saturation during initial mobilization of critically ill patients is associated with clinical outcomes: a prospective observational study.

Regional cerebral oxygen saturation during initial mobilization of critically ill patients is associated with clinical outcomes: a prospective observational study.

Regional cerebral oxygen saturation during initial mobilization of critically ill patients is associated with clinical outcomes: a prospective observational study.

Background: Vital signs help determine the safety of early mobilization in critically ill patients in intensive care units. However, none of these variables directly assess cerebral circulation. Therefore, we aimed to investigate the relationship of regional cerebral oxygen saturation (rSO2) and vital signs with in-hospital death in critically ill patients.

Methods: This prospective study included critically ill patients admitted to the Uonuma Kikan Hospital Emergency Center who received physical therapy between June 2020 and December 2022. We continuously measured rSO2 during the initial mobilization using a wearable brain near-infrared spectroscopy device. With in-hospital death as the primary endpoint, the association between rSO2 and in-hospital death was assessed in Analysis 1 to determine the rSO2 cut-off value that predicts in-hospital death. In Analysis 2, patients were categorised into survival and non-survival groups to examine the temporal changes in vital signs and rSO2 associated with postural changes during mobilization.

Results: Of the 132 eligible patients, 98 were included in Analysis 1, and 70 were included in Analysis 2. Analysis 1 demonstrated that lower premobilization rSO2 was independently associated with in-hospital death (odds ratio 0.835, 95% confidence interval 0.724-0.961, p = 0.012). Receiver operating characteristic curve analysis identified an optimal rSO2 cut-off value of 57% for predicting in-hospital death (area under the curve 0.818, sensitivity 73%, specificity 83%). Analysis 2 showed that rSO2 changes during mobilization were unrelated to changes in vital signs, suggesting rSO2 as an independent prognostic marker.

Conclusions: The results suggest that rSO2 measured during initial mobilization is associated with in-hospital death in critically ill patients.

求助全文
通过发布文献求助,成功后即可免费获取论文全文。 去求助
来源期刊
Intensive Care Medicine Experimental
Intensive Care Medicine Experimental CRITICAL CARE MEDICINE-
CiteScore
5.10
自引率
2.90%
发文量
48
审稿时长
13 weeks
×
引用
GB/T 7714-2015
复制
MLA
复制
APA
复制
导出至
BibTeX EndNote RefMan NoteFirst NoteExpress
×
提示
您的信息不完整,为了账户安全,请先补充。
现在去补充
×
提示
您因"违规操作"
具体请查看互助需知
我知道了
×
提示
确定
请完成安全验证×
copy
已复制链接
快去分享给好友吧!
我知道了
右上角分享
点击右上角分享
0
联系我们:info@booksci.cn Book学术提供免费学术资源搜索服务,方便国内外学者检索中英文文献。致力于提供最便捷和优质的服务体验。 Copyright © 2023 布克学术 All rights reserved.
京ICP备2023020795号-1
ghs 京公网安备 11010802042870号
Book学术文献互助
Book学术文献互助群
群 号:604180095
Book学术官方微信