探讨非高密度脂蛋白胆固醇与高密度脂蛋白胆固醇比值(NHHR)在肥胖与睡眠呼吸障碍相关性中的中介作用。

IF 2.8 3区 医学 Q2 PSYCHIATRY
Ying Cui, Ziyi Cheng
{"title":"探讨非高密度脂蛋白胆固醇与高密度脂蛋白胆固醇比值(NHHR)在肥胖与睡眠呼吸障碍相关性中的中介作用。","authors":"Ying Cui, Ziyi Cheng","doi":"10.1007/s40519-025-01717-4","DOIUrl":null,"url":null,"abstract":"<p><strong>Purpose: </strong>Exploring novel mediators affecting the relationship between obesity and sleep-disordered breathing (SDB) is necessary. This study aimed to explore the mediating role of the non-high-density lipoprotein cholesterol to high-density lipoprotein cholesterol ratio (NHHR) in the association between body mass index (BMI) and SDB using data from the 2015-2018 National Health and Nutrition Examination Survey (NHANES) cycles.</p><p><strong>Methods: </strong>Total 7639 participants were included. SDB was defined based on the self-reported frequency of snoring, snorting, or excessive daytime sleepiness. The BMI and NHHR were calculated based on height and weight measurements and laboratory data, respectively. Weighted multivariate logistic and linear regression analyses were conducted to examine the associations, and restricted cubic spline (RCS) analysis was used to assess dose-response relationships. Mediation analysis was performed to evaluate the NHHR's role in the BMI-SDB association. Subgroup analyses were performed to assess differences across various populations.</p><p><strong>Results: </strong>SDB symptoms were observed in 51.05% of participants. Higher BMI was significantly associated with increased SDB risk. RCS analysis revealed a nonlinear relationship between BMI and SDB. Subgroup analyses indicated a positive correlation between BMI and SDB was stronger among nonhypertensive participants. NHHR was positively associated with BMI and SDB. Mediation analysis showed that the NHHR explained 5.44-8.12% of the BMI-SDB association.</p><p><strong>Conclusions: </strong>BMI is a critical factor in the risk of SDB, and the NHHR partially mediates this relationship. BMI and cholesterol levels should be managed to mitigate the SDB risk.</p><p><strong>Level of evidence: </strong>Level V-cross-sectional observational study.</p>","PeriodicalId":11391,"journal":{"name":"Eating and Weight Disorders - Studies on Anorexia, Bulimia and Obesity","volume":"30 1","pages":"11"},"PeriodicalIF":2.8000,"publicationDate":"2025-02-02","publicationTypes":"Journal Article","fieldsOfStudy":null,"isOpenAccess":false,"openAccessPdf":"https://www.ncbi.nlm.nih.gov/pmc/articles/PMC11788228/pdf/","citationCount":"0","resultStr":"{\"title\":\"Exploring the mediating role of the non-high-density lipoprotein cholesterol to high-density lipoprotein cholesterol ratio (NHHR) in the association between obesity and sleep-disordered breathing.\",\"authors\":\"Ying Cui, Ziyi Cheng\",\"doi\":\"10.1007/s40519-025-01717-4\",\"DOIUrl\":null,\"url\":null,\"abstract\":\"<p><strong>Purpose: </strong>Exploring novel mediators affecting the relationship between obesity and sleep-disordered breathing (SDB) is necessary. This study aimed to explore the mediating role of the non-high-density lipoprotein cholesterol to high-density lipoprotein cholesterol ratio (NHHR) in the association between body mass index (BMI) and SDB using data from the 2015-2018 National Health and Nutrition Examination Survey (NHANES) cycles.</p><p><strong>Methods: </strong>Total 7639 participants were included. SDB was defined based on the self-reported frequency of snoring, snorting, or excessive daytime sleepiness. The BMI and NHHR were calculated based on height and weight measurements and laboratory data, respectively. Weighted multivariate logistic and linear regression analyses were conducted to examine the associations, and restricted cubic spline (RCS) analysis was used to assess dose-response relationships. Mediation analysis was performed to evaluate the NHHR's role in the BMI-SDB association. Subgroup analyses were performed to assess differences across various populations.</p><p><strong>Results: </strong>SDB symptoms were observed in 51.05% of participants. Higher BMI was significantly associated with increased SDB risk. RCS analysis revealed a nonlinear relationship between BMI and SDB. Subgroup analyses indicated a positive correlation between BMI and SDB was stronger among nonhypertensive participants. NHHR was positively associated with BMI and SDB. Mediation analysis showed that the NHHR explained 5.44-8.12% of the BMI-SDB association.</p><p><strong>Conclusions: </strong>BMI is a critical factor in the risk of SDB, and the NHHR partially mediates this relationship. BMI and cholesterol levels should be managed to mitigate the SDB risk.</p><p><strong>Level of evidence: </strong>Level V-cross-sectional observational study.</p>\",\"PeriodicalId\":11391,\"journal\":{\"name\":\"Eating and Weight Disorders - Studies on Anorexia, Bulimia and Obesity\",\"volume\":\"30 1\",\"pages\":\"11\"},\"PeriodicalIF\":2.8000,\"publicationDate\":\"2025-02-02\",\"publicationTypes\":\"Journal Article\",\"fieldsOfStudy\":null,\"isOpenAccess\":false,\"openAccessPdf\":\"https://www.ncbi.nlm.nih.gov/pmc/articles/PMC11788228/pdf/\",\"citationCount\":\"0\",\"resultStr\":null,\"platform\":\"Semanticscholar\",\"paperid\":null,\"PeriodicalName\":\"Eating and Weight Disorders - Studies on Anorexia, Bulimia and Obesity\",\"FirstCategoryId\":\"3\",\"ListUrlMain\":\"https://doi.org/10.1007/s40519-025-01717-4\",\"RegionNum\":3,\"RegionCategory\":\"医学\",\"ArticlePicture\":[],\"TitleCN\":null,\"AbstractTextCN\":null,\"PMCID\":null,\"EPubDate\":\"\",\"PubModel\":\"\",\"JCR\":\"Q2\",\"JCRName\":\"PSYCHIATRY\",\"Score\":null,\"Total\":0}","platform":"Semanticscholar","paperid":null,"PeriodicalName":"Eating and Weight Disorders - Studies on Anorexia, Bulimia and Obesity","FirstCategoryId":"3","ListUrlMain":"https://doi.org/10.1007/s40519-025-01717-4","RegionNum":3,"RegionCategory":"医学","ArticlePicture":[],"TitleCN":null,"AbstractTextCN":null,"PMCID":null,"EPubDate":"","PubModel":"","JCR":"Q2","JCRName":"PSYCHIATRY","Score":null,"Total":0}
引用次数: 0

摘要

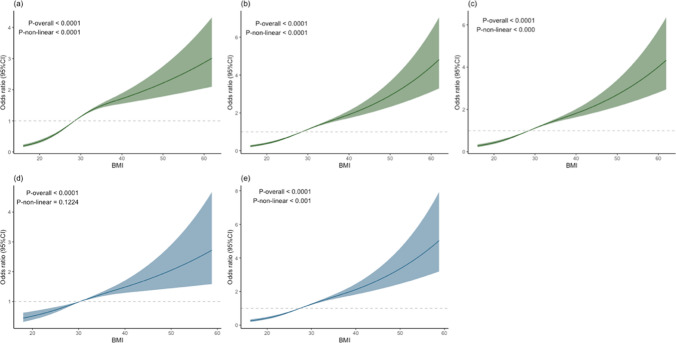
目的:探索影响肥胖与睡眠呼吸障碍(SDB)关系的新介质是必要的。本研究旨在利用2015-2018年全国健康与营养调查(NHANES)周期数据,探讨非高密度脂蛋白胆固醇与高密度脂蛋白胆固醇之比(NHHR)在体重指数(BMI)与SDB之间的关联中的中介作用。方法:共纳入7639名受试者。SDB的定义基于自我报告的打鼾、打鼾或白天过度嗜睡的频率。BMI和NHHR分别根据身高和体重测量和实验室数据计算。采用加权多变量逻辑分析和线性回归分析来检验相关性,并采用限制性三次样条(RCS)分析来评估剂量-反应关系。采用中介分析来评估NHHR在BMI-SDB关联中的作用。进行亚组分析以评估不同人群之间的差异。结果:51.05%的被试出现SDB症状。较高的BMI与SDB风险增加显著相关。RCS分析显示BMI与SDB呈非线性关系。亚组分析表明,BMI与SDB的正相关在非高血压患者中更为明显。NHHR与BMI、SDB呈正相关。中介分析显示,NHHR解释了5.44-8.12%的BMI-SDB关联。结论:BMI是SDB危险的关键因素,NHHR在其中起部分中介作用。应控制BMI和胆固醇水平以降低SDB的风险。证据水平:v级横断面观察性研究。
本文章由计算机程序翻译,如有差异,请以英文原文为准。

Exploring the mediating role of the non-high-density lipoprotein cholesterol to high-density lipoprotein cholesterol ratio (NHHR) in the association between obesity and sleep-disordered breathing.

Exploring the mediating role of the non-high-density lipoprotein cholesterol to high-density lipoprotein cholesterol ratio (NHHR) in the association between obesity and sleep-disordered breathing.

Exploring the mediating role of the non-high-density lipoprotein cholesterol to high-density lipoprotein cholesterol ratio (NHHR) in the association between obesity and sleep-disordered breathing.

Exploring the mediating role of the non-high-density lipoprotein cholesterol to high-density lipoprotein cholesterol ratio (NHHR) in the association between obesity and sleep-disordered breathing.

Purpose: Exploring novel mediators affecting the relationship between obesity and sleep-disordered breathing (SDB) is necessary. This study aimed to explore the mediating role of the non-high-density lipoprotein cholesterol to high-density lipoprotein cholesterol ratio (NHHR) in the association between body mass index (BMI) and SDB using data from the 2015-2018 National Health and Nutrition Examination Survey (NHANES) cycles.

Methods: Total 7639 participants were included. SDB was defined based on the self-reported frequency of snoring, snorting, or excessive daytime sleepiness. The BMI and NHHR were calculated based on height and weight measurements and laboratory data, respectively. Weighted multivariate logistic and linear regression analyses were conducted to examine the associations, and restricted cubic spline (RCS) analysis was used to assess dose-response relationships. Mediation analysis was performed to evaluate the NHHR's role in the BMI-SDB association. Subgroup analyses were performed to assess differences across various populations.

Results: SDB symptoms were observed in 51.05% of participants. Higher BMI was significantly associated with increased SDB risk. RCS analysis revealed a nonlinear relationship between BMI and SDB. Subgroup analyses indicated a positive correlation between BMI and SDB was stronger among nonhypertensive participants. NHHR was positively associated with BMI and SDB. Mediation analysis showed that the NHHR explained 5.44-8.12% of the BMI-SDB association.

Conclusions: BMI is a critical factor in the risk of SDB, and the NHHR partially mediates this relationship. BMI and cholesterol levels should be managed to mitigate the SDB risk.

Level of evidence: Level V-cross-sectional observational study.

求助全文
通过发布文献求助,成功后即可免费获取论文全文。 去求助
来源期刊
CiteScore
6.50
自引率
10.30%
发文量
170
审稿时长
>12 weeks
期刊介绍: Eating and Weight Disorders - Studies on Anorexia, Bulimia and Obesity is a scientific journal whose main purpose is to create an international forum devoted to the several sectors of eating disorders and obesity and the significant relations between them. The journal publishes basic research, clinical and theoretical articles on eating disorders and weight-related problems: anorexia nervosa, bulimia nervosa, subthreshold eating disorders, obesity, atypical patterns of eating behaviour and body weight regulation in clinical and non-clinical populations.
×
引用
GB/T 7714-2015
复制
MLA
复制
APA
复制
导出至
BibTeX EndNote RefMan NoteFirst NoteExpress
×
提示
您的信息不完整,为了账户安全,请先补充。
现在去补充
×
提示
您因"违规操作"
具体请查看互助需知
我知道了
×
提示
确定
请完成安全验证×
copy
已复制链接
快去分享给好友吧!
我知道了
右上角分享
点击右上角分享
0
联系我们:info@booksci.cn Book学术提供免费学术资源搜索服务,方便国内外学者检索中英文文献。致力于提供最便捷和优质的服务体验。 Copyright © 2023 布克学术 All rights reserved.
京ICP备2023020795号-1
ghs 京公网安备 11010802042870号
Book学术文献互助
Book学术文献互助群
群 号:604180095
Book学术官方微信