新辅助免疫化疗患者的右与左胸入路食管切除术。

IF 4.3
Annals of medicine Pub Date : 2025-12-01 Epub Date: 2025-01-25 DOI:10.1080/07853890.2025.2456691
Kexi Wang, Xuan Xie, Jianqun He, Shuogui Fang, Yiming Zhong, Duoguang Wu, Kefeng Wang, Minghui Wang
{"title":"新辅助免疫化疗患者的右与左胸入路食管切除术。","authors":"Kexi Wang, Xuan Xie, Jianqun He, Shuogui Fang, Yiming Zhong, Duoguang Wu, Kefeng Wang, Minghui Wang","doi":"10.1080/07853890.2025.2456691","DOIUrl":null,"url":null,"abstract":"<p><strong>Background: </strong>The purpose of this study was to investigate the safety and efficacy of left thoracic approach (LTA) and right thoracic approach (RTA) in patients with esophageal squamous cell carcinoma (ESCC) after neoadjuvant immunochemotherapy (NICT).</p><p><strong>Methods: </strong>This study included 83 ESCC patients who underwent right transthoracic esophagectomy (<i>n</i> = 61) and left transthoracic esophagectomy (<i>n</i> = 22) after NICT in our hospital from October 2019 to September 2023. The data of these patients were retrospectively analyzed.</p><p><strong>Results: </strong>Compared with the LTA group, the RTA group had a longer operation time (245.6 ± 27.8 min vs. 356.5 ± 83.2 min, <i>p</i> < 0.001) and more lymph nodes were removed (21.0 ± 7.9 vs. 29.3 ± 10.8, <i>p</i> = 0.001). The 3-year disease free survival (DFS) of the LTA group and the RTA group were 61.0% and 65.7% (<i>p</i> = 0.861), and the 3-year overall survival (OS) were 60.7% and 77.4% (<i>p</i> = 0.753) respectively. There was no significant difference in prognosis between the two groups. Lymphovascular invasion was an independent risk factor for DFS (HR = 4.042, <i>p</i> = 0.004) and OS (HR = 4.607, <i>p</i> = 0.003) in patients with ESCC undergoing NICT combined with surgery.</p><p><strong>Conclusion: </strong>There was no difference in postoperative complications and short-term survival in patients with ESCC underwent surgery after NICT regardless of left or right thoracic approach. It is worth noting that lymphovascular invasion has an important impact on the prognosis of these patients.</p>","PeriodicalId":93874,"journal":{"name":"Annals of medicine","volume":"57 1","pages":"2456691"},"PeriodicalIF":4.3000,"publicationDate":"2025-12-01","publicationTypes":"Journal Article","fieldsOfStudy":null,"isOpenAccess":false,"openAccessPdf":"https://www.ncbi.nlm.nih.gov/pmc/articles/PMC11770869/pdf/","citationCount":"0","resultStr":"{\"title\":\"Right versus left thoracic approach esophagectomy for patients with neoadjuvant immunochemotherapy.\",\"authors\":\"Kexi Wang, Xuan Xie, Jianqun He, Shuogui Fang, Yiming Zhong, Duoguang Wu, Kefeng Wang, Minghui Wang\",\"doi\":\"10.1080/07853890.2025.2456691\",\"DOIUrl\":null,\"url\":null,\"abstract\":\"<p><strong>Background: </strong>The purpose of this study was to investigate the safety and efficacy of left thoracic approach (LTA) and right thoracic approach (RTA) in patients with esophageal squamous cell carcinoma (ESCC) after neoadjuvant immunochemotherapy (NICT).</p><p><strong>Methods: </strong>This study included 83 ESCC patients who underwent right transthoracic esophagectomy (<i>n</i> = 61) and left transthoracic esophagectomy (<i>n</i> = 22) after NICT in our hospital from October 2019 to September 2023. The data of these patients were retrospectively analyzed.</p><p><strong>Results: </strong>Compared with the LTA group, the RTA group had a longer operation time (245.6 ± 27.8 min vs. 356.5 ± 83.2 min, <i>p</i> < 0.001) and more lymph nodes were removed (21.0 ± 7.9 vs. 29.3 ± 10.8, <i>p</i> = 0.001). The 3-year disease free survival (DFS) of the LTA group and the RTA group were 61.0% and 65.7% (<i>p</i> = 0.861), and the 3-year overall survival (OS) were 60.7% and 77.4% (<i>p</i> = 0.753) respectively. There was no significant difference in prognosis between the two groups. Lymphovascular invasion was an independent risk factor for DFS (HR = 4.042, <i>p</i> = 0.004) and OS (HR = 4.607, <i>p</i> = 0.003) in patients with ESCC undergoing NICT combined with surgery.</p><p><strong>Conclusion: </strong>There was no difference in postoperative complications and short-term survival in patients with ESCC underwent surgery after NICT regardless of left or right thoracic approach. It is worth noting that lymphovascular invasion has an important impact on the prognosis of these patients.</p>\",\"PeriodicalId\":93874,\"journal\":{\"name\":\"Annals of medicine\",\"volume\":\"57 1\",\"pages\":\"2456691\"},\"PeriodicalIF\":4.3000,\"publicationDate\":\"2025-12-01\",\"publicationTypes\":\"Journal Article\",\"fieldsOfStudy\":null,\"isOpenAccess\":false,\"openAccessPdf\":\"https://www.ncbi.nlm.nih.gov/pmc/articles/PMC11770869/pdf/\",\"citationCount\":\"0\",\"resultStr\":null,\"platform\":\"Semanticscholar\",\"paperid\":null,\"PeriodicalName\":\"Annals of medicine\",\"FirstCategoryId\":\"1085\",\"ListUrlMain\":\"https://doi.org/10.1080/07853890.2025.2456691\",\"RegionNum\":0,\"RegionCategory\":null,\"ArticlePicture\":[],\"TitleCN\":null,\"AbstractTextCN\":null,\"PMCID\":null,\"EPubDate\":\"2025/1/25 0:00:00\",\"PubModel\":\"Epub\",\"JCR\":\"\",\"JCRName\":\"\",\"Score\":null,\"Total\":0}","platform":"Semanticscholar","paperid":null,"PeriodicalName":"Annals of medicine","FirstCategoryId":"1085","ListUrlMain":"https://doi.org/10.1080/07853890.2025.2456691","RegionNum":0,"RegionCategory":null,"ArticlePicture":[],"TitleCN":null,"AbstractTextCN":null,"PMCID":null,"EPubDate":"2025/1/25 0:00:00","PubModel":"Epub","JCR":"","JCRName":"","Score":null,"Total":0}
引用次数: 0

摘要

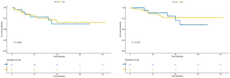
背景:本研究的目的是探讨食管鳞状细胞癌(ESCC)患者新辅助免疫化疗(NICT)后左胸入路(LTA)和右胸入路(RTA)的安全性和有效性。方法:本研究纳入我院2019年10月至2023年9月行NICT后右侧经胸食管切除术(n = 61)和左侧经胸食管切除术(n = 22)的ESCC患者83例。对这些患者的资料进行回顾性分析。结果:与LTA组相比,RTA组手术时间更长(245.6±27.8 min vs 356.5±83.2 min, p p = 0.001)。LTA组和RTA组3年无病生存率(DFS)分别为61.0%和65.7% (p = 0.861), 3年总生存率(OS)分别为60.7%和77.4% (p = 0.753)。两组患者预后无明显差异。淋巴血管侵犯是ESCC NICT联合手术患者发生DFS (HR = 4.042, p = 0.004)和OS (HR = 4.607, p = 0.003)的独立危险因素。结论:不论是左胸入路还是右胸入路,行NICT手术的ESCC患者的术后并发症和短期生存率均无差异。值得注意的是,淋巴血管侵犯对这些患者的预后有重要影响。
本文章由计算机程序翻译,如有差异,请以英文原文为准。

Right versus left thoracic approach esophagectomy for patients with neoadjuvant immunochemotherapy.

Right versus left thoracic approach esophagectomy for patients with neoadjuvant immunochemotherapy.

Right versus left thoracic approach esophagectomy for patients with neoadjuvant immunochemotherapy.

Background: The purpose of this study was to investigate the safety and efficacy of left thoracic approach (LTA) and right thoracic approach (RTA) in patients with esophageal squamous cell carcinoma (ESCC) after neoadjuvant immunochemotherapy (NICT).

Methods: This study included 83 ESCC patients who underwent right transthoracic esophagectomy (n = 61) and left transthoracic esophagectomy (n = 22) after NICT in our hospital from October 2019 to September 2023. The data of these patients were retrospectively analyzed.

Results: Compared with the LTA group, the RTA group had a longer operation time (245.6 ± 27.8 min vs. 356.5 ± 83.2 min, p < 0.001) and more lymph nodes were removed (21.0 ± 7.9 vs. 29.3 ± 10.8, p = 0.001). The 3-year disease free survival (DFS) of the LTA group and the RTA group were 61.0% and 65.7% (p = 0.861), and the 3-year overall survival (OS) were 60.7% and 77.4% (p = 0.753) respectively. There was no significant difference in prognosis between the two groups. Lymphovascular invasion was an independent risk factor for DFS (HR = 4.042, p = 0.004) and OS (HR = 4.607, p = 0.003) in patients with ESCC undergoing NICT combined with surgery.

Conclusion: There was no difference in postoperative complications and short-term survival in patients with ESCC underwent surgery after NICT regardless of left or right thoracic approach. It is worth noting that lymphovascular invasion has an important impact on the prognosis of these patients.

求助全文
通过发布文献求助,成功后即可免费获取论文全文。 去求助
来源期刊
自引率
0.00%
发文量
0
×
引用
GB/T 7714-2015
复制
MLA
复制
APA
复制
导出至
BibTeX EndNote RefMan NoteFirst NoteExpress
×
提示
您的信息不完整,为了账户安全,请先补充。
现在去补充
×
提示
您因"违规操作"
具体请查看互助需知
我知道了
×
提示
确定
请完成安全验证×
copy
已复制链接
快去分享给好友吧!
我知道了
右上角分享
点击右上角分享
0
联系我们:info@booksci.cn Book学术提供免费学术资源搜索服务,方便国内外学者检索中英文文献。致力于提供最便捷和优质的服务体验。 Copyright © 2023 布克学术 All rights reserved.
京ICP备2023020795号-1
ghs 京公网安备 11010802042870号
Book学术文献互助
Book学术文献互助群
群 号:604180095
Book学术官方微信