评估表观遗传年龄加速与多发性硬化之间的关系:一项双向孟德尔随机化研究。

IF 3.5 2区 生物学 Q1 GENETICS & HEREDITY
Hongwei Liu, Hanqing Zhang, Zhaoxu Yin, Miaomiao Hou
{"title":"评估表观遗传年龄加速与多发性硬化之间的关系:一项双向孟德尔随机化研究。","authors":"Hongwei Liu, Hanqing Zhang, Zhaoxu Yin, Miaomiao Hou","doi":"10.1186/s13072-025-00567-9","DOIUrl":null,"url":null,"abstract":"<p><strong>Background: </strong>The DNA methylation-based epigenetic clocks are increasingly recognized for their precision in predicting aging and its health implications. Although prior research has identified connections between accelerated epigenetic aging and multiple sclerosis, the chronological and causative aspects of these relationships are yet to be elucidated. Our research seeks to clarify these potential causal links through a bidirectional Mendelian randomization study.</p><p><strong>Methods: </strong>This analysis employed statistics approaches from genome-wide association studies related to various epigenetic clocks (GrimAge, HannumAge, PhenoAge, and HorvathAge) and multiple sclerosis, utilizing robust instrumental variables from the Edinburgh DataShare (n = 34,710) and the International Multiple Sclerosis Genetics Consortium (including 24,091 controls and 14,498 cases). We applied the inverse-variance weighted approach as our main method for Mendelian randomization, with additional sensitivity analyses to explore underlying heterogeneity and pleiotropy.</p><p><strong>Results: </strong>Using summary-based Mendelian randomization, we found that HannumAge was associated with multiple sclerosis (OR = 1.071, 95%CI:1.006-1.140, p = 0.033, by inverse-variance weighted). The results suggest that an increase in epigenetic age acceleration of HannumAge promotes the risk of multiple sclerosis. In reverse Mendelian randomization analysis, no evidence of a clear causal association of multiple sclerosis on epigenetic age acceleration was identified.</p><p><strong>Conclusions: </strong>Our Mendelian randomization analysis revealed that epigenetic age acceleration of HannumAge was causally associated with multiple sclerosis, and provided novel insights for further mechanistic and clinical studies of epigenetic age acceleration-mediated multiple sclerosis.</p>","PeriodicalId":49253,"journal":{"name":"Epigenetics & Chromatin","volume":"18 1","pages":"7"},"PeriodicalIF":3.5000,"publicationDate":"2025-01-30","publicationTypes":"Journal Article","fieldsOfStudy":null,"isOpenAccess":false,"openAccessPdf":"https://www.ncbi.nlm.nih.gov/pmc/articles/PMC11780769/pdf/","citationCount":"0","resultStr":"{\"title\":\"Assessment of relationships between epigenetic age acceleration and multiple sclerosis: a bidirectional mendelian randomization study.\",\"authors\":\"Hongwei Liu, Hanqing Zhang, Zhaoxu Yin, Miaomiao Hou\",\"doi\":\"10.1186/s13072-025-00567-9\",\"DOIUrl\":null,\"url\":null,\"abstract\":\"<p><strong>Background: </strong>The DNA methylation-based epigenetic clocks are increasingly recognized for their precision in predicting aging and its health implications. Although prior research has identified connections between accelerated epigenetic aging and multiple sclerosis, the chronological and causative aspects of these relationships are yet to be elucidated. Our research seeks to clarify these potential causal links through a bidirectional Mendelian randomization study.</p><p><strong>Methods: </strong>This analysis employed statistics approaches from genome-wide association studies related to various epigenetic clocks (GrimAge, HannumAge, PhenoAge, and HorvathAge) and multiple sclerosis, utilizing robust instrumental variables from the Edinburgh DataShare (n = 34,710) and the International Multiple Sclerosis Genetics Consortium (including 24,091 controls and 14,498 cases). We applied the inverse-variance weighted approach as our main method for Mendelian randomization, with additional sensitivity analyses to explore underlying heterogeneity and pleiotropy.</p><p><strong>Results: </strong>Using summary-based Mendelian randomization, we found that HannumAge was associated with multiple sclerosis (OR = 1.071, 95%CI:1.006-1.140, p = 0.033, by inverse-variance weighted). The results suggest that an increase in epigenetic age acceleration of HannumAge promotes the risk of multiple sclerosis. In reverse Mendelian randomization analysis, no evidence of a clear causal association of multiple sclerosis on epigenetic age acceleration was identified.</p><p><strong>Conclusions: </strong>Our Mendelian randomization analysis revealed that epigenetic age acceleration of HannumAge was causally associated with multiple sclerosis, and provided novel insights for further mechanistic and clinical studies of epigenetic age acceleration-mediated multiple sclerosis.</p>\",\"PeriodicalId\":49253,\"journal\":{\"name\":\"Epigenetics & Chromatin\",\"volume\":\"18 1\",\"pages\":\"7\"},\"PeriodicalIF\":3.5000,\"publicationDate\":\"2025-01-30\",\"publicationTypes\":\"Journal Article\",\"fieldsOfStudy\":null,\"isOpenAccess\":false,\"openAccessPdf\":\"https://www.ncbi.nlm.nih.gov/pmc/articles/PMC11780769/pdf/\",\"citationCount\":\"0\",\"resultStr\":null,\"platform\":\"Semanticscholar\",\"paperid\":null,\"PeriodicalName\":\"Epigenetics & Chromatin\",\"FirstCategoryId\":\"99\",\"ListUrlMain\":\"https://doi.org/10.1186/s13072-025-00567-9\",\"RegionNum\":2,\"RegionCategory\":\"生物学\",\"ArticlePicture\":[],\"TitleCN\":null,\"AbstractTextCN\":null,\"PMCID\":null,\"EPubDate\":\"\",\"PubModel\":\"\",\"JCR\":\"Q1\",\"JCRName\":\"GENETICS & HEREDITY\",\"Score\":null,\"Total\":0}","platform":"Semanticscholar","paperid":null,"PeriodicalName":"Epigenetics & Chromatin","FirstCategoryId":"99","ListUrlMain":"https://doi.org/10.1186/s13072-025-00567-9","RegionNum":2,"RegionCategory":"生物学","ArticlePicture":[],"TitleCN":null,"AbstractTextCN":null,"PMCID":null,"EPubDate":"","PubModel":"","JCR":"Q1","JCRName":"GENETICS & HEREDITY","Score":null,"Total":0}
引用次数: 0

摘要

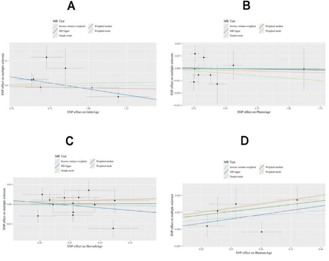
背景:基于DNA甲基化的表观遗传时钟在预测衰老及其健康意义方面的准确性越来越得到认可。虽然先前的研究已经确定了加速表观遗传衰老和多发性硬化症之间的联系,但这些关系的时间顺序和病因方面尚未得到阐明。我们的研究试图通过双向孟德尔随机化研究来澄清这些潜在的因果关系。方法:本分析采用了与各种表观遗传时钟(GrimAge, HannumAge, PhenoAge和HorvathAge)和多发性硬化症相关的全基因组关联研究的统计方法,利用来自爱丁堡数据共享(n = 34,710)和国际多发性硬化症遗传学联盟(包括24,091例对照和14,498例病例)的稳健工具变量。我们采用反方差加权方法作为孟德尔随机化的主要方法,并通过额外的敏感性分析来探索潜在的异质性和多效性。结果:采用基于摘要的孟德尔随机化方法,我们发现HannumAge与多发性硬化症相关(OR = 1.071, 95%CI:1.006-1.140, p = 0.033,反方差加权)。结果表明,表观遗传年龄加速的增加增加了多发性硬化症的风险。在反向孟德尔随机化分析中,没有证据表明多发性硬化症与表观遗传年龄加速有明确的因果关系。结论:我们的孟德尔随机化分析显示,表观遗传年龄加速与多发性硬化症有因果关系,为进一步研究表观遗传年龄加速介导的多发性硬化症的机制和临床研究提供了新的见解。
本文章由计算机程序翻译,如有差异,请以英文原文为准。

Assessment of relationships between epigenetic age acceleration and multiple sclerosis: a bidirectional mendelian randomization study.

Assessment of relationships between epigenetic age acceleration and multiple sclerosis: a bidirectional mendelian randomization study.

Assessment of relationships between epigenetic age acceleration and multiple sclerosis: a bidirectional mendelian randomization study.

Assessment of relationships between epigenetic age acceleration and multiple sclerosis: a bidirectional mendelian randomization study.

Background: The DNA methylation-based epigenetic clocks are increasingly recognized for their precision in predicting aging and its health implications. Although prior research has identified connections between accelerated epigenetic aging and multiple sclerosis, the chronological and causative aspects of these relationships are yet to be elucidated. Our research seeks to clarify these potential causal links through a bidirectional Mendelian randomization study.

Methods: This analysis employed statistics approaches from genome-wide association studies related to various epigenetic clocks (GrimAge, HannumAge, PhenoAge, and HorvathAge) and multiple sclerosis, utilizing robust instrumental variables from the Edinburgh DataShare (n = 34,710) and the International Multiple Sclerosis Genetics Consortium (including 24,091 controls and 14,498 cases). We applied the inverse-variance weighted approach as our main method for Mendelian randomization, with additional sensitivity analyses to explore underlying heterogeneity and pleiotropy.

Results: Using summary-based Mendelian randomization, we found that HannumAge was associated with multiple sclerosis (OR = 1.071, 95%CI:1.006-1.140, p = 0.033, by inverse-variance weighted). The results suggest that an increase in epigenetic age acceleration of HannumAge promotes the risk of multiple sclerosis. In reverse Mendelian randomization analysis, no evidence of a clear causal association of multiple sclerosis on epigenetic age acceleration was identified.

Conclusions: Our Mendelian randomization analysis revealed that epigenetic age acceleration of HannumAge was causally associated with multiple sclerosis, and provided novel insights for further mechanistic and clinical studies of epigenetic age acceleration-mediated multiple sclerosis.

求助全文
通过发布文献求助,成功后即可免费获取论文全文。 去求助
来源期刊
Epigenetics & Chromatin
Epigenetics & Chromatin GENETICS & HEREDITY-
CiteScore
7.00
自引率
0.00%
发文量
35
审稿时长
1 months
期刊介绍: Epigenetics & Chromatin is a peer-reviewed, open access, online journal that publishes research, and reviews, providing novel insights into epigenetic inheritance and chromatin-based interactions. The journal aims to understand how gene and chromosomal elements are regulated and their activities maintained during processes such as cell division, differentiation and environmental alteration.
×
引用
GB/T 7714-2015
复制
MLA
复制
APA
复制
导出至
BibTeX EndNote RefMan NoteFirst NoteExpress
×
提示
您的信息不完整,为了账户安全,请先补充。
现在去补充
×
提示
您因"违规操作"
具体请查看互助需知
我知道了
×
提示
确定
请完成安全验证×
copy
已复制链接
快去分享给好友吧!
我知道了
右上角分享
点击右上角分享
0
联系我们:info@booksci.cn Book学术提供免费学术资源搜索服务,方便国内外学者检索中英文文献。致力于提供最便捷和优质的服务体验。 Copyright © 2023 布克学术 All rights reserved.
京ICP备2023020795号-1
ghs 京公网安备 11010802042870号
Book学术文献互助
Book学术文献互助群
群 号:604180095
Book学术官方微信