人上皮蛋白SLURP-2的肽模拟环II增强皮肤角质形成细胞的活力和迁移。

IF 2 4区 生物学 Q4 CELL BIOLOGY
O V Shlepova, T Ya Gornostaeva, I D Kukushkin, V N Azev, M L Bychkov, Z O Shenkarev, M P Kirpichnikov, E N Lyukmanova
{"title":"人上皮蛋白SLURP-2的肽模拟环II增强皮肤角质形成细胞的活力和迁移。","authors":"O V Shlepova, T Ya Gornostaeva, I D Kukushkin, V N Azev, M L Bychkov, Z O Shenkarev, M P Kirpichnikov, E N Lyukmanova","doi":"10.32607/actanaturae.27494","DOIUrl":null,"url":null,"abstract":"<p><p>The secreted human protein SLURP-2 is a regulator of epithelial homeostasis, which enhances the viability and migration of keratinocytes. The targets of SLURP-2 in keratinocytes are nicotinic and muscarinic acetylcholine receptors. This work is devoted to the search for the SLURP-2 functional regions responsible for enhancing keratinocyte viability and migration. We produced synthetic peptides corresponding to the SLURP-2 loop regions and studied their effect on the viability and migration of HaCaT skin keratinocytes using the WST-8 test and scratch-test, respectively. The highest activity was exhibited by a loop II-mimicking peptide that enhanced the viability of keratinocytes and stimulated their migration. The peptide activity was mediated by interactions with α7- and α3β2-nAChRs and suppression of the p38 MAPK intracellular signaling pathway. Thus, we obtained new data that explain the mechanisms underlying SLURP-2 regulatory activity and indicate the promise of further research into loop II-mimicking peptides as prototypes of wound healing drugs.</p>","PeriodicalId":6989,"journal":{"name":"Acta Naturae","volume":"16 4","pages":"86-94"},"PeriodicalIF":2.0000,"publicationDate":"2024-10-01","publicationTypes":"Journal Article","fieldsOfStudy":null,"isOpenAccess":false,"openAccessPdf":"https://www.ncbi.nlm.nih.gov/pmc/articles/PMC11771840/pdf/","citationCount":"0","resultStr":"{\"title\":\"Peptide Mimicking Loop II of the Human Epithelial Protein SLURP-2 Enhances the Viability and Migration of Skin Keratinocytes.\",\"authors\":\"O V Shlepova, T Ya Gornostaeva, I D Kukushkin, V N Azev, M L Bychkov, Z O Shenkarev, M P Kirpichnikov, E N Lyukmanova\",\"doi\":\"10.32607/actanaturae.27494\",\"DOIUrl\":null,\"url\":null,\"abstract\":\"<p><p>The secreted human protein SLURP-2 is a regulator of epithelial homeostasis, which enhances the viability and migration of keratinocytes. The targets of SLURP-2 in keratinocytes are nicotinic and muscarinic acetylcholine receptors. This work is devoted to the search for the SLURP-2 functional regions responsible for enhancing keratinocyte viability and migration. We produced synthetic peptides corresponding to the SLURP-2 loop regions and studied their effect on the viability and migration of HaCaT skin keratinocytes using the WST-8 test and scratch-test, respectively. The highest activity was exhibited by a loop II-mimicking peptide that enhanced the viability of keratinocytes and stimulated their migration. The peptide activity was mediated by interactions with α7- and α3β2-nAChRs and suppression of the p38 MAPK intracellular signaling pathway. Thus, we obtained new data that explain the mechanisms underlying SLURP-2 regulatory activity and indicate the promise of further research into loop II-mimicking peptides as prototypes of wound healing drugs.</p>\",\"PeriodicalId\":6989,\"journal\":{\"name\":\"Acta Naturae\",\"volume\":\"16 4\",\"pages\":\"86-94\"},\"PeriodicalIF\":2.0000,\"publicationDate\":\"2024-10-01\",\"publicationTypes\":\"Journal Article\",\"fieldsOfStudy\":null,\"isOpenAccess\":false,\"openAccessPdf\":\"https://www.ncbi.nlm.nih.gov/pmc/articles/PMC11771840/pdf/\",\"citationCount\":\"0\",\"resultStr\":null,\"platform\":\"Semanticscholar\",\"paperid\":null,\"PeriodicalName\":\"Acta Naturae\",\"FirstCategoryId\":\"99\",\"ListUrlMain\":\"https://doi.org/10.32607/actanaturae.27494\",\"RegionNum\":4,\"RegionCategory\":\"生物学\",\"ArticlePicture\":[],\"TitleCN\":null,\"AbstractTextCN\":null,\"PMCID\":null,\"EPubDate\":\"\",\"PubModel\":\"\",\"JCR\":\"Q4\",\"JCRName\":\"CELL BIOLOGY\",\"Score\":null,\"Total\":0}","platform":"Semanticscholar","paperid":null,"PeriodicalName":"Acta Naturae","FirstCategoryId":"99","ListUrlMain":"https://doi.org/10.32607/actanaturae.27494","RegionNum":4,"RegionCategory":"生物学","ArticlePicture":[],"TitleCN":null,"AbstractTextCN":null,"PMCID":null,"EPubDate":"","PubModel":"","JCR":"Q4","JCRName":"CELL BIOLOGY","Score":null,"Total":0}
引用次数: 0

摘要

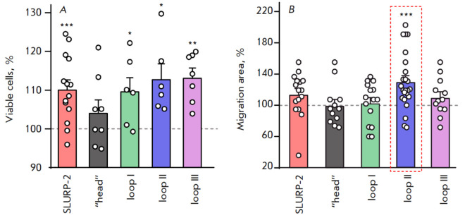
分泌的人蛋白SLURP-2是上皮稳态的调节剂,可增强角质形成细胞的活力和迁移。SLURP-2在角化细胞中的靶点是烟碱和毒蕈碱乙酰胆碱受体。这项工作致力于寻找负责增强角质细胞活力和迁移的SLURP-2功能区。我们合成了与SLURP-2环区对应的肽,并分别使用WST-8试验和划痕试验研究了它们对HaCaT皮肤角质形成细胞的活性和迁移的影响。一种环ii型模拟肽显示出最高的活性,它能增强角质形成细胞的活力并刺激其迁移。肽活性是通过与α7-和α3β2- nachr相互作用以及抑制p38 MAPK细胞内信号通路介导的。因此,我们获得了新的数据,解释了SLURP-2调控活性的机制,并表明了进一步研究模拟环ii肽作为伤口愈合药物原型的前景。
本文章由计算机程序翻译,如有差异,请以英文原文为准。

Peptide Mimicking Loop II of the Human Epithelial Protein SLURP-2 Enhances the Viability and Migration of Skin Keratinocytes.

Peptide Mimicking Loop II of the Human Epithelial Protein SLURP-2 Enhances the Viability and Migration of Skin Keratinocytes.

Peptide Mimicking Loop II of the Human Epithelial Protein SLURP-2 Enhances the Viability and Migration of Skin Keratinocytes.

Peptide Mimicking Loop II of the Human Epithelial Protein SLURP-2 Enhances the Viability and Migration of Skin Keratinocytes.

The secreted human protein SLURP-2 is a regulator of epithelial homeostasis, which enhances the viability and migration of keratinocytes. The targets of SLURP-2 in keratinocytes are nicotinic and muscarinic acetylcholine receptors. This work is devoted to the search for the SLURP-2 functional regions responsible for enhancing keratinocyte viability and migration. We produced synthetic peptides corresponding to the SLURP-2 loop regions and studied their effect on the viability and migration of HaCaT skin keratinocytes using the WST-8 test and scratch-test, respectively. The highest activity was exhibited by a loop II-mimicking peptide that enhanced the viability of keratinocytes and stimulated their migration. The peptide activity was mediated by interactions with α7- and α3β2-nAChRs and suppression of the p38 MAPK intracellular signaling pathway. Thus, we obtained new data that explain the mechanisms underlying SLURP-2 regulatory activity and indicate the promise of further research into loop II-mimicking peptides as prototypes of wound healing drugs.

求助全文
通过发布文献求助,成功后即可免费获取论文全文。 去求助
来源期刊
Acta Naturae
Acta Naturae 农林科学-林学
CiteScore
3.50
自引率
5.00%
发文量
0
审稿时长
>12 weeks
期刊介绍: Acta Naturae is an international journal on life sciences based in Moscow, Russia. Our goal is to present scientific work and discovery in molecular biology, biochemistry, biomedical disciplines and biotechnology. These fields represent the most important priorities for the research and engineering development both in Russia and worldwide. Acta Naturae is also a periodical for those who are curious in various aspects of biotechnological business, innovations in pharmaceutical areas, intellectual property protection and social consequences of scientific progress. The journal publishes analytical industrial surveys focused on the development of different spheres of modern life science and technology. Being a radically new and totally unique journal in Russia, Acta Naturae is useful to both representatives of fundamental research and experts in applied sciences.
×
引用
GB/T 7714-2015
复制
MLA
复制
APA
复制
导出至
BibTeX EndNote RefMan NoteFirst NoteExpress
×
提示
您的信息不完整,为了账户安全,请先补充。
现在去补充
×
提示
您因"违规操作"
具体请查看互助需知
我知道了
×
提示
确定
请完成安全验证×
copy
已复制链接
快去分享给好友吧!
我知道了
右上角分享
点击右上角分享
0
联系我们:info@booksci.cn Book学术提供免费学术资源搜索服务,方便国内外学者检索中英文文献。致力于提供最便捷和优质的服务体验。 Copyright © 2023 布克学术 All rights reserved.
京ICP备2023020795号-1
ghs 京公网安备 11010802042870号
Book学术文献互助
Book学术文献互助群
群 号:604180095
Book学术官方微信