高分辨率外周定量计算机断层扫描预测瑞典老年妇女髋部骨折。

IF 5.9 1区 医学 Q1 ENDOCRINOLOGY & METABOLISM
Raju Jaiswal, Aldina Pivodic, Michail Zoulakis, Kristian F Axelsson, Henrik Litsne, Lisa Johansson, Mattias Lorentzon
{"title":"高分辨率外周定量计算机断层扫描预测瑞典老年妇女髋部骨折。","authors":"Raju Jaiswal, Aldina Pivodic, Michail Zoulakis, Kristian F Axelsson, Henrik Litsne, Lisa Johansson, Mattias Lorentzon","doi":"10.1093/jbmr/zjaf020","DOIUrl":null,"url":null,"abstract":"<p><p>The socioeconomic burden of hip fractures, the most severe osteoporotic fracture outcome, is increasing and the current clinical risk assessment lacks sensitivity. This study aimed to develop a method for improved prediction of hip fracture by incorporating measurements of bone microstructure and composition derived from HR-pQCT. In a prospective cohort study of 3028 community-dwelling women aged 75-80, all participants answered questionnaires and underwent baseline examinations of anthropometrics and bone by DXA and HR-pQCT. Medical records, a regional x-ray archive, and registers were used to identify incident fractures and death. Prediction models for hip, major osteoporotic fracture (MOF), and any fracture were developed using Cox proportional hazards regression and machine learning algorithms (neural network, random forest, ensemble, and Extreme Gradient Boosting). In the 2856 (94.3%) women with complete HR-pQCT data at 2 tibia sites (distal and ultra-distal), the median follow-up period was 8.0 yr, and 217 hip, 746 MOF, and 1008 any type of incident fracture occurred. In Cox regression models adjusted for age, BMI, clinical risk factors (CRFs), and FN BMD, the strongest predictors of hip fracture were tibia total volumetric BMD and cortical thickness. The performance of the Cox regression-based prediction models for hip fracture was significantly improved by HR-pQCT (time-dependent AUC; area under receiver operating characteristic curve at 5 yr of follow-up 0.75 [0.64-0.85]), compared to a reference model including CRFs and FN BMD (AUC = 0.71 [0.58-0.81], p < .001) and a Fracture Risk Assessment Tool risk score model (AUC = 0.70 [0.60-0.80], p < .001). The Cox regression model for hip fracture had a significantly higher accuracy than the neural network-based model, the best-performing machine learning algorithm, at clinically relevant sensitivity levels. We conclude that the addition of HR-pQCT parameters improves the prediction of hip fractures in a cohort of older Swedish women.</p>","PeriodicalId":185,"journal":{"name":"Journal of Bone and Mineral Research","volume":" ","pages":"779-790"},"PeriodicalIF":5.9000,"publicationDate":"2025-06-03","publicationTypes":"Journal Article","fieldsOfStudy":null,"isOpenAccess":false,"openAccessPdf":"https://www.ncbi.nlm.nih.gov/pmc/articles/PMC12131241/pdf/","citationCount":"0","resultStr":"{\"title\":\"Prediction of hip fracture by high-resolution peripheral quantitative computed tomography in older Swedish women.\",\"authors\":\"Raju Jaiswal, Aldina Pivodic, Michail Zoulakis, Kristian F Axelsson, Henrik Litsne, Lisa Johansson, Mattias Lorentzon\",\"doi\":\"10.1093/jbmr/zjaf020\",\"DOIUrl\":null,\"url\":null,\"abstract\":\"<p><p>The socioeconomic burden of hip fractures, the most severe osteoporotic fracture outcome, is increasing and the current clinical risk assessment lacks sensitivity. This study aimed to develop a method for improved prediction of hip fracture by incorporating measurements of bone microstructure and composition derived from HR-pQCT. In a prospective cohort study of 3028 community-dwelling women aged 75-80, all participants answered questionnaires and underwent baseline examinations of anthropometrics and bone by DXA and HR-pQCT. Medical records, a regional x-ray archive, and registers were used to identify incident fractures and death. Prediction models for hip, major osteoporotic fracture (MOF), and any fracture were developed using Cox proportional hazards regression and machine learning algorithms (neural network, random forest, ensemble, and Extreme Gradient Boosting). In the 2856 (94.3%) women with complete HR-pQCT data at 2 tibia sites (distal and ultra-distal), the median follow-up period was 8.0 yr, and 217 hip, 746 MOF, and 1008 any type of incident fracture occurred. In Cox regression models adjusted for age, BMI, clinical risk factors (CRFs), and FN BMD, the strongest predictors of hip fracture were tibia total volumetric BMD and cortical thickness. The performance of the Cox regression-based prediction models for hip fracture was significantly improved by HR-pQCT (time-dependent AUC; area under receiver operating characteristic curve at 5 yr of follow-up 0.75 [0.64-0.85]), compared to a reference model including CRFs and FN BMD (AUC = 0.71 [0.58-0.81], p < .001) and a Fracture Risk Assessment Tool risk score model (AUC = 0.70 [0.60-0.80], p < .001). The Cox regression model for hip fracture had a significantly higher accuracy than the neural network-based model, the best-performing machine learning algorithm, at clinically relevant sensitivity levels. We conclude that the addition of HR-pQCT parameters improves the prediction of hip fractures in a cohort of older Swedish women.</p>\",\"PeriodicalId\":185,\"journal\":{\"name\":\"Journal of Bone and Mineral Research\",\"volume\":\" \",\"pages\":\"779-790\"},\"PeriodicalIF\":5.9000,\"publicationDate\":\"2025-06-03\",\"publicationTypes\":\"Journal Article\",\"fieldsOfStudy\":null,\"isOpenAccess\":false,\"openAccessPdf\":\"https://www.ncbi.nlm.nih.gov/pmc/articles/PMC12131241/pdf/\",\"citationCount\":\"0\",\"resultStr\":null,\"platform\":\"Semanticscholar\",\"paperid\":null,\"PeriodicalName\":\"Journal of Bone and Mineral Research\",\"FirstCategoryId\":\"3\",\"ListUrlMain\":\"https://doi.org/10.1093/jbmr/zjaf020\",\"RegionNum\":1,\"RegionCategory\":\"医学\",\"ArticlePicture\":[],\"TitleCN\":null,\"AbstractTextCN\":null,\"PMCID\":null,\"EPubDate\":\"\",\"PubModel\":\"\",\"JCR\":\"Q1\",\"JCRName\":\"ENDOCRINOLOGY & METABOLISM\",\"Score\":null,\"Total\":0}","platform":"Semanticscholar","paperid":null,"PeriodicalName":"Journal of Bone and Mineral Research","FirstCategoryId":"3","ListUrlMain":"https://doi.org/10.1093/jbmr/zjaf020","RegionNum":1,"RegionCategory":"医学","ArticlePicture":[],"TitleCN":null,"AbstractTextCN":null,"PMCID":null,"EPubDate":"","PubModel":"","JCR":"Q1","JCRName":"ENDOCRINOLOGY & METABOLISM","Score":null,"Total":0}
引用次数: 0

摘要

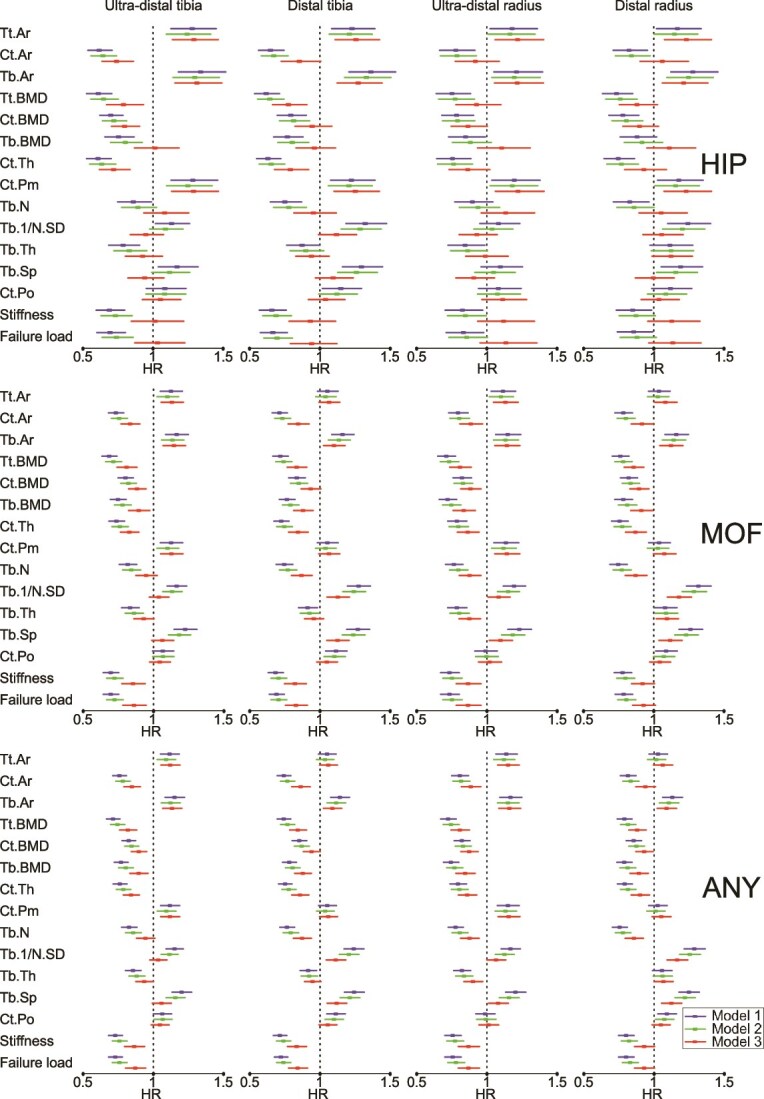
髋部骨折是最严重的骨质疏松性骨折结局,其社会经济负担正在增加,目前的临床风险评估缺乏敏感性。本研究旨在通过结合高分辨率外周定量计算机断层扫描(HR-pQCT)获得的骨微观结构和成分测量,开发一种改进髋部骨折预测的方法。在一项对3028名75 - 80岁社区妇女的前瞻性队列研究中,所有参与者都回答了问卷,并通过双x线吸收测量(DXA)和HR-pQCT进行了人体测量和骨骼基线检查。使用医疗记录、区域x射线档案和登记册来确定意外骨折和死亡。使用Cox比例风险回归和机器学习算法(神经网络、随机森林、集成和XGBoost)建立髋关节、严重骨质疏松性骨折(MOF)和任何骨折的预测模型。2856名(94.3%)女性在胫骨2个部位(远端和超远端)有完整的HR-pQCT数据,中位随访时间为8.0年,发生217例髋部骨折,746例MOF, 1008例任何类型的意外骨折。在校正了年龄、BMI、临床危险因素(CRF)和股骨颈骨密度(FN BMD)的Cox回归模型中,髋骨骨折的最强预测因子是胫骨总容积骨密度和皮质厚度。基于Cox回归的髋部骨折预测模型的性能通过HR-pQCT(时间相关AUC;5年随访时受试者工作特征曲线下面积0.75[0.64-0.85]),与包括CRFs和FN BMD在内的参考模型(AUC = 0.71 [0.58-0.81], p
本文章由计算机程序翻译,如有差异,请以英文原文为准。

Prediction of hip fracture by high-resolution peripheral quantitative computed tomography in older Swedish women.

Prediction of hip fracture by high-resolution peripheral quantitative computed tomography in older Swedish women.

The socioeconomic burden of hip fractures, the most severe osteoporotic fracture outcome, is increasing and the current clinical risk assessment lacks sensitivity. This study aimed to develop a method for improved prediction of hip fracture by incorporating measurements of bone microstructure and composition derived from HR-pQCT. In a prospective cohort study of 3028 community-dwelling women aged 75-80, all participants answered questionnaires and underwent baseline examinations of anthropometrics and bone by DXA and HR-pQCT. Medical records, a regional x-ray archive, and registers were used to identify incident fractures and death. Prediction models for hip, major osteoporotic fracture (MOF), and any fracture were developed using Cox proportional hazards regression and machine learning algorithms (neural network, random forest, ensemble, and Extreme Gradient Boosting). In the 2856 (94.3%) women with complete HR-pQCT data at 2 tibia sites (distal and ultra-distal), the median follow-up period was 8.0 yr, and 217 hip, 746 MOF, and 1008 any type of incident fracture occurred. In Cox regression models adjusted for age, BMI, clinical risk factors (CRFs), and FN BMD, the strongest predictors of hip fracture were tibia total volumetric BMD and cortical thickness. The performance of the Cox regression-based prediction models for hip fracture was significantly improved by HR-pQCT (time-dependent AUC; area under receiver operating characteristic curve at 5 yr of follow-up 0.75 [0.64-0.85]), compared to a reference model including CRFs and FN BMD (AUC = 0.71 [0.58-0.81], p < .001) and a Fracture Risk Assessment Tool risk score model (AUC = 0.70 [0.60-0.80], p < .001). The Cox regression model for hip fracture had a significantly higher accuracy than the neural network-based model, the best-performing machine learning algorithm, at clinically relevant sensitivity levels. We conclude that the addition of HR-pQCT parameters improves the prediction of hip fractures in a cohort of older Swedish women.

求助全文
通过发布文献求助,成功后即可免费获取论文全文。 去求助
来源期刊
Journal of Bone and Mineral Research
Journal of Bone and Mineral Research 医学-内分泌学与代谢
CiteScore
11.30
自引率
6.50%
发文量
257
审稿时长
2 months
期刊介绍: The Journal of Bone and Mineral Research (JBMR) publishes highly impactful original manuscripts, reviews, and special articles on basic, translational and clinical investigations relevant to the musculoskeletal system and mineral metabolism. Specifically, the journal is interested in original research on the biology and physiology of skeletal tissues, interdisciplinary research spanning the musculoskeletal and other systems, including but not limited to immunology, hematology, energy metabolism, cancer biology, and neurology, and systems biology topics using large scale “-omics” approaches. The journal welcomes clinical research on the pathophysiology, treatment and prevention of osteoporosis and fractures, as well as sarcopenia, disorders of bone and mineral metabolism, and rare or genetically determined bone diseases.
×
引用
GB/T 7714-2015
复制
MLA
复制
APA
复制
导出至
BibTeX EndNote RefMan NoteFirst NoteExpress
×
提示
您的信息不完整,为了账户安全,请先补充。
现在去补充
×
提示
您因"违规操作"
具体请查看互助需知
我知道了
×
提示
确定
请完成安全验证×
copy
已复制链接
快去分享给好友吧!
我知道了
右上角分享
点击右上角分享
0
联系我们:info@booksci.cn Book学术提供免费学术资源搜索服务,方便国内外学者检索中英文文献。致力于提供最便捷和优质的服务体验。 Copyright © 2023 布克学术 All rights reserved.
京ICP备2023020795号-1
ghs 京公网安备 11010802042870号
Book学术文献互助
Book学术文献互助群
群 号:604180095
Book学术官方微信