过继性转移人源性T细胞诱导严重免疫缺陷小鼠异种GvHD的临床病理效应

IF 1 4区 医学 Q3 MEDICINE, GENERAL & INTERNAL
Hami Ashraf, Farid Kosari, Amir Arsalan Khorsand, Samad Muhammadnejad, Vahid Mansouri, Ahad Muhammadnejad, Naser Ahmadbeigi, Seyed Mostafa Monzavi
{"title":"过继性转移人源性T细胞诱导严重免疫缺陷小鼠异种GvHD的临床病理效应","authors":"Hami Ashraf, Farid Kosari, Amir Arsalan Khorsand, Samad Muhammadnejad, Vahid Mansouri, Ahad Muhammadnejad, Naser Ahmadbeigi, Seyed Mostafa Monzavi","doi":"10.34172/aim.28597","DOIUrl":null,"url":null,"abstract":"<p><strong>Background: </strong>Xenogeneic graft-versus-host disease (xGvHD) is an inevitable confounder of preclinical evaluation of adoptive immunotherapies on tumor-bearing immunodeficient mouse models. This study was designed to appraise the clinical and histopathological effects caused by xGvHD in severely immunodeficient mice considering the T cell dosage.</p><p><strong>Methods: </strong>Fifty NOG mice underwent intraperitoneal injection of three different doses of human-derived total T cells, a high dose of CD8<sup>+</sup>T cells, or vehicle (as control). Clinical and histopathological status of the study subjects were evaluated and compared according to scoring systems.</p><p><strong>Results: </strong>In mice receiving higher doses of total T cells, the clinical severity of xGvHD was greater. However, recipients of CD8<sup>+</sup>T cells developed none to mild xGvHD manifestations. Higher doses of T cells were associated with poorer outcomes including premature death and more severe histopathologic damages. Greater CD3<sup>+</sup>T cell tissue engraftment (immunohistochemical CD3 positivity) was associated with more severe xGvHD-induced histopathological damages. Clinical xGvHD scores were significantly correlated with histopathological xGvHD scores in total and in each tissue. Mice with severe cutaneous symptoms had higher scores of xGvHD-induced histopathologic changes in the skin. Lethargy was associated with higher histopathological scores in the lungs, liver and spleen.</p><p><strong>Conclusion: </strong>In preclinical evaluations, lower doses of T cell-based therapies are associated with milder xGvHD. Development of xGvHD may be averted by the use of CD4<sup>+</sup>T cell-depleted grafts. Histopathological and clinical scoring systems for evaluating xGvHD are significantly correlated. The lungs and liver are reliable organs for histopathological assessment and scoring of xGvHD.</p>","PeriodicalId":55469,"journal":{"name":"Archives of Iranian Medicine","volume":"27 12","pages":"683-692"},"PeriodicalIF":1.0000,"publicationDate":"2024-12-01","publicationTypes":"Journal Article","fieldsOfStudy":null,"isOpenAccess":false,"openAccessPdf":"https://www.ncbi.nlm.nih.gov/pmc/articles/PMC11786209/pdf/","citationCount":"0","resultStr":"{\"title\":\"Clinicopathologic Effects of Xenogeneic GvHD Induced by Adoptively Transferred Human-Derived T Cells in Severely Immunodeficient Mice.\",\"authors\":\"Hami Ashraf, Farid Kosari, Amir Arsalan Khorsand, Samad Muhammadnejad, Vahid Mansouri, Ahad Muhammadnejad, Naser Ahmadbeigi, Seyed Mostafa Monzavi\",\"doi\":\"10.34172/aim.28597\",\"DOIUrl\":null,\"url\":null,\"abstract\":\"<p><strong>Background: </strong>Xenogeneic graft-versus-host disease (xGvHD) is an inevitable confounder of preclinical evaluation of adoptive immunotherapies on tumor-bearing immunodeficient mouse models. This study was designed to appraise the clinical and histopathological effects caused by xGvHD in severely immunodeficient mice considering the T cell dosage.</p><p><strong>Methods: </strong>Fifty NOG mice underwent intraperitoneal injection of three different doses of human-derived total T cells, a high dose of CD8<sup>+</sup>T cells, or vehicle (as control). Clinical and histopathological status of the study subjects were evaluated and compared according to scoring systems.</p><p><strong>Results: </strong>In mice receiving higher doses of total T cells, the clinical severity of xGvHD was greater. However, recipients of CD8<sup>+</sup>T cells developed none to mild xGvHD manifestations. Higher doses of T cells were associated with poorer outcomes including premature death and more severe histopathologic damages. Greater CD3<sup>+</sup>T cell tissue engraftment (immunohistochemical CD3 positivity) was associated with more severe xGvHD-induced histopathological damages. Clinical xGvHD scores were significantly correlated with histopathological xGvHD scores in total and in each tissue. Mice with severe cutaneous symptoms had higher scores of xGvHD-induced histopathologic changes in the skin. Lethargy was associated with higher histopathological scores in the lungs, liver and spleen.</p><p><strong>Conclusion: </strong>In preclinical evaluations, lower doses of T cell-based therapies are associated with milder xGvHD. Development of xGvHD may be averted by the use of CD4<sup>+</sup>T cell-depleted grafts. Histopathological and clinical scoring systems for evaluating xGvHD are significantly correlated. The lungs and liver are reliable organs for histopathological assessment and scoring of xGvHD.</p>\",\"PeriodicalId\":55469,\"journal\":{\"name\":\"Archives of Iranian Medicine\",\"volume\":\"27 12\",\"pages\":\"683-692\"},\"PeriodicalIF\":1.0000,\"publicationDate\":\"2024-12-01\",\"publicationTypes\":\"Journal Article\",\"fieldsOfStudy\":null,\"isOpenAccess\":false,\"openAccessPdf\":\"https://www.ncbi.nlm.nih.gov/pmc/articles/PMC11786209/pdf/\",\"citationCount\":\"0\",\"resultStr\":null,\"platform\":\"Semanticscholar\",\"paperid\":null,\"PeriodicalName\":\"Archives of Iranian Medicine\",\"FirstCategoryId\":\"3\",\"ListUrlMain\":\"https://doi.org/10.34172/aim.28597\",\"RegionNum\":4,\"RegionCategory\":\"医学\",\"ArticlePicture\":[],\"TitleCN\":null,\"AbstractTextCN\":null,\"PMCID\":null,\"EPubDate\":\"\",\"PubModel\":\"\",\"JCR\":\"Q3\",\"JCRName\":\"MEDICINE, GENERAL & INTERNAL\",\"Score\":null,\"Total\":0}","platform":"Semanticscholar","paperid":null,"PeriodicalName":"Archives of Iranian Medicine","FirstCategoryId":"3","ListUrlMain":"https://doi.org/10.34172/aim.28597","RegionNum":4,"RegionCategory":"医学","ArticlePicture":[],"TitleCN":null,"AbstractTextCN":null,"PMCID":null,"EPubDate":"","PubModel":"","JCR":"Q3","JCRName":"MEDICINE, GENERAL & INTERNAL","Score":null,"Total":0}
引用次数: 0

摘要

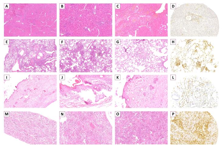
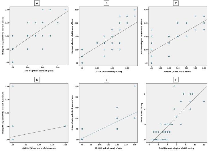
背景:异种移植物抗宿主病(xGvHD)是对载瘤免疫缺陷小鼠模型过继免疫治疗的临床前评估中不可避免的混杂因素。本研究旨在考虑T细胞剂量,评价xGvHD对严重免疫缺陷小鼠的临床和组织病理学影响。方法:50只NOG小鼠腹腔注射三种不同剂量的人源性总T细胞、高剂量的CD8+T细胞或对照物(作为对照)。根据评分系统对研究对象的临床和组织病理学状况进行评估和比较。结果:在接受高剂量总T细胞的小鼠中,xGvHD的临床严重程度更高。然而,CD8+T细胞受体没有出现到轻度的xGvHD表现。较高剂量的T细胞与较差的结果相关,包括过早死亡和更严重的组织病理学损伤。更大的CD3+T细胞组织植入(免疫组织化学CD3阳性)与更严重的xgvhd诱导的组织病理学损伤相关。临床xGvHD评分与组织病理学xGvHD评分在总评分和各组织中均有显著相关。皮肤症状严重的小鼠在xgvhd诱导的皮肤组织病理学改变中得分较高。嗜睡与较高的肺、肝和脾组织病理学评分相关。结论:在临床前评估中,较低剂量的T细胞治疗与较轻的xGvHD相关。通过使用CD4+T细胞耗尽的移植物可以避免xGvHD的发展。用于评估xGvHD的组织病理学和临床评分系统显着相关。肺和肝脏是xGvHD组织病理学评估和评分的可靠器官。
本文章由计算机程序翻译,如有差异,请以英文原文为准。

Clinicopathologic Effects of Xenogeneic GvHD Induced by Adoptively Transferred Human-Derived T Cells in Severely Immunodeficient Mice.

Clinicopathologic Effects of Xenogeneic GvHD Induced by Adoptively Transferred Human-Derived T Cells in Severely Immunodeficient Mice.

Clinicopathologic Effects of Xenogeneic GvHD Induced by Adoptively Transferred Human-Derived T Cells in Severely Immunodeficient Mice.

Clinicopathologic Effects of Xenogeneic GvHD Induced by Adoptively Transferred Human-Derived T Cells in Severely Immunodeficient Mice.

Background: Xenogeneic graft-versus-host disease (xGvHD) is an inevitable confounder of preclinical evaluation of adoptive immunotherapies on tumor-bearing immunodeficient mouse models. This study was designed to appraise the clinical and histopathological effects caused by xGvHD in severely immunodeficient mice considering the T cell dosage.

Methods: Fifty NOG mice underwent intraperitoneal injection of three different doses of human-derived total T cells, a high dose of CD8+T cells, or vehicle (as control). Clinical and histopathological status of the study subjects were evaluated and compared according to scoring systems.

Results: In mice receiving higher doses of total T cells, the clinical severity of xGvHD was greater. However, recipients of CD8+T cells developed none to mild xGvHD manifestations. Higher doses of T cells were associated with poorer outcomes including premature death and more severe histopathologic damages. Greater CD3+T cell tissue engraftment (immunohistochemical CD3 positivity) was associated with more severe xGvHD-induced histopathological damages. Clinical xGvHD scores were significantly correlated with histopathological xGvHD scores in total and in each tissue. Mice with severe cutaneous symptoms had higher scores of xGvHD-induced histopathologic changes in the skin. Lethargy was associated with higher histopathological scores in the lungs, liver and spleen.

Conclusion: In preclinical evaluations, lower doses of T cell-based therapies are associated with milder xGvHD. Development of xGvHD may be averted by the use of CD4+T cell-depleted grafts. Histopathological and clinical scoring systems for evaluating xGvHD are significantly correlated. The lungs and liver are reliable organs for histopathological assessment and scoring of xGvHD.

求助全文
通过发布文献求助,成功后即可免费获取论文全文。 去求助
来源期刊
Archives of Iranian Medicine
Archives of Iranian Medicine 医学-医学:内科
CiteScore
4.20
自引率
0.00%
发文量
67
审稿时长
3-8 weeks
期刊介绍: Aim and Scope: The Archives of Iranian Medicine (AIM) is a monthly peer-reviewed multidisciplinary medical publication. The journal welcomes contributions particularly relevant to the Middle-East region and publishes biomedical experiences and clinical investigations on prevalent diseases in the region as well as analyses of factors that may modulate the incidence, course, and management of diseases and pertinent medical problems. Manuscripts with didactic orientation and subjects exclusively of local interest will not be considered for publication.The 2016 Impact Factor of "Archives of Iranian Medicine" is 1.20.
×
引用
GB/T 7714-2015
复制
MLA
复制
APA
复制
导出至
BibTeX EndNote RefMan NoteFirst NoteExpress
×
提示
您的信息不完整,为了账户安全,请先补充。
现在去补充
×
提示
您因"违规操作"
具体请查看互助需知
我知道了
×
提示
确定
请完成安全验证×
copy
已复制链接
快去分享给好友吧!
我知道了
右上角分享
点击右上角分享
0
联系我们:info@booksci.cn Book学术提供免费学术资源搜索服务,方便国内外学者检索中英文文献。致力于提供最便捷和优质的服务体验。 Copyright © 2023 布克学术 All rights reserved.
京ICP备2023020795号-1
ghs 京公网安备 11010802042870号
Book学术文献互助
Book学术文献互助群
群 号:604180095
Book学术官方微信