不同再生年龄和残高青贮柠条象草生物量产量和青贮品质。

IF 3.9 2区 综合性期刊 Q1 MULTIDISCIPLINARY SCIENCES
Daiana Lopes Lelis, Domingos Sávio Campos Paciullo, Mirton Jose Frota Morenz, Carlos Augusto de Miranda Gomide, João Paulo Santos Roseira, Fernando Cesar Ferraz Lopes, Jackson Silva E Oliveira, Odilon Gomes Pereira, Vanessa Paula da Silva, Fernanda Helena Martins Chizzotti
{"title":"不同再生年龄和残高青贮柠条象草生物量产量和青贮品质。","authors":"Daiana Lopes Lelis, Domingos Sávio Campos Paciullo, Mirton Jose Frota Morenz, Carlos Augusto de Miranda Gomide, João Paulo Santos Roseira, Fernando Cesar Ferraz Lopes, Jackson Silva E Oliveira, Odilon Gomes Pereira, Vanessa Paula da Silva, Fernanda Helena Martins Chizzotti","doi":"10.1038/s41598-025-88367-9","DOIUrl":null,"url":null,"abstract":"<p><p>The aim of this study was to determine the optimal combination of regrowth age and residue height of BRS Capiaçu elephant grass that yields the best balance between the dry mass production (DMP) of the harvested forage and silage quality. Four regrowth ages (75, 90, 105, and 120 days) and two residue heights (10 and 50 cm) were evaluated. The experimental design used a randomized complete block design with a 4 × 2 factorial scheme and 3 replicates. The regrowth age led to a linear increase in DMP. As regrowth age advanced, there were linear increases in the dry matter (DM) concentration, cell wall constituents, and fraction C (acid detergent insoluble nitrogen) of crude protein and reductions in the in vitro digestibility of DM and neutral detergent fiber (IVNDFD) in both the plant and its silage. Lower pH values were observed in silage made from plants harvested at 10 cm. No significant effects of the studied factors were found on the concentrations of organic acids in the silage, except for propionic acid. Management using a 105-day regrowth period and a 10-cm residue height resulted in a better balance between the dry mass production, fermentative profile and nutritional value of silage.</p>","PeriodicalId":21811,"journal":{"name":"Scientific Reports","volume":"15 1","pages":"4016"},"PeriodicalIF":3.9000,"publicationDate":"2025-02-01","publicationTypes":"Journal Article","fieldsOfStudy":null,"isOpenAccess":false,"openAccessPdf":"https://www.ncbi.nlm.nih.gov/pmc/articles/PMC11787373/pdf/","citationCount":"0","resultStr":"{\"title\":\"Biomass production and silage quality of ensiled BRS Capiaçu elephant grass at different regrowth ages and residue heights.\",\"authors\":\"Daiana Lopes Lelis, Domingos Sávio Campos Paciullo, Mirton Jose Frota Morenz, Carlos Augusto de Miranda Gomide, João Paulo Santos Roseira, Fernando Cesar Ferraz Lopes, Jackson Silva E Oliveira, Odilon Gomes Pereira, Vanessa Paula da Silva, Fernanda Helena Martins Chizzotti\",\"doi\":\"10.1038/s41598-025-88367-9\",\"DOIUrl\":null,\"url\":null,\"abstract\":\"<p><p>The aim of this study was to determine the optimal combination of regrowth age and residue height of BRS Capiaçu elephant grass that yields the best balance between the dry mass production (DMP) of the harvested forage and silage quality. Four regrowth ages (75, 90, 105, and 120 days) and two residue heights (10 and 50 cm) were evaluated. The experimental design used a randomized complete block design with a 4 × 2 factorial scheme and 3 replicates. The regrowth age led to a linear increase in DMP. As regrowth age advanced, there were linear increases in the dry matter (DM) concentration, cell wall constituents, and fraction C (acid detergent insoluble nitrogen) of crude protein and reductions in the in vitro digestibility of DM and neutral detergent fiber (IVNDFD) in both the plant and its silage. Lower pH values were observed in silage made from plants harvested at 10 cm. No significant effects of the studied factors were found on the concentrations of organic acids in the silage, except for propionic acid. Management using a 105-day regrowth period and a 10-cm residue height resulted in a better balance between the dry mass production, fermentative profile and nutritional value of silage.</p>\",\"PeriodicalId\":21811,\"journal\":{\"name\":\"Scientific Reports\",\"volume\":\"15 1\",\"pages\":\"4016\"},\"PeriodicalIF\":3.9000,\"publicationDate\":\"2025-02-01\",\"publicationTypes\":\"Journal Article\",\"fieldsOfStudy\":null,\"isOpenAccess\":false,\"openAccessPdf\":\"https://www.ncbi.nlm.nih.gov/pmc/articles/PMC11787373/pdf/\",\"citationCount\":\"0\",\"resultStr\":null,\"platform\":\"Semanticscholar\",\"paperid\":null,\"PeriodicalName\":\"Scientific Reports\",\"FirstCategoryId\":\"103\",\"ListUrlMain\":\"https://doi.org/10.1038/s41598-025-88367-9\",\"RegionNum\":2,\"RegionCategory\":\"综合性期刊\",\"ArticlePicture\":[],\"TitleCN\":null,\"AbstractTextCN\":null,\"PMCID\":null,\"EPubDate\":\"\",\"PubModel\":\"\",\"JCR\":\"Q1\",\"JCRName\":\"MULTIDISCIPLINARY SCIENCES\",\"Score\":null,\"Total\":0}","platform":"Semanticscholar","paperid":null,"PeriodicalName":"Scientific Reports","FirstCategoryId":"103","ListUrlMain":"https://doi.org/10.1038/s41598-025-88367-9","RegionNum":2,"RegionCategory":"综合性期刊","ArticlePicture":[],"TitleCN":null,"AbstractTextCN":null,"PMCID":null,"EPubDate":"","PubModel":"","JCR":"Q1","JCRName":"MULTIDISCIPLINARY SCIENCES","Score":null,"Total":0}
引用次数: 0

摘要

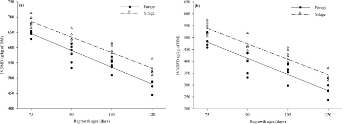
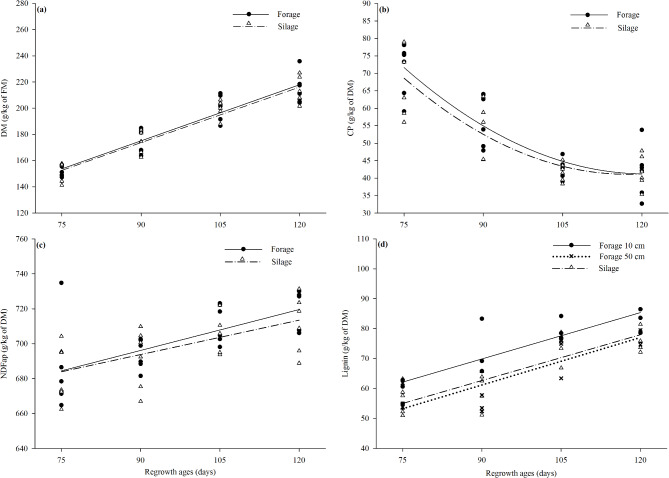
本试验旨在确定BRS capiau象草再生年龄和残高的最佳组合,使收获的牧草干量产量(DMP)与青贮品质达到最佳平衡。测定4个再生年龄(75、90、105和120 d)和2个残高(10和50 cm)。试验设计采用随机完全区组设计,4 × 2因子方案,3个重复。再生年龄导致DMP呈线性增加。随着再生年龄的增加,植株和青贮体的干物质(DM)浓度、细胞壁成分和粗蛋白质的酸性洗涤不溶性氮(C)分数呈线性增加,干物质和中性洗涤纤维(IVNDFD)的体外消化率降低。在10 cm处收获的植物青贮料中观察到较低的pH值。除丙酸外,各因素对青贮饲料中有机酸含量均无显著影响。采用105天的再生期和10厘米的残茬高度管理,青贮饲料的干量产量、发酵特性和营养价值之间取得了更好的平衡。
本文章由计算机程序翻译,如有差异,请以英文原文为准。

Biomass production and silage quality of ensiled BRS Capiaçu elephant grass at different regrowth ages and residue heights.

Biomass production and silage quality of ensiled BRS Capiaçu elephant grass at different regrowth ages and residue heights.

Biomass production and silage quality of ensiled BRS Capiaçu elephant grass at different regrowth ages and residue heights.

Biomass production and silage quality of ensiled BRS Capiaçu elephant grass at different regrowth ages and residue heights.

The aim of this study was to determine the optimal combination of regrowth age and residue height of BRS Capiaçu elephant grass that yields the best balance between the dry mass production (DMP) of the harvested forage and silage quality. Four regrowth ages (75, 90, 105, and 120 days) and two residue heights (10 and 50 cm) were evaluated. The experimental design used a randomized complete block design with a 4 × 2 factorial scheme and 3 replicates. The regrowth age led to a linear increase in DMP. As regrowth age advanced, there were linear increases in the dry matter (DM) concentration, cell wall constituents, and fraction C (acid detergent insoluble nitrogen) of crude protein and reductions in the in vitro digestibility of DM and neutral detergent fiber (IVNDFD) in both the plant and its silage. Lower pH values were observed in silage made from plants harvested at 10 cm. No significant effects of the studied factors were found on the concentrations of organic acids in the silage, except for propionic acid. Management using a 105-day regrowth period and a 10-cm residue height resulted in a better balance between the dry mass production, fermentative profile and nutritional value of silage.

求助全文
通过发布文献求助,成功后即可免费获取论文全文。 去求助
来源期刊
Scientific Reports
Scientific Reports Natural Science Disciplines-
CiteScore
7.50
自引率
4.30%
发文量
19567
审稿时长
3.9 months
期刊介绍: We publish original research from all areas of the natural sciences, psychology, medicine and engineering. You can learn more about what we publish by browsing our specific scientific subject areas below or explore Scientific Reports by browsing all articles and collections. Scientific Reports has a 2-year impact factor: 4.380 (2021), and is the 6th most-cited journal in the world, with more than 540,000 citations in 2020 (Clarivate Analytics, 2021). •Engineering Engineering covers all aspects of engineering, technology, and applied science. It plays a crucial role in the development of technologies to address some of the world''s biggest challenges, helping to save lives and improve the way we live. •Physical sciences Physical sciences are those academic disciplines that aim to uncover the underlying laws of nature — often written in the language of mathematics. It is a collective term for areas of study including astronomy, chemistry, materials science and physics. •Earth and environmental sciences Earth and environmental sciences cover all aspects of Earth and planetary science and broadly encompass solid Earth processes, surface and atmospheric dynamics, Earth system history, climate and climate change, marine and freshwater systems, and ecology. It also considers the interactions between humans and these systems. •Biological sciences Biological sciences encompass all the divisions of natural sciences examining various aspects of vital processes. The concept includes anatomy, physiology, cell biology, biochemistry and biophysics, and covers all organisms from microorganisms, animals to plants. •Health sciences The health sciences study health, disease and healthcare. This field of study aims to develop knowledge, interventions and technology for use in healthcare to improve the treatment of patients.
×
引用
GB/T 7714-2015
复制
MLA
复制
APA
复制
导出至
BibTeX EndNote RefMan NoteFirst NoteExpress
×
提示
您的信息不完整,为了账户安全,请先补充。
现在去补充
×
提示
您因"违规操作"
具体请查看互助需知
我知道了
×
提示
确定
请完成安全验证×
copy
已复制链接
快去分享给好友吧!
我知道了
右上角分享
点击右上角分享
0
联系我们:info@booksci.cn Book学术提供免费学术资源搜索服务,方便国内外学者检索中英文文献。致力于提供最便捷和优质的服务体验。 Copyright © 2023 布克学术 All rights reserved.
京ICP备2023020795号-1
ghs 京公网安备 11010802042870号
Book学术文献互助
Book学术文献互助群
群 号:604180095
Book学术官方微信