微笑训练对帕金森病患者伴有神经精神症状的步态障碍的影响:单例设计

Physical therapy research Pub Date : 2024-01-01 Epub Date: 2024-09-11 DOI:10.1298/ptr.E10290
Yumeka Harada, Tatsuya Iwabe, Keisuke Ota, Shinsuke Hamada, Fumio Moriwaka
{"title":"微笑训练对帕金森病患者伴有神经精神症状的步态障碍的影响:单例设计","authors":"Yumeka Harada, Tatsuya Iwabe, Keisuke Ota, Shinsuke Hamada, Fumio Moriwaka","doi":"10.1298/ptr.E10290","DOIUrl":null,"url":null,"abstract":"<p><strong>Objective: </strong>To verify the efficacy of smile training in improving gait disturbances in patients with Parkinson's disease (PD) exhibiting neuropsychiatric symptoms.</p><p><strong>Methods: </strong>A single-case BAB design with three intervention periods (B1, A1, and B2) was used. During periods B1 and B2, 10 min of smile training (facial muscles training and positive thinking training) was performed before the usual exercise therapy. During the A1 period, the participant received only the usual exercise therapy. During the intervention period, the Timed Up and Go test (TUG) was performed daily in both directions. Tau-U was calculated to determine the effect size of the TUG test time and the number of steps taken during each period. Movement Disorder Society-Unified Parkinson's Disease Rating Scale (MDS-UPDRS) Part III, Hospital Anxiety and Depression Scale (HADS), 10-meter walk at maximum speed, Berg Balance Scale, and Characterizing Freezing of Gait Questionnaire (C-FOGQ) were administered on the day before the start of the intervention and the last day of each period.</p><p><strong>Results: </strong>Comparisons of A1 to B2, TUG time, and the number of steps taken on both turns revealed large reductions (Tau-U ≥0.74, p <0.01). The 10-meter walk speed and MDS-UPDRS Part III bradykinesia scores improved, whereas the frequency of gait freezing on the C-FOGQ remained unchanged. The HADS scores did not show significant changes; however, the participant made more positive statements in his reflections.</p><p><strong>Conclusion: </strong>Smile training may be an effective intervention for improving gait and other motor symptoms in patients with PD.</p>","PeriodicalId":74445,"journal":{"name":"Physical therapy research","volume":"27 3","pages":"173-179"},"PeriodicalIF":0.0000,"publicationDate":"2024-01-01","publicationTypes":"Journal Article","fieldsOfStudy":null,"isOpenAccess":false,"openAccessPdf":"https://www.ncbi.nlm.nih.gov/pmc/articles/PMC11756565/pdf/","citationCount":"0","resultStr":"{\"title\":\"Effects of Smile Training on Gait Disturbance in Parkinson's Disease Patient with Neuropsychiatric Symptoms: A Single Case Design.\",\"authors\":\"Yumeka Harada, Tatsuya Iwabe, Keisuke Ota, Shinsuke Hamada, Fumio Moriwaka\",\"doi\":\"10.1298/ptr.E10290\",\"DOIUrl\":null,\"url\":null,\"abstract\":\"<p><strong>Objective: </strong>To verify the efficacy of smile training in improving gait disturbances in patients with Parkinson's disease (PD) exhibiting neuropsychiatric symptoms.</p><p><strong>Methods: </strong>A single-case BAB design with three intervention periods (B1, A1, and B2) was used. During periods B1 and B2, 10 min of smile training (facial muscles training and positive thinking training) was performed before the usual exercise therapy. During the A1 period, the participant received only the usual exercise therapy. During the intervention period, the Timed Up and Go test (TUG) was performed daily in both directions. Tau-U was calculated to determine the effect size of the TUG test time and the number of steps taken during each period. Movement Disorder Society-Unified Parkinson's Disease Rating Scale (MDS-UPDRS) Part III, Hospital Anxiety and Depression Scale (HADS), 10-meter walk at maximum speed, Berg Balance Scale, and Characterizing Freezing of Gait Questionnaire (C-FOGQ) were administered on the day before the start of the intervention and the last day of each period.</p><p><strong>Results: </strong>Comparisons of A1 to B2, TUG time, and the number of steps taken on both turns revealed large reductions (Tau-U ≥0.74, p <0.01). The 10-meter walk speed and MDS-UPDRS Part III bradykinesia scores improved, whereas the frequency of gait freezing on the C-FOGQ remained unchanged. The HADS scores did not show significant changes; however, the participant made more positive statements in his reflections.</p><p><strong>Conclusion: </strong>Smile training may be an effective intervention for improving gait and other motor symptoms in patients with PD.</p>\",\"PeriodicalId\":74445,\"journal\":{\"name\":\"Physical therapy research\",\"volume\":\"27 3\",\"pages\":\"173-179\"},\"PeriodicalIF\":0.0000,\"publicationDate\":\"2024-01-01\",\"publicationTypes\":\"Journal Article\",\"fieldsOfStudy\":null,\"isOpenAccess\":false,\"openAccessPdf\":\"https://www.ncbi.nlm.nih.gov/pmc/articles/PMC11756565/pdf/\",\"citationCount\":\"0\",\"resultStr\":null,\"platform\":\"Semanticscholar\",\"paperid\":null,\"PeriodicalName\":\"Physical therapy research\",\"FirstCategoryId\":\"1085\",\"ListUrlMain\":\"https://doi.org/10.1298/ptr.E10290\",\"RegionNum\":0,\"RegionCategory\":null,\"ArticlePicture\":[],\"TitleCN\":null,\"AbstractTextCN\":null,\"PMCID\":null,\"EPubDate\":\"2024/9/11 0:00:00\",\"PubModel\":\"Epub\",\"JCR\":\"\",\"JCRName\":\"\",\"Score\":null,\"Total\":0}","platform":"Semanticscholar","paperid":null,"PeriodicalName":"Physical therapy research","FirstCategoryId":"1085","ListUrlMain":"https://doi.org/10.1298/ptr.E10290","RegionNum":0,"RegionCategory":null,"ArticlePicture":[],"TitleCN":null,"AbstractTextCN":null,"PMCID":null,"EPubDate":"2024/9/11 0:00:00","PubModel":"Epub","JCR":"","JCRName":"","Score":null,"Total":0}
引用次数: 0

摘要

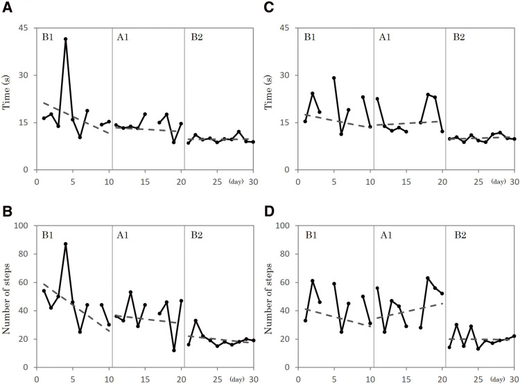
目的:探讨微笑训练对帕金森病(PD)患者步态障碍的改善作用。方法:采用单例BAB设计,分为三个干预期(B1、A1和B2)。在B1和B2期间,在常规运动治疗之前进行10分钟的微笑训练(面部肌肉训练和积极思考训练)。在A1期,参与者只接受常规的运动治疗。在干预期间,每天在两个方向上进行Timed Up and Go测试(TUG)。通过计算Tau-U来确定TUG测试时间的效应大小和每个时间段所采取的步数。运动障碍学会统一帕金森病评定量表(MDS-UPDRS)第三部分、医院焦虑抑郁量表(HADS)、最大速度10米步行、Berg平衡量表和步态冻结特征问卷(C-FOGQ)分别于干预开始前一天和每个时段的最后一天进行。结果:比较A1与B2、TUG时间、两轮行走步数均有显著降低(Tau-U≥0.74,p)。结论:微笑训练可能是改善PD患者步态和其他运动症状的有效干预措施。
本文章由计算机程序翻译,如有差异,请以英文原文为准。

Effects of Smile Training on Gait Disturbance in Parkinson's Disease Patient with Neuropsychiatric Symptoms: A Single Case Design.

Effects of Smile Training on Gait Disturbance in Parkinson's Disease Patient with Neuropsychiatric Symptoms: A Single Case Design.

Effects of Smile Training on Gait Disturbance in Parkinson's Disease Patient with Neuropsychiatric Symptoms: A Single Case Design.

Objective: To verify the efficacy of smile training in improving gait disturbances in patients with Parkinson's disease (PD) exhibiting neuropsychiatric symptoms.

Methods: A single-case BAB design with three intervention periods (B1, A1, and B2) was used. During periods B1 and B2, 10 min of smile training (facial muscles training and positive thinking training) was performed before the usual exercise therapy. During the A1 period, the participant received only the usual exercise therapy. During the intervention period, the Timed Up and Go test (TUG) was performed daily in both directions. Tau-U was calculated to determine the effect size of the TUG test time and the number of steps taken during each period. Movement Disorder Society-Unified Parkinson's Disease Rating Scale (MDS-UPDRS) Part III, Hospital Anxiety and Depression Scale (HADS), 10-meter walk at maximum speed, Berg Balance Scale, and Characterizing Freezing of Gait Questionnaire (C-FOGQ) were administered on the day before the start of the intervention and the last day of each period.

Results: Comparisons of A1 to B2, TUG time, and the number of steps taken on both turns revealed large reductions (Tau-U ≥0.74, p <0.01). The 10-meter walk speed and MDS-UPDRS Part III bradykinesia scores improved, whereas the frequency of gait freezing on the C-FOGQ remained unchanged. The HADS scores did not show significant changes; however, the participant made more positive statements in his reflections.

Conclusion: Smile training may be an effective intervention for improving gait and other motor symptoms in patients with PD.

求助全文
通过发布文献求助,成功后即可免费获取论文全文。 去求助
来源期刊
自引率
0.00%
发文量
0
×
引用
GB/T 7714-2015
复制
MLA
复制
APA
复制
导出至
BibTeX EndNote RefMan NoteFirst NoteExpress
×
提示
您的信息不完整,为了账户安全,请先补充。
现在去补充
×
提示
您因"违规操作"
具体请查看互助需知
我知道了
×
提示
确定
请完成安全验证×
copy
已复制链接
快去分享给好友吧!
我知道了
右上角分享
点击右上角分享
0
联系我们:info@booksci.cn Book学术提供免费学术资源搜索服务,方便国内外学者检索中英文文献。致力于提供最便捷和优质的服务体验。 Copyright © 2023 布克学术 All rights reserved.
京ICP备2023020795号-1
ghs 京公网安备 11010802042870号
Book学术文献互助
Book学术文献互助群
群 号:604180095
Book学术官方微信