小锂簇中的碳掺杂:量子蒙特卡洛计算得出的结构、能量和电子特性。

IF 4.3 3区 化学 Q2 CHEMISTRY, MULTIDISCIPLINARY
ACS Omega Pub Date : 2025-01-09 eCollection Date: 2025-01-21 DOI:10.1021/acsomega.4c09963
Bráulio G A Brito, Guo-Qiang Hai, Ladir Cândido
{"title":"小锂簇中的碳掺杂:量子蒙特卡洛计算得出的结构、能量和电子特性。","authors":"Bráulio G A Brito, Guo-Qiang Hai, Ladir Cândido","doi":"10.1021/acsomega.4c09963","DOIUrl":null,"url":null,"abstract":"<p><p>We investigate the energetic and structural properties of small lithium clusters doped with a carbon atom using a combination of computational methods, including density functional theory (DFT), diffusion quantum Monte Carlo (DMC), and the Hartree-Fock (HF) approximation. We calculate the lowest energy structures, total ground-state energies, electron populations, binding energies, and dissociation energies as a function of cluster size. Our results show that carbon doping significantly enhances the stability of lithium clusters, increasing the magnitude of the binding energy by 0.261 ± 0.008 to 1.048 ± 0.003 eV. Carbon substitution also reduces the bond length by approximately 1.00 Å and decreases the coordination number by up to 2.78. The dissociation energy required to remove the doped carbon atom ranges from -7.65 ± 0.02 to -3.33 ± 0.01 eV, which is substantially larger in magnitude than the energy required to remove a lithium atom, varying from -2.81 ± 0.02 to -0.78 ± 0.02 eV. These results indicate that carbon doping enhances cluster stability, as reflected by the increased dissociation energy and changes in bonding characteristics. We compare our findings with available theoretical and experimental data, providing valuable insights into the role of carbon doping in strengthening the stability and bonding properties of lithium clusters.</p>","PeriodicalId":22,"journal":{"name":"ACS Omega","volume":"10 2","pages":"2296-2304"},"PeriodicalIF":4.3000,"publicationDate":"2025-01-09","publicationTypes":"Journal Article","fieldsOfStudy":null,"isOpenAccess":false,"openAccessPdf":"https://www.ncbi.nlm.nih.gov/pmc/articles/PMC11755159/pdf/","citationCount":"0","resultStr":"{\"title\":\"Carbon Doping in Small Lithium Clusters: Structural, Energetic, and Electronic Properties from Quantum Monte Carlo Calculations.\",\"authors\":\"Bráulio G A Brito, Guo-Qiang Hai, Ladir Cândido\",\"doi\":\"10.1021/acsomega.4c09963\",\"DOIUrl\":null,\"url\":null,\"abstract\":\"<p><p>We investigate the energetic and structural properties of small lithium clusters doped with a carbon atom using a combination of computational methods, including density functional theory (DFT), diffusion quantum Monte Carlo (DMC), and the Hartree-Fock (HF) approximation. We calculate the lowest energy structures, total ground-state energies, electron populations, binding energies, and dissociation energies as a function of cluster size. Our results show that carbon doping significantly enhances the stability of lithium clusters, increasing the magnitude of the binding energy by 0.261 ± 0.008 to 1.048 ± 0.003 eV. Carbon substitution also reduces the bond length by approximately 1.00 Å and decreases the coordination number by up to 2.78. The dissociation energy required to remove the doped carbon atom ranges from -7.65 ± 0.02 to -3.33 ± 0.01 eV, which is substantially larger in magnitude than the energy required to remove a lithium atom, varying from -2.81 ± 0.02 to -0.78 ± 0.02 eV. These results indicate that carbon doping enhances cluster stability, as reflected by the increased dissociation energy and changes in bonding characteristics. We compare our findings with available theoretical and experimental data, providing valuable insights into the role of carbon doping in strengthening the stability and bonding properties of lithium clusters.</p>\",\"PeriodicalId\":22,\"journal\":{\"name\":\"ACS Omega\",\"volume\":\"10 2\",\"pages\":\"2296-2304\"},\"PeriodicalIF\":4.3000,\"publicationDate\":\"2025-01-09\",\"publicationTypes\":\"Journal Article\",\"fieldsOfStudy\":null,\"isOpenAccess\":false,\"openAccessPdf\":\"https://www.ncbi.nlm.nih.gov/pmc/articles/PMC11755159/pdf/\",\"citationCount\":\"0\",\"resultStr\":null,\"platform\":\"Semanticscholar\",\"paperid\":null,\"PeriodicalName\":\"ACS Omega\",\"FirstCategoryId\":\"92\",\"ListUrlMain\":\"https://doi.org/10.1021/acsomega.4c09963\",\"RegionNum\":3,\"RegionCategory\":\"化学\",\"ArticlePicture\":[],\"TitleCN\":null,\"AbstractTextCN\":null,\"PMCID\":null,\"EPubDate\":\"2025/1/21 0:00:00\",\"PubModel\":\"eCollection\",\"JCR\":\"Q2\",\"JCRName\":\"CHEMISTRY, MULTIDISCIPLINARY\",\"Score\":null,\"Total\":0}","platform":"Semanticscholar","paperid":null,"PeriodicalName":"ACS Omega","FirstCategoryId":"92","ListUrlMain":"https://doi.org/10.1021/acsomega.4c09963","RegionNum":3,"RegionCategory":"化学","ArticlePicture":[],"TitleCN":null,"AbstractTextCN":null,"PMCID":null,"EPubDate":"2025/1/21 0:00:00","PubModel":"eCollection","JCR":"Q2","JCRName":"CHEMISTRY, MULTIDISCIPLINARY","Score":null,"Total":0}
引用次数: 0

摘要

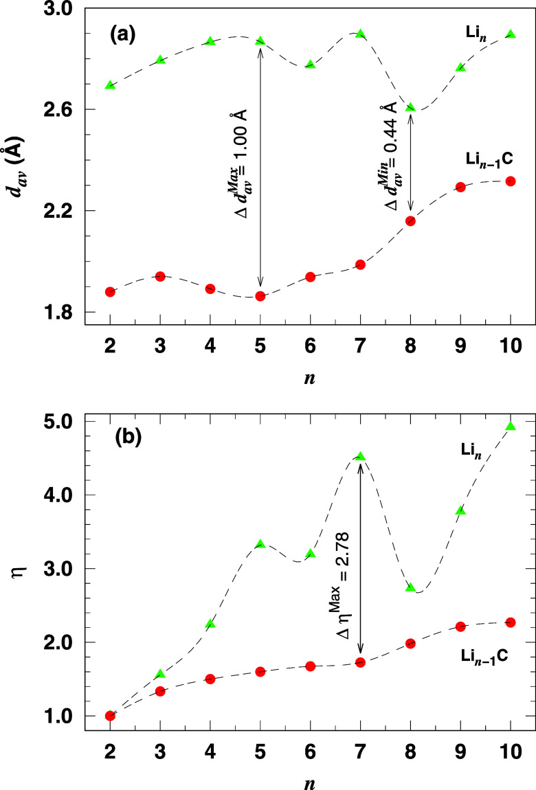
研究人员利用密度泛函理论(DFT)、扩散量子蒙特卡罗(DMC)和Hartree-Fock (HF)近似等计算方法,研究了掺杂碳原子的小锂簇的能量和结构特性。我们计算了最低能量结构、总基态能量、电子居群、结合能和离解能作为簇大小的函数。结果表明,碳掺杂显著增强了锂团簇的稳定性,使其结合能的量级增加了0.261±0.008至1.048±0.003 eV。碳取代也使键长减少约1.00 Å,并使配位数减少高达2.78。去除掺杂碳原子所需的解离能范围为-7.65±0.02至-3.33±0.01 eV,远高于去除锂原子所需的能量范围(-2.81±0.02至-0.78±0.02 eV)。这些结果表明,碳掺杂提高了簇的稳定性,反映在离解能的增加和成键特性的改变上。我们将我们的发现与现有的理论和实验数据进行了比较,为碳掺杂在增强锂簇的稳定性和键合性能方面的作用提供了有价值的见解。
本文章由计算机程序翻译,如有差异,请以英文原文为准。

Carbon Doping in Small Lithium Clusters: Structural, Energetic, and Electronic Properties from Quantum Monte Carlo Calculations.

Carbon Doping in Small Lithium Clusters: Structural, Energetic, and Electronic Properties from Quantum Monte Carlo Calculations.

Carbon Doping in Small Lithium Clusters: Structural, Energetic, and Electronic Properties from Quantum Monte Carlo Calculations.

Carbon Doping in Small Lithium Clusters: Structural, Energetic, and Electronic Properties from Quantum Monte Carlo Calculations.

We investigate the energetic and structural properties of small lithium clusters doped with a carbon atom using a combination of computational methods, including density functional theory (DFT), diffusion quantum Monte Carlo (DMC), and the Hartree-Fock (HF) approximation. We calculate the lowest energy structures, total ground-state energies, electron populations, binding energies, and dissociation energies as a function of cluster size. Our results show that carbon doping significantly enhances the stability of lithium clusters, increasing the magnitude of the binding energy by 0.261 ± 0.008 to 1.048 ± 0.003 eV. Carbon substitution also reduces the bond length by approximately 1.00 Å and decreases the coordination number by up to 2.78. The dissociation energy required to remove the doped carbon atom ranges from -7.65 ± 0.02 to -3.33 ± 0.01 eV, which is substantially larger in magnitude than the energy required to remove a lithium atom, varying from -2.81 ± 0.02 to -0.78 ± 0.02 eV. These results indicate that carbon doping enhances cluster stability, as reflected by the increased dissociation energy and changes in bonding characteristics. We compare our findings with available theoretical and experimental data, providing valuable insights into the role of carbon doping in strengthening the stability and bonding properties of lithium clusters.

求助全文
通过发布文献求助,成功后即可免费获取论文全文。 去求助
来源期刊
ACS Omega
ACS Omega Chemical Engineering-General Chemical Engineering
CiteScore
6.60
自引率
4.90%
发文量
3945
审稿时长
2.4 months
期刊介绍: ACS Omega is an open-access global publication for scientific articles that describe new findings in chemistry and interfacing areas of science, without any perceived evaluation of immediate impact.
×
引用
GB/T 7714-2015
复制
MLA
复制
APA
复制
导出至
BibTeX EndNote RefMan NoteFirst NoteExpress
×
提示
您的信息不完整,为了账户安全,请先补充。
现在去补充
×
提示
您因"违规操作"
具体请查看互助需知
我知道了
×
提示
确定
请完成安全验证×
copy
已复制链接
快去分享给好友吧!
我知道了
右上角分享
点击右上角分享
0
联系我们:info@booksci.cn Book学术提供免费学术资源搜索服务,方便国内外学者检索中英文文献。致力于提供最便捷和优质的服务体验。 Copyright © 2023 布克学术 All rights reserved.
京ICP备2023020795号-1
ghs 京公网安备 11010802042870号
Book学术文献互助
Book学术文献互助群
群 号:604180095
Book学术官方微信