栖息地保护增强了蜥蜴Liolaemus cuyumhue对夏季高温的适应性。

IF 3.9 2区 综合性期刊 Q1 MULTIDISCIPLINARY SCIENCES
María Victoria Brizio, Facundo Cabezas-Cartes, Luciano Javier Avila, Jorgelina Mariela Boretto
{"title":"栖息地保护增强了蜥蜴Liolaemus cuyumhue对夏季高温的适应性。","authors":"María Victoria Brizio, Facundo Cabezas-Cartes, Luciano Javier Avila, Jorgelina Mariela Boretto","doi":"10.1038/s41598-024-83845-y","DOIUrl":null,"url":null,"abstract":"<p><p>Habitat degradation from human activities affects essential microhabitats, threatening ecological processes like foraging, mating, locomotion, predator evasion, and competition among reptiles. We assessed how microhabitat selection and body temperature of the endangered lizard Liolaemus cuyumhue respond to differences in vegetation composition and thermal conditions between a disturbed site and an undisturbed site impacted by oil and gas activities in Argentina. During five expeditions between September 2022 and March 2023, we searched for L. cuyumhue and collected data on body temperature, substrate and air temperatures, body mass, snout-vent length, sex, and habitat characteristics. We also measured operative temperatures and assessed vegetation cover and microhabitat availability at each site. Our results showed significant differences in microhabitat characteristics and selection between sites. The undisturbed site had higher vegetation and lower operative temperatures, while the disturbed site had higher temperatures and lower vegetation, especially in summer. Lizards at the disturbed site showed higher body temperatures, suggesting stressful thermal conditions, and preferred microhabitats with lower bare ground cover. Capturing lizards in the disturbed site required more effort than in the undisturbed site. This study emphasizes the impact of habitat disturbance on the thermal environment and behavior of L. cuyumhue. Conservation efforts should prioritize maintaining and restoring vegetation to support the species' thermoregulation needs, especially under global warming.</p>","PeriodicalId":21811,"journal":{"name":"Scientific Reports","volume":"15 1","pages":"3992"},"PeriodicalIF":3.9000,"publicationDate":"2025-02-01","publicationTypes":"Journal Article","fieldsOfStudy":null,"isOpenAccess":false,"openAccessPdf":"https://www.ncbi.nlm.nih.gov/pmc/articles/PMC11787314/pdf/","citationCount":"0","resultStr":"{\"title\":\"Habitat conservation enhances the resilience of the lizard Liolaemus cuyumhue to high summer temperatures.\",\"authors\":\"María Victoria Brizio, Facundo Cabezas-Cartes, Luciano Javier Avila, Jorgelina Mariela Boretto\",\"doi\":\"10.1038/s41598-024-83845-y\",\"DOIUrl\":null,\"url\":null,\"abstract\":\"<p><p>Habitat degradation from human activities affects essential microhabitats, threatening ecological processes like foraging, mating, locomotion, predator evasion, and competition among reptiles. We assessed how microhabitat selection and body temperature of the endangered lizard Liolaemus cuyumhue respond to differences in vegetation composition and thermal conditions between a disturbed site and an undisturbed site impacted by oil and gas activities in Argentina. During five expeditions between September 2022 and March 2023, we searched for L. cuyumhue and collected data on body temperature, substrate and air temperatures, body mass, snout-vent length, sex, and habitat characteristics. We also measured operative temperatures and assessed vegetation cover and microhabitat availability at each site. Our results showed significant differences in microhabitat characteristics and selection between sites. The undisturbed site had higher vegetation and lower operative temperatures, while the disturbed site had higher temperatures and lower vegetation, especially in summer. Lizards at the disturbed site showed higher body temperatures, suggesting stressful thermal conditions, and preferred microhabitats with lower bare ground cover. Capturing lizards in the disturbed site required more effort than in the undisturbed site. This study emphasizes the impact of habitat disturbance on the thermal environment and behavior of L. cuyumhue. Conservation efforts should prioritize maintaining and restoring vegetation to support the species' thermoregulation needs, especially under global warming.</p>\",\"PeriodicalId\":21811,\"journal\":{\"name\":\"Scientific Reports\",\"volume\":\"15 1\",\"pages\":\"3992\"},\"PeriodicalIF\":3.9000,\"publicationDate\":\"2025-02-01\",\"publicationTypes\":\"Journal Article\",\"fieldsOfStudy\":null,\"isOpenAccess\":false,\"openAccessPdf\":\"https://www.ncbi.nlm.nih.gov/pmc/articles/PMC11787314/pdf/\",\"citationCount\":\"0\",\"resultStr\":null,\"platform\":\"Semanticscholar\",\"paperid\":null,\"PeriodicalName\":\"Scientific Reports\",\"FirstCategoryId\":\"103\",\"ListUrlMain\":\"https://doi.org/10.1038/s41598-024-83845-y\",\"RegionNum\":2,\"RegionCategory\":\"综合性期刊\",\"ArticlePicture\":[],\"TitleCN\":null,\"AbstractTextCN\":null,\"PMCID\":null,\"EPubDate\":\"\",\"PubModel\":\"\",\"JCR\":\"Q1\",\"JCRName\":\"MULTIDISCIPLINARY SCIENCES\",\"Score\":null,\"Total\":0}","platform":"Semanticscholar","paperid":null,"PeriodicalName":"Scientific Reports","FirstCategoryId":"103","ListUrlMain":"https://doi.org/10.1038/s41598-024-83845-y","RegionNum":2,"RegionCategory":"综合性期刊","ArticlePicture":[],"TitleCN":null,"AbstractTextCN":null,"PMCID":null,"EPubDate":"","PubModel":"","JCR":"Q1","JCRName":"MULTIDISCIPLINARY SCIENCES","Score":null,"Total":0}
引用次数: 0

摘要

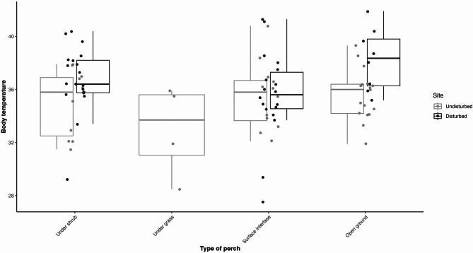
人类活动导致的栖息地退化影响了基本的微栖息地,威胁着爬行动物的觅食、交配、运动、躲避捕食者和竞争等生态过程。研究了受油气开采影响的阿根廷濒危壁蜥(Liolaemus cuyumhue)的微生境选择和体温对植被组成和热条件差异的响应。在2022年9月至2023年3月的5次考察中,我们搜索了L. cuyumhue,并收集了体温、底物和空气温度、体重、口鼻长度、性别和栖息地特征的数据。我们还测量了每个站点的工作温度,并评估了植被覆盖和微生境的可用性。结果表明,不同地点的微生境特征和选择存在显著差异。未扰动样地植被较高、工作温度较低,而扰动样地温度较高、工作温度较低,尤其是在夏季。受干扰地点的蜥蜴表现出较高的体温,表明热环境压力较大,它们更喜欢裸露地面较少的微栖息地。在受干扰的地点捕获蜥蜴比在未受干扰的地点需要更多的努力。本研究着重研究了生境干扰对冬青热环境和行为的影响。保护工作应优先考虑维护和恢复植被,以支持物种的体温调节需求,特别是在全球变暖的情况下。
本文章由计算机程序翻译,如有差异,请以英文原文为准。

Habitat conservation enhances the resilience of the lizard Liolaemus cuyumhue to high summer temperatures.

Habitat conservation enhances the resilience of the lizard Liolaemus cuyumhue to high summer temperatures.

Habitat conservation enhances the resilience of the lizard Liolaemus cuyumhue to high summer temperatures.

Habitat conservation enhances the resilience of the lizard Liolaemus cuyumhue to high summer temperatures.

Habitat degradation from human activities affects essential microhabitats, threatening ecological processes like foraging, mating, locomotion, predator evasion, and competition among reptiles. We assessed how microhabitat selection and body temperature of the endangered lizard Liolaemus cuyumhue respond to differences in vegetation composition and thermal conditions between a disturbed site and an undisturbed site impacted by oil and gas activities in Argentina. During five expeditions between September 2022 and March 2023, we searched for L. cuyumhue and collected data on body temperature, substrate and air temperatures, body mass, snout-vent length, sex, and habitat characteristics. We also measured operative temperatures and assessed vegetation cover and microhabitat availability at each site. Our results showed significant differences in microhabitat characteristics and selection between sites. The undisturbed site had higher vegetation and lower operative temperatures, while the disturbed site had higher temperatures and lower vegetation, especially in summer. Lizards at the disturbed site showed higher body temperatures, suggesting stressful thermal conditions, and preferred microhabitats with lower bare ground cover. Capturing lizards in the disturbed site required more effort than in the undisturbed site. This study emphasizes the impact of habitat disturbance on the thermal environment and behavior of L. cuyumhue. Conservation efforts should prioritize maintaining and restoring vegetation to support the species' thermoregulation needs, especially under global warming.

求助全文
通过发布文献求助,成功后即可免费获取论文全文。 去求助
来源期刊
Scientific Reports
Scientific Reports Natural Science Disciplines-
CiteScore
7.50
自引率
4.30%
发文量
19567
审稿时长
3.9 months
期刊介绍: We publish original research from all areas of the natural sciences, psychology, medicine and engineering. You can learn more about what we publish by browsing our specific scientific subject areas below or explore Scientific Reports by browsing all articles and collections. Scientific Reports has a 2-year impact factor: 4.380 (2021), and is the 6th most-cited journal in the world, with more than 540,000 citations in 2020 (Clarivate Analytics, 2021). •Engineering Engineering covers all aspects of engineering, technology, and applied science. It plays a crucial role in the development of technologies to address some of the world''s biggest challenges, helping to save lives and improve the way we live. •Physical sciences Physical sciences are those academic disciplines that aim to uncover the underlying laws of nature — often written in the language of mathematics. It is a collective term for areas of study including astronomy, chemistry, materials science and physics. •Earth and environmental sciences Earth and environmental sciences cover all aspects of Earth and planetary science and broadly encompass solid Earth processes, surface and atmospheric dynamics, Earth system history, climate and climate change, marine and freshwater systems, and ecology. It also considers the interactions between humans and these systems. •Biological sciences Biological sciences encompass all the divisions of natural sciences examining various aspects of vital processes. The concept includes anatomy, physiology, cell biology, biochemistry and biophysics, and covers all organisms from microorganisms, animals to plants. •Health sciences The health sciences study health, disease and healthcare. This field of study aims to develop knowledge, interventions and technology for use in healthcare to improve the treatment of patients.
×
引用
GB/T 7714-2015
复制
MLA
复制
APA
复制
导出至
BibTeX EndNote RefMan NoteFirst NoteExpress
×
提示
您的信息不完整,为了账户安全,请先补充。
现在去补充
×
提示
您因"违规操作"
具体请查看互助需知
我知道了
×
提示
确定
请完成安全验证×
copy
已复制链接
快去分享给好友吧!
我知道了
右上角分享
点击右上角分享
0
联系我们:info@booksci.cn Book学术提供免费学术资源搜索服务,方便国内外学者检索中英文文献。致力于提供最便捷和优质的服务体验。 Copyright © 2023 布克学术 All rights reserved.
京ICP备2023020795号-1
ghs 京公网安备 11010802042870号
Book学术文献互助
Book学术文献互助群
群 号:604180095
Book学术官方微信