儿童肾病综合征的MicroRNA表达及靶标预测。

IF 0.8 Q4 UROLOGY & NEPHROLOGY
Indian Journal of Nephrology Pub Date : 2025-01-01 Epub Date: 2024-06-17 DOI:10.25259/ijn_47_23
Pricilla Charmine, Vettriselvi Venkatesan, Sangeetha Geminiganesan, Bollam Rangaswamy Nammalwar, Mohanapriya Chinambedu Dandapani
{"title":"儿童肾病综合征的MicroRNA表达及靶标预测。","authors":"Pricilla Charmine, Vettriselvi Venkatesan, Sangeetha Geminiganesan, Bollam Rangaswamy Nammalwar, Mohanapriya Chinambedu Dandapani","doi":"10.25259/ijn_47_23","DOIUrl":null,"url":null,"abstract":"<p><strong>Background: </strong>Nephrotic syndrome is a common cause of kidney diseases in children. Many studies have examined the association of microRNAs playing potential roles in many pathophysiological functions. We investigated the expression pattern of the microRNAs miR-17-5P, miR-155p, miR-424-5p in children with steroid sensitive nephrotic syndrome (SSNS) and steroid resistance nephrotic syndrome (SRNS), along with the healthy subjects.</p><p><strong>Materials and methods: </strong>Total RNA was isolated from the urine samples from the three groups (SSNS n = 100, SRNS n = 100, and healthy control group n = 100). Bioinformatics tools such as miRWalk and miR-Tar link were used in predicting targets for the microRNAs. Online database and g profiler software are used to evaluate the targets based on the biological functions. The expression pattern for the candidate microRNAs was carried out using quantitative real time polymerase chain reaction (RT-PCR) equipment.</p><p><strong>Results: </strong>miR-424 and miR-155 were upregulated in SRNS group while miR-17 was downregulated in SRNS group. miR-424-5p and miR-155p was up regulated in SRNS group while miR-17-5p was downregulated.</p><p><strong>Conclusion: </strong>Combined analysis of gene expression along with studied candidate microRNAs can give better understanding of the pathogenesis of childhood nephrotic syndrome.</p>","PeriodicalId":13359,"journal":{"name":"Indian Journal of Nephrology","volume":"35 1","pages":"59-63"},"PeriodicalIF":0.8000,"publicationDate":"2025-01-01","publicationTypes":"Journal Article","fieldsOfStudy":null,"isOpenAccess":false,"openAccessPdf":"https://www.ncbi.nlm.nih.gov/pmc/articles/PMC11763170/pdf/","citationCount":"0","resultStr":"{\"title\":\"MicroRNA Expression and Target Prediction in Children with Nephrotic Syndrome.\",\"authors\":\"Pricilla Charmine, Vettriselvi Venkatesan, Sangeetha Geminiganesan, Bollam Rangaswamy Nammalwar, Mohanapriya Chinambedu Dandapani\",\"doi\":\"10.25259/ijn_47_23\",\"DOIUrl\":null,\"url\":null,\"abstract\":\"<p><strong>Background: </strong>Nephrotic syndrome is a common cause of kidney diseases in children. Many studies have examined the association of microRNAs playing potential roles in many pathophysiological functions. We investigated the expression pattern of the microRNAs miR-17-5P, miR-155p, miR-424-5p in children with steroid sensitive nephrotic syndrome (SSNS) and steroid resistance nephrotic syndrome (SRNS), along with the healthy subjects.</p><p><strong>Materials and methods: </strong>Total RNA was isolated from the urine samples from the three groups (SSNS n = 100, SRNS n = 100, and healthy control group n = 100). Bioinformatics tools such as miRWalk and miR-Tar link were used in predicting targets for the microRNAs. Online database and g profiler software are used to evaluate the targets based on the biological functions. The expression pattern for the candidate microRNAs was carried out using quantitative real time polymerase chain reaction (RT-PCR) equipment.</p><p><strong>Results: </strong>miR-424 and miR-155 were upregulated in SRNS group while miR-17 was downregulated in SRNS group. miR-424-5p and miR-155p was up regulated in SRNS group while miR-17-5p was downregulated.</p><p><strong>Conclusion: </strong>Combined analysis of gene expression along with studied candidate microRNAs can give better understanding of the pathogenesis of childhood nephrotic syndrome.</p>\",\"PeriodicalId\":13359,\"journal\":{\"name\":\"Indian Journal of Nephrology\",\"volume\":\"35 1\",\"pages\":\"59-63\"},\"PeriodicalIF\":0.8000,\"publicationDate\":\"2025-01-01\",\"publicationTypes\":\"Journal Article\",\"fieldsOfStudy\":null,\"isOpenAccess\":false,\"openAccessPdf\":\"https://www.ncbi.nlm.nih.gov/pmc/articles/PMC11763170/pdf/\",\"citationCount\":\"0\",\"resultStr\":null,\"platform\":\"Semanticscholar\",\"paperid\":null,\"PeriodicalName\":\"Indian Journal of Nephrology\",\"FirstCategoryId\":\"1085\",\"ListUrlMain\":\"https://doi.org/10.25259/ijn_47_23\",\"RegionNum\":0,\"RegionCategory\":null,\"ArticlePicture\":[],\"TitleCN\":null,\"AbstractTextCN\":null,\"PMCID\":null,\"EPubDate\":\"2024/6/17 0:00:00\",\"PubModel\":\"Epub\",\"JCR\":\"Q4\",\"JCRName\":\"UROLOGY & NEPHROLOGY\",\"Score\":null,\"Total\":0}","platform":"Semanticscholar","paperid":null,"PeriodicalName":"Indian Journal of Nephrology","FirstCategoryId":"1085","ListUrlMain":"https://doi.org/10.25259/ijn_47_23","RegionNum":0,"RegionCategory":null,"ArticlePicture":[],"TitleCN":null,"AbstractTextCN":null,"PMCID":null,"EPubDate":"2024/6/17 0:00:00","PubModel":"Epub","JCR":"Q4","JCRName":"UROLOGY & NEPHROLOGY","Score":null,"Total":0}
引用次数: 0

摘要

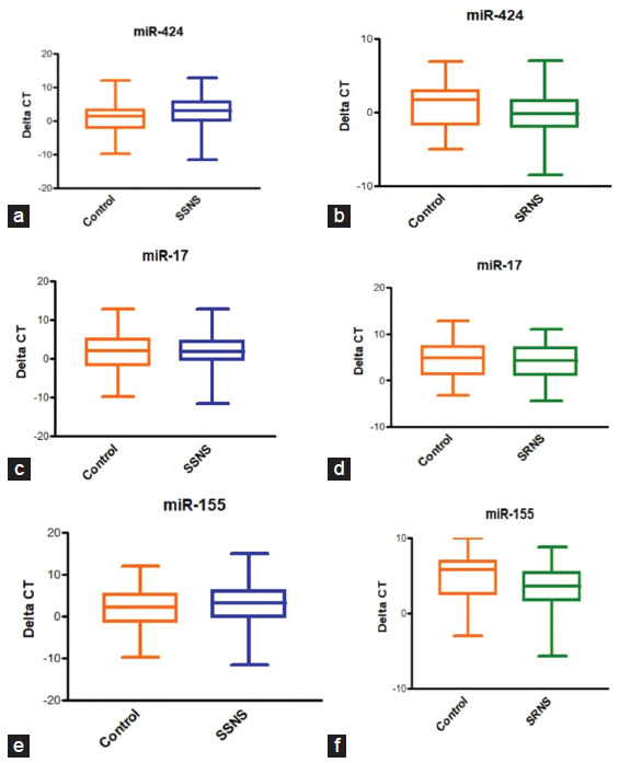
背景:肾病综合征是儿童肾脏疾病的常见病因。许多研究已经检查了在许多病理生理功能中发挥潜在作用的microrna的关联。我们研究了miR-17-5P, miR-155p, miR-424-5p在类固醇敏感性肾病综合征(SSNS)和类固醇抵抗性肾病综合征(SRNS)儿童以及健康受试者中的表达模式。材料和方法:从三组(SSNS n = 100, SRNS n = 100,健康对照组n = 100)的尿液样本中分离总RNA。生物信息学工具如miRWalk和miR-Tar link用于预测microrna的靶标。利用在线数据库和gprofiler软件对靶标进行生物功能评价。候选microrna的表达模式采用实时定量聚合酶链反应(RT-PCR)设备进行。结果:miR-424和miR-155在SRNS组中上调,miR-17在SRNS组中下调。SRNS组miR-424-5p、miR-155p上调,miR-17-5p下调。结论:将基因表达与已研究的候选microrna结合分析,可以更好地了解儿童肾病综合征的发病机制。
本文章由计算机程序翻译,如有差异,请以英文原文为准。

MicroRNA Expression and Target Prediction in Children with Nephrotic Syndrome.

MicroRNA Expression and Target Prediction in Children with Nephrotic Syndrome.

MicroRNA Expression and Target Prediction in Children with Nephrotic Syndrome.

MicroRNA Expression and Target Prediction in Children with Nephrotic Syndrome.

Background: Nephrotic syndrome is a common cause of kidney diseases in children. Many studies have examined the association of microRNAs playing potential roles in many pathophysiological functions. We investigated the expression pattern of the microRNAs miR-17-5P, miR-155p, miR-424-5p in children with steroid sensitive nephrotic syndrome (SSNS) and steroid resistance nephrotic syndrome (SRNS), along with the healthy subjects.

Materials and methods: Total RNA was isolated from the urine samples from the three groups (SSNS n = 100, SRNS n = 100, and healthy control group n = 100). Bioinformatics tools such as miRWalk and miR-Tar link were used in predicting targets for the microRNAs. Online database and g profiler software are used to evaluate the targets based on the biological functions. The expression pattern for the candidate microRNAs was carried out using quantitative real time polymerase chain reaction (RT-PCR) equipment.

Results: miR-424 and miR-155 were upregulated in SRNS group while miR-17 was downregulated in SRNS group. miR-424-5p and miR-155p was up regulated in SRNS group while miR-17-5p was downregulated.

Conclusion: Combined analysis of gene expression along with studied candidate microRNAs can give better understanding of the pathogenesis of childhood nephrotic syndrome.

求助全文
通过发布文献求助,成功后即可免费获取论文全文。 去求助
来源期刊
Indian Journal of Nephrology
Indian Journal of Nephrology UROLOGY & NEPHROLOGY-
CiteScore
1.40
自引率
0.00%
发文量
128
审稿时长
24 weeks
×
引用
GB/T 7714-2015
复制
MLA
复制
APA
复制
导出至
BibTeX EndNote RefMan NoteFirst NoteExpress
×
提示
您的信息不完整,为了账户安全,请先补充。
现在去补充
×
提示
您因"违规操作"
具体请查看互助需知
我知道了
×
提示
确定
请完成安全验证×
copy
已复制链接
快去分享给好友吧!
我知道了
右上角分享
点击右上角分享
0
联系我们:info@booksci.cn Book学术提供免费学术资源搜索服务,方便国内外学者检索中英文文献。致力于提供最便捷和优质的服务体验。 Copyright © 2023 布克学术 All rights reserved.
京ICP备2023020795号-1
ghs 京公网安备 11010802042870号
Book学术文献互助
Book学术文献互助群
群 号:604180095
Book学术官方微信