入院血糖临界值为15mmol /L是多重创伤患者死亡率的可靠预测指标——来自北非一级创伤中心的一项前瞻性、观察性、纵向研究

IF 2.3 Q2 ORTHOPEDICS
Orthopedic Research and Reviews Pub Date : 2025-01-29 eCollection Date: 2025-01-01 DOI:10.2147/ORR.S503377
Tamer R Armanious, Ahmed A Khalifa, Hossam Abubeih, Mahmoud Badran, Faisal Fahmy Adam, Osama Farouk
{"title":"入院血糖临界值为15mmol /L是多重创伤患者死亡率的可靠预测指标——来自北非一级创伤中心的一项前瞻性、观察性、纵向研究","authors":"Tamer R Armanious, Ahmed A Khalifa, Hossam Abubeih, Mahmoud Badran, Faisal Fahmy Adam, Osama Farouk","doi":"10.2147/ORR.S503377","DOIUrl":null,"url":null,"abstract":"<p><strong>Background: </strong>Abnormal admission blood glucose levels were proved to have a mortality predictive value in polytraumatized patients, as reported by studies in developed countries. Reports from developing countries are scarce.</p><p><strong>Objective: </strong>To evaluate the reliability of on-admission blood glucose levels in predicting mortality in polytraumatized patients presented to a North African (developing country) trauma center. The secondary objectives were to investigate other possible mortality predictors and if a cutoff value for each could be obtained.</p><p><strong>Methods: </strong>In this prospective longitudinal study, over one year, we included adult (≥18 years) patients who were polytraumatized (ISS ≥17) and presented to our trauma center within six hours of the trauma incident. Various clinical, laboratory, and trauma scores were collected. Blood glucose levels were assessed from blood samples obtained directly after admission. Patients were divided into five groups based on the admission blood glucose levels.</p><p><strong>Results: </strong>We included 202 patients, having a mean age of 44±13.9 (20 to 70) years, and 52% were females. The mortality rate was 10.9% (including all patients presented with blood glucose levels≥15 mmol/L). The following were significant mortality predictors, admission blood glucose (OR=3.31, 95% CI=1.902-5.763, p<0.001), serum lactate levels (OR=4.017, 95% CI=1.627-9.917, p=0.003), length of hospital stay (OR=1.18, 95% CI= 1.058-1.305, p=0.003), RTS score (OR=1.43, 95% CI=1.023-2.005, p=0.037), and TRISS score (OR=1.099, 95% CI=1.052-1.148, p<0.001). Admission blood glucose levels cutoff value of 15 mmol/L can significantly differentiate between survivors and non-survivors with sensitivity, specificity, PPV, and NPV of 86.4%, 100%, 100%, and 88%, respectively.</p><p><strong>Conclusion: </strong>Abnormal admission blood glucose with a cutoff value of 15mmol/L is a significant mortality predictor in polytraumatized patients from developing country trauma center, among other clinical, laboratory, and trauma scores parameters.</p>","PeriodicalId":19608,"journal":{"name":"Orthopedic Research and Reviews","volume":"17 ","pages":"43-54"},"PeriodicalIF":2.3000,"publicationDate":"2025-01-29","publicationTypes":"Journal Article","fieldsOfStudy":null,"isOpenAccess":false,"openAccessPdf":"https://www.ncbi.nlm.nih.gov/pmc/articles/PMC11787776/pdf/","citationCount":"0","resultStr":"{\"title\":\"Admission Blood Glucose Level with a Cutoff Value of 15 mmol/L Is a Reliable Predictor of Mortality in Polytraumatized Patients-a Prospective, Observational, Longitudinal Study From a North African Level One Trauma Center.\",\"authors\":\"Tamer R Armanious, Ahmed A Khalifa, Hossam Abubeih, Mahmoud Badran, Faisal Fahmy Adam, Osama Farouk\",\"doi\":\"10.2147/ORR.S503377\",\"DOIUrl\":null,\"url\":null,\"abstract\":\"<p><strong>Background: </strong>Abnormal admission blood glucose levels were proved to have a mortality predictive value in polytraumatized patients, as reported by studies in developed countries. Reports from developing countries are scarce.</p><p><strong>Objective: </strong>To evaluate the reliability of on-admission blood glucose levels in predicting mortality in polytraumatized patients presented to a North African (developing country) trauma center. The secondary objectives were to investigate other possible mortality predictors and if a cutoff value for each could be obtained.</p><p><strong>Methods: </strong>In this prospective longitudinal study, over one year, we included adult (≥18 years) patients who were polytraumatized (ISS ≥17) and presented to our trauma center within six hours of the trauma incident. Various clinical, laboratory, and trauma scores were collected. Blood glucose levels were assessed from blood samples obtained directly after admission. Patients were divided into five groups based on the admission blood glucose levels.</p><p><strong>Results: </strong>We included 202 patients, having a mean age of 44±13.9 (20 to 70) years, and 52% were females. The mortality rate was 10.9% (including all patients presented with blood glucose levels≥15 mmol/L). The following were significant mortality predictors, admission blood glucose (OR=3.31, 95% CI=1.902-5.763, p<0.001), serum lactate levels (OR=4.017, 95% CI=1.627-9.917, p=0.003), length of hospital stay (OR=1.18, 95% CI= 1.058-1.305, p=0.003), RTS score (OR=1.43, 95% CI=1.023-2.005, p=0.037), and TRISS score (OR=1.099, 95% CI=1.052-1.148, p<0.001). Admission blood glucose levels cutoff value of 15 mmol/L can significantly differentiate between survivors and non-survivors with sensitivity, specificity, PPV, and NPV of 86.4%, 100%, 100%, and 88%, respectively.</p><p><strong>Conclusion: </strong>Abnormal admission blood glucose with a cutoff value of 15mmol/L is a significant mortality predictor in polytraumatized patients from developing country trauma center, among other clinical, laboratory, and trauma scores parameters.</p>\",\"PeriodicalId\":19608,\"journal\":{\"name\":\"Orthopedic Research and Reviews\",\"volume\":\"17 \",\"pages\":\"43-54\"},\"PeriodicalIF\":2.3000,\"publicationDate\":\"2025-01-29\",\"publicationTypes\":\"Journal Article\",\"fieldsOfStudy\":null,\"isOpenAccess\":false,\"openAccessPdf\":\"https://www.ncbi.nlm.nih.gov/pmc/articles/PMC11787776/pdf/\",\"citationCount\":\"0\",\"resultStr\":null,\"platform\":\"Semanticscholar\",\"paperid\":null,\"PeriodicalName\":\"Orthopedic Research and Reviews\",\"FirstCategoryId\":\"1085\",\"ListUrlMain\":\"https://doi.org/10.2147/ORR.S503377\",\"RegionNum\":0,\"RegionCategory\":null,\"ArticlePicture\":[],\"TitleCN\":null,\"AbstractTextCN\":null,\"PMCID\":null,\"EPubDate\":\"2025/1/1 0:00:00\",\"PubModel\":\"eCollection\",\"JCR\":\"Q2\",\"JCRName\":\"ORTHOPEDICS\",\"Score\":null,\"Total\":0}","platform":"Semanticscholar","paperid":null,"PeriodicalName":"Orthopedic Research and Reviews","FirstCategoryId":"1085","ListUrlMain":"https://doi.org/10.2147/ORR.S503377","RegionNum":0,"RegionCategory":null,"ArticlePicture":[],"TitleCN":null,"AbstractTextCN":null,"PMCID":null,"EPubDate":"2025/1/1 0:00:00","PubModel":"eCollection","JCR":"Q2","JCRName":"ORTHOPEDICS","Score":null,"Total":0}
引用次数: 0

摘要

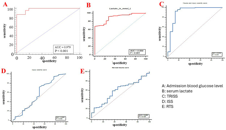
背景:发达国家的研究表明,入院时血糖水平异常对多重创伤患者具有预测死亡率的价值。来自发展中国家的报道很少。目的:评估在北非(发展中国家)创伤中心就诊的多重创伤患者入院时血糖水平预测死亡率的可靠性。次要目标是调查其他可能的死亡率预测因素,以及是否可以获得每个预测因素的临界值。方法:在这项为期一年的前瞻性纵向研究中,我们纳入了多重创伤(ISS≥17)的成人(≥18岁)患者,这些患者在创伤事件发生后6小时内来到我们的创伤中心。收集各种临床、实验室和创伤评分。入院后直接采集血液样本评估血糖水平。根据入院血糖水平将患者分为五组。结果:纳入202例患者,平均年龄44±13.9(20 ~ 70)岁,52%为女性。死亡率为10.9%(包括所有血糖水平≥15 mmol/L的患者)。入院血糖(OR=3.31, 95% CI=1.902-5.763)是预测发展中国家创伤中心多创伤患者死亡率的重要指标。结论:除其他临床、实验室和创伤评分参数外,入院血糖异常(临界值为15mmol/L)是预测发展中国家创伤中心多创伤患者死亡率的重要指标。
本文章由计算机程序翻译,如有差异,请以英文原文为准。

Admission Blood Glucose Level with a Cutoff Value of 15 mmol/L Is a Reliable Predictor of Mortality in Polytraumatized Patients-a Prospective, Observational, Longitudinal Study From a North African Level One Trauma Center.

Admission Blood Glucose Level with a Cutoff Value of 15 mmol/L Is a Reliable Predictor of Mortality in Polytraumatized Patients-a Prospective, Observational, Longitudinal Study From a North African Level One Trauma Center.

Background: Abnormal admission blood glucose levels were proved to have a mortality predictive value in polytraumatized patients, as reported by studies in developed countries. Reports from developing countries are scarce.

Objective: To evaluate the reliability of on-admission blood glucose levels in predicting mortality in polytraumatized patients presented to a North African (developing country) trauma center. The secondary objectives were to investigate other possible mortality predictors and if a cutoff value for each could be obtained.

Methods: In this prospective longitudinal study, over one year, we included adult (≥18 years) patients who were polytraumatized (ISS ≥17) and presented to our trauma center within six hours of the trauma incident. Various clinical, laboratory, and trauma scores were collected. Blood glucose levels were assessed from blood samples obtained directly after admission. Patients were divided into five groups based on the admission blood glucose levels.

Results: We included 202 patients, having a mean age of 44±13.9 (20 to 70) years, and 52% were females. The mortality rate was 10.9% (including all patients presented with blood glucose levels≥15 mmol/L). The following were significant mortality predictors, admission blood glucose (OR=3.31, 95% CI=1.902-5.763, p<0.001), serum lactate levels (OR=4.017, 95% CI=1.627-9.917, p=0.003), length of hospital stay (OR=1.18, 95% CI= 1.058-1.305, p=0.003), RTS score (OR=1.43, 95% CI=1.023-2.005, p=0.037), and TRISS score (OR=1.099, 95% CI=1.052-1.148, p<0.001). Admission blood glucose levels cutoff value of 15 mmol/L can significantly differentiate between survivors and non-survivors with sensitivity, specificity, PPV, and NPV of 86.4%, 100%, 100%, and 88%, respectively.

Conclusion: Abnormal admission blood glucose with a cutoff value of 15mmol/L is a significant mortality predictor in polytraumatized patients from developing country trauma center, among other clinical, laboratory, and trauma scores parameters.

求助全文
通过发布文献求助,成功后即可免费获取论文全文。 去求助
来源期刊
Orthopedic Research and Reviews
Orthopedic Research and Reviews Medicine-Orthopedics and Sports Medicine
CiteScore
2.80
自引率
0.00%
发文量
51
审稿时长
16 weeks
期刊介绍: Orthopedic Research and Reviews is an international, peer-reviewed, open-access journal focusing on the patho-physiology of the musculoskeletal system, trauma, surgery and other corrective interventions to restore mobility and function. Advances in new technologies, materials, techniques and pharmacological agents will be particularly welcome. Specific topics covered in the journal include: Patho-physiology and bioengineering, Technologies and materials science, Surgical techniques, including robotics, Trauma management and care, Treatment including pharmacological and non-pharmacological, Rehabilitation and Multidisciplinarian care approaches, Patient quality of life, satisfaction and preference, Health economic evaluations. The journal welcomes submitted papers covering original research, basic science and technology, clinical studies, reviews and evaluations, guidelines, expert opinion and commentary, case reports and extended reports.
×
引用
GB/T 7714-2015
复制
MLA
复制
APA
复制
导出至
BibTeX EndNote RefMan NoteFirst NoteExpress
×
提示
您的信息不完整,为了账户安全,请先补充。
现在去补充
×
提示
您因"违规操作"
具体请查看互助需知
我知道了
×
提示
确定
请完成安全验证×
copy
已复制链接
快去分享给好友吧!
我知道了
右上角分享
点击右上角分享
0
联系我们:info@booksci.cn Book学术提供免费学术资源搜索服务,方便国内外学者检索中英文文献。致力于提供最便捷和优质的服务体验。 Copyright © 2023 布克学术 All rights reserved.
京ICP备2023020795号-1
ghs 京公网安备 11010802042870号
Book学术文献互助
Book学术文献互助群
群 号:604180095
Book学术官方微信