依维莫司在激素受体阳性和人表皮生长因子受体2阴性晚期乳腺癌患者中的非腔内疾病评分:一项多中心回顾性研究

IF 3.4 4区 医学 Q2 ONCOLOGY
Breast Cancer : Targets and Therapy Pub Date : 2025-01-24 eCollection Date: 2025-01-01 DOI:10.2147/BCTT.S493053
Yujing Tan, Hanfang Jiang, Xinzhu Tian, Fei Ma, Jiayu Wang, Pin Zhang, Binghe Xu, Ying Fan, Weihong Zhao
{"title":"依维莫司在激素受体阳性和人表皮生长因子受体2阴性晚期乳腺癌患者中的非腔内疾病评分:一项多中心回顾性研究","authors":"Yujing Tan, Hanfang Jiang, Xinzhu Tian, Fei Ma, Jiayu Wang, Pin Zhang, Binghe Xu, Ying Fan, Weihong Zhao","doi":"10.2147/BCTT.S493053","DOIUrl":null,"url":null,"abstract":"<p><strong>Purpose: </strong>This study aims to explore the role of the non-luminal disease score (NOLUS) for everolimus in patients with hormone receptor-positive and human epidermal growth factor receptor 2-negative (HR+/HER2-) advanced breast cancer (ABC).</p><p><strong>Methods: </strong>NOLUS has previously been established as an algorithm: NOLUS (0-100) = - 0.45 × ER(%) - 0.28 × PR(%) + 0.27 × Ki67(%) + 73. Information of cancer patients was retrospectively collected from three cancer centers in China.</p><p><strong>Results: </strong>Totally, 198 HR+/HER2- ABC patients with complete records in expression rates (%) of ER, PR and Ki67 were enrolled in the study. The expression rates (%) of ER, PR, and Ki67 were 38.8 ± 27.9 <i>versus</i> 80.9 ± 14.2 (p < 0.001), 13.9 ± 14.3 <i>versus</i> 50.2 ± 30.4 (p < 0.001), and 37.8 ± 23.6 <i>versus</i> 28.7 ± 19.9 (p = 0.04), respectively, for NOLUS-positive patients and NOLUS-negative patients. For the overall population, the median PFS was 5.8 months <i>versus</i> 5.1 months in NOLUS-positive and NOLUS-negative patients (p = 0.16, HR = 0.75, 95% CI = 0.50, 1.12). The median 1L-, 2L, and 3L-PFS was 13.9 months <i>versus</i> 11.8 months (p = 0.22, HR = 1.63, 95% CI = 0.74, 3.62), 6.7 months <i>versus</i> 3.6 months (p = 0.08, HR = 0.34, 95% CI = 0.10, 1.18), and 4.6 months <i>versus</i> 4.0 months (p = 0.81, HR = 1.07, 95% CI = 0.63, 1.79) respectively, for NOLUS-positive patients and NOLUS-negative patients.</p><p><strong>Conclusion: </strong>NOLUS-positive patients have a lower percentage of ER and PR, but a higher percentage of Ki67 index. The correlation between the benefits of everolimus and NOLUS failed to develop significance, suggesting that NOLUS may not be applicable in predicting everolimus efficacy in patients with HR+/HER2- ABC. Further research is expected.</p>","PeriodicalId":9106,"journal":{"name":"Breast Cancer : Targets and Therapy","volume":"17 ","pages":"67-78"},"PeriodicalIF":3.4000,"publicationDate":"2025-01-24","publicationTypes":"Journal Article","fieldsOfStudy":null,"isOpenAccess":false,"openAccessPdf":"https://www.ncbi.nlm.nih.gov/pmc/articles/PMC11774108/pdf/","citationCount":"0","resultStr":"{\"title\":\"Non-Luminal Disease Score for Everolimus in Patients with Hormone Receptor‑positive and Human Epidermal Growth Factor Receptor 2-Negative Advanced Breast Cancer: A Multicenter and Retrospective Study.\",\"authors\":\"Yujing Tan, Hanfang Jiang, Xinzhu Tian, Fei Ma, Jiayu Wang, Pin Zhang, Binghe Xu, Ying Fan, Weihong Zhao\",\"doi\":\"10.2147/BCTT.S493053\",\"DOIUrl\":null,\"url\":null,\"abstract\":\"<p><strong>Purpose: </strong>This study aims to explore the role of the non-luminal disease score (NOLUS) for everolimus in patients with hormone receptor-positive and human epidermal growth factor receptor 2-negative (HR+/HER2-) advanced breast cancer (ABC).</p><p><strong>Methods: </strong>NOLUS has previously been established as an algorithm: NOLUS (0-100) = - 0.45 × ER(%) - 0.28 × PR(%) + 0.27 × Ki67(%) + 73. Information of cancer patients was retrospectively collected from three cancer centers in China.</p><p><strong>Results: </strong>Totally, 198 HR+/HER2- ABC patients with complete records in expression rates (%) of ER, PR and Ki67 were enrolled in the study. The expression rates (%) of ER, PR, and Ki67 were 38.8 ± 27.9 <i>versus</i> 80.9 ± 14.2 (p < 0.001), 13.9 ± 14.3 <i>versus</i> 50.2 ± 30.4 (p < 0.001), and 37.8 ± 23.6 <i>versus</i> 28.7 ± 19.9 (p = 0.04), respectively, for NOLUS-positive patients and NOLUS-negative patients. For the overall population, the median PFS was 5.8 months <i>versus</i> 5.1 months in NOLUS-positive and NOLUS-negative patients (p = 0.16, HR = 0.75, 95% CI = 0.50, 1.12). The median 1L-, 2L, and 3L-PFS was 13.9 months <i>versus</i> 11.8 months (p = 0.22, HR = 1.63, 95% CI = 0.74, 3.62), 6.7 months <i>versus</i> 3.6 months (p = 0.08, HR = 0.34, 95% CI = 0.10, 1.18), and 4.6 months <i>versus</i> 4.0 months (p = 0.81, HR = 1.07, 95% CI = 0.63, 1.79) respectively, for NOLUS-positive patients and NOLUS-negative patients.</p><p><strong>Conclusion: </strong>NOLUS-positive patients have a lower percentage of ER and PR, but a higher percentage of Ki67 index. The correlation between the benefits of everolimus and NOLUS failed to develop significance, suggesting that NOLUS may not be applicable in predicting everolimus efficacy in patients with HR+/HER2- ABC. Further research is expected.</p>\",\"PeriodicalId\":9106,\"journal\":{\"name\":\"Breast Cancer : Targets and Therapy\",\"volume\":\"17 \",\"pages\":\"67-78\"},\"PeriodicalIF\":3.4000,\"publicationDate\":\"2025-01-24\",\"publicationTypes\":\"Journal Article\",\"fieldsOfStudy\":null,\"isOpenAccess\":false,\"openAccessPdf\":\"https://www.ncbi.nlm.nih.gov/pmc/articles/PMC11774108/pdf/\",\"citationCount\":\"0\",\"resultStr\":null,\"platform\":\"Semanticscholar\",\"paperid\":null,\"PeriodicalName\":\"Breast Cancer : Targets and Therapy\",\"FirstCategoryId\":\"3\",\"ListUrlMain\":\"https://doi.org/10.2147/BCTT.S493053\",\"RegionNum\":4,\"RegionCategory\":\"医学\",\"ArticlePicture\":[],\"TitleCN\":null,\"AbstractTextCN\":null,\"PMCID\":null,\"EPubDate\":\"2025/1/1 0:00:00\",\"PubModel\":\"eCollection\",\"JCR\":\"Q2\",\"JCRName\":\"ONCOLOGY\",\"Score\":null,\"Total\":0}","platform":"Semanticscholar","paperid":null,"PeriodicalName":"Breast Cancer : Targets and Therapy","FirstCategoryId":"3","ListUrlMain":"https://doi.org/10.2147/BCTT.S493053","RegionNum":4,"RegionCategory":"医学","ArticlePicture":[],"TitleCN":null,"AbstractTextCN":null,"PMCID":null,"EPubDate":"2025/1/1 0:00:00","PubModel":"eCollection","JCR":"Q2","JCRName":"ONCOLOGY","Score":null,"Total":0}
引用次数: 0

摘要

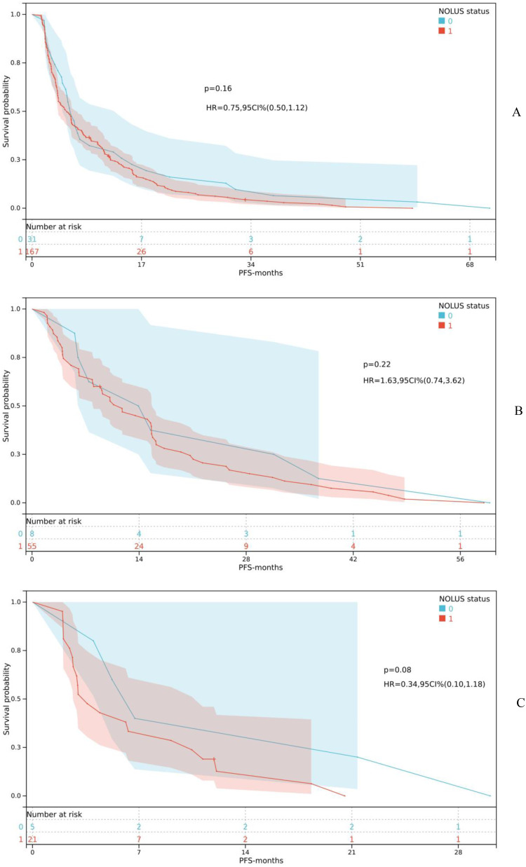
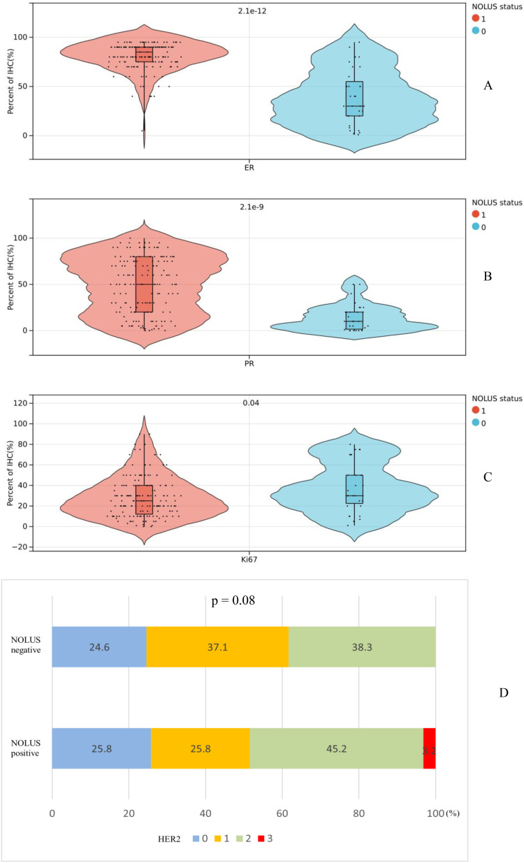
目的:本研究旨在探讨依维莫司非腔内疾病评分(NOLUS)在激素受体阳性和人表皮生长因子受体2阴性(HR+/HER2-)晚期乳腺癌(ABC)患者中的作用。方法:NOLUS算法:NOLUS (0-100) = - 0.45 × ER(%) - 0.28 × PR(%) + 0.27 × Ki67(%) + 73。回顾性收集中国三家癌症中心的癌症患者资料。结果:共纳入198例HR+/HER2- ABC患者,均有完整的ER、PR和Ki67表达率(%)记录。在nolus阳性和nolus阴性患者中,ER、PR和Ki67的表达率(%)分别为38.8±27.9比80.9±14.2 (p < 0.001)、13.9±14.3比50.2±30.4 (p < 0.001)、37.8±23.6比28.7±19.9 (p = 0.04)。总体而言,nolus阳性和nolus阴性患者的中位PFS为5.8个月,而nolus阳性和nolus阴性患者的中位PFS为5.1个月(p = 0.16, HR = 0.75, 95% CI = 0.50, 1.12)。nolus阳性患者和nolus阴性患者的中位1L、2L和3L-PFS分别为13.9个月对11.8个月(p = 0.22, HR = 1.63, 95% CI = 0.74, 3.62), 6.7个月对3.6个月(p = 0.08, HR = 0.34, 95% CI = 0.10, 1.18), 4.6个月对4.0个月(p = 0.81, HR = 1.07, 95% CI = 0.63, 1.79)。结论:nolus阳性患者ER和PR百分比较低,但Ki67指数百分比较高。依维莫司的获益与NOLUS之间的相关性没有发展出显著性,提示NOLUS可能不适用于预测依维莫司对HR+/HER2- ABC患者的疗效。期望进一步的研究。
本文章由计算机程序翻译,如有差异,请以英文原文为准。

Non-Luminal Disease Score for Everolimus in Patients with Hormone Receptor‑positive and Human Epidermal Growth Factor Receptor 2-Negative Advanced Breast Cancer: A Multicenter and Retrospective Study.

Non-Luminal Disease Score for Everolimus in Patients with Hormone Receptor‑positive and Human Epidermal Growth Factor Receptor 2-Negative Advanced Breast Cancer: A Multicenter and Retrospective Study.

Non-Luminal Disease Score for Everolimus in Patients with Hormone Receptor‑positive and Human Epidermal Growth Factor Receptor 2-Negative Advanced Breast Cancer: A Multicenter and Retrospective Study.

Non-Luminal Disease Score for Everolimus in Patients with Hormone Receptor‑positive and Human Epidermal Growth Factor Receptor 2-Negative Advanced Breast Cancer: A Multicenter and Retrospective Study.

Purpose: This study aims to explore the role of the non-luminal disease score (NOLUS) for everolimus in patients with hormone receptor-positive and human epidermal growth factor receptor 2-negative (HR+/HER2-) advanced breast cancer (ABC).

Methods: NOLUS has previously been established as an algorithm: NOLUS (0-100) = - 0.45 × ER(%) - 0.28 × PR(%) + 0.27 × Ki67(%) + 73. Information of cancer patients was retrospectively collected from three cancer centers in China.

Results: Totally, 198 HR+/HER2- ABC patients with complete records in expression rates (%) of ER, PR and Ki67 were enrolled in the study. The expression rates (%) of ER, PR, and Ki67 were 38.8 ± 27.9 versus 80.9 ± 14.2 (p < 0.001), 13.9 ± 14.3 versus 50.2 ± 30.4 (p < 0.001), and 37.8 ± 23.6 versus 28.7 ± 19.9 (p = 0.04), respectively, for NOLUS-positive patients and NOLUS-negative patients. For the overall population, the median PFS was 5.8 months versus 5.1 months in NOLUS-positive and NOLUS-negative patients (p = 0.16, HR = 0.75, 95% CI = 0.50, 1.12). The median 1L-, 2L, and 3L-PFS was 13.9 months versus 11.8 months (p = 0.22, HR = 1.63, 95% CI = 0.74, 3.62), 6.7 months versus 3.6 months (p = 0.08, HR = 0.34, 95% CI = 0.10, 1.18), and 4.6 months versus 4.0 months (p = 0.81, HR = 1.07, 95% CI = 0.63, 1.79) respectively, for NOLUS-positive patients and NOLUS-negative patients.

Conclusion: NOLUS-positive patients have a lower percentage of ER and PR, but a higher percentage of Ki67 index. The correlation between the benefits of everolimus and NOLUS failed to develop significance, suggesting that NOLUS may not be applicable in predicting everolimus efficacy in patients with HR+/HER2- ABC. Further research is expected.

求助全文
通过发布文献求助,成功后即可免费获取论文全文。 去求助
来源期刊
CiteScore
4.10
自引率
0.00%
发文量
40
审稿时长
16 weeks
×
引用
GB/T 7714-2015
复制
MLA
复制
APA
复制
导出至
BibTeX EndNote RefMan NoteFirst NoteExpress
×
提示
您的信息不完整,为了账户安全,请先补充。
现在去补充
×
提示
您因"违规操作"
具体请查看互助需知
我知道了
×
提示
确定
请完成安全验证×
copy
已复制链接
快去分享给好友吧!
我知道了
右上角分享
点击右上角分享
0
联系我们:info@booksci.cn Book学术提供免费学术资源搜索服务,方便国内外学者检索中英文文献。致力于提供最便捷和优质的服务体验。 Copyright © 2023 布克学术 All rights reserved.
京ICP备2023020795号-1
ghs 京公网安备 11010802042870号
Book学术文献互助
Book学术文献互助群
群 号:604180095
Book学术官方微信