根据院外心脏骤停患者的转运时间间隔调整现场心肺复苏持续时间:一项全国性多中心研究。

IF 3.9 2区 综合性期刊 Q1 MULTIDISCIPLINARY SCIENCES
Daseul Kim, Jae Yong Yu, Minha Kim, Gun Tak Lee, Sang Do Shin, Sung Yeon Hwang, Daun Jeong
{"title":"根据院外心脏骤停患者的转运时间间隔调整现场心肺复苏持续时间:一项全国性多中心研究。","authors":"Daseul Kim, Jae Yong Yu, Minha Kim, Gun Tak Lee, Sang Do Shin, Sung Yeon Hwang, Daun Jeong","doi":"10.1038/s41598-025-87757-3","DOIUrl":null,"url":null,"abstract":"<p><p>The optimal duration of on-scene cardiopulmonary resuscitation (CPR) for out-of-hospital cardiac arrest (OHCA) patients remains uncertain. Determining this critical time period requires outweighing the potential risks associated with intra-arrest transport while minimizing delays in accessing definitive hospital-based treatments. This study evaluated the association between on-scene CPR duration and 30-day neurologically favorable survival based on the transport time interval (TTI) in patients with OHCA. We retrospectively analyzed data from the Korean Cardiac Arrest Research Consortium registry of OHCA, comprising 65 participating hospitals in South Korea, between October 2015 and December 2021. We categorized the patients into Short-TTI (TTI < 10 min) and Long-TTI (TTI ≥ 10 min) groups. Differences in clinical features were adjusted for using propensity score matching (PSM) for TTI. The primary outcome was a 30-day neurologically favorable outcome, defined as cerebral performance category 1 or 2. Multivariable logistic regression was used to determine the variables associated with clinical outcomes. A generalized additive model based on a restricted cubic spline smooth function was utilized to infer the optimal cutoff point for on-scene CPR duration. Of the 6,345 patients, 5,844 PSM pairings were created (Short-TTI: 2,922; Long-TTI: 2,922). The primary outcome was achieved in 7.4% and 9.8% of the patients in Short-TTI and Long-TTI groups, respectively (p = 0.001). Increased on-scene CPR duration was associated with decreased neurologically favorable survival (adjusted odds ratio, 0.94; 95% confidence interval, 0.92-0.96). The optimal on-scene CPR durations in the overall PSM, Short-TTI, and Long-TTI groups were 5.1, 0, and 5.0 min, respectively. An adjusted on-scene CPR duration based on expected transport duration may be beneficial for favorable clinical outcomes in patients with OHCA.</p>","PeriodicalId":21811,"journal":{"name":"Scientific Reports","volume":"15 1","pages":"3245"},"PeriodicalIF":3.9000,"publicationDate":"2025-01-25","publicationTypes":"Journal Article","fieldsOfStudy":null,"isOpenAccess":false,"openAccessPdf":"https://www.ncbi.nlm.nih.gov/pmc/articles/PMC11762299/pdf/","citationCount":"0","resultStr":"{\"title\":\"Adjusting on-scene CPR duration based on transport time interval in out-of-hospital cardiac arrest: a nationwide multicenter study.\",\"authors\":\"Daseul Kim, Jae Yong Yu, Minha Kim, Gun Tak Lee, Sang Do Shin, Sung Yeon Hwang, Daun Jeong\",\"doi\":\"10.1038/s41598-025-87757-3\",\"DOIUrl\":null,\"url\":null,\"abstract\":\"<p><p>The optimal duration of on-scene cardiopulmonary resuscitation (CPR) for out-of-hospital cardiac arrest (OHCA) patients remains uncertain. Determining this critical time period requires outweighing the potential risks associated with intra-arrest transport while minimizing delays in accessing definitive hospital-based treatments. This study evaluated the association between on-scene CPR duration and 30-day neurologically favorable survival based on the transport time interval (TTI) in patients with OHCA. We retrospectively analyzed data from the Korean Cardiac Arrest Research Consortium registry of OHCA, comprising 65 participating hospitals in South Korea, between October 2015 and December 2021. We categorized the patients into Short-TTI (TTI < 10 min) and Long-TTI (TTI ≥ 10 min) groups. Differences in clinical features were adjusted for using propensity score matching (PSM) for TTI. The primary outcome was a 30-day neurologically favorable outcome, defined as cerebral performance category 1 or 2. Multivariable logistic regression was used to determine the variables associated with clinical outcomes. A generalized additive model based on a restricted cubic spline smooth function was utilized to infer the optimal cutoff point for on-scene CPR duration. Of the 6,345 patients, 5,844 PSM pairings were created (Short-TTI: 2,922; Long-TTI: 2,922). The primary outcome was achieved in 7.4% and 9.8% of the patients in Short-TTI and Long-TTI groups, respectively (p = 0.001). Increased on-scene CPR duration was associated with decreased neurologically favorable survival (adjusted odds ratio, 0.94; 95% confidence interval, 0.92-0.96). The optimal on-scene CPR durations in the overall PSM, Short-TTI, and Long-TTI groups were 5.1, 0, and 5.0 min, respectively. An adjusted on-scene CPR duration based on expected transport duration may be beneficial for favorable clinical outcomes in patients with OHCA.</p>\",\"PeriodicalId\":21811,\"journal\":{\"name\":\"Scientific Reports\",\"volume\":\"15 1\",\"pages\":\"3245\"},\"PeriodicalIF\":3.9000,\"publicationDate\":\"2025-01-25\",\"publicationTypes\":\"Journal Article\",\"fieldsOfStudy\":null,\"isOpenAccess\":false,\"openAccessPdf\":\"https://www.ncbi.nlm.nih.gov/pmc/articles/PMC11762299/pdf/\",\"citationCount\":\"0\",\"resultStr\":null,\"platform\":\"Semanticscholar\",\"paperid\":null,\"PeriodicalName\":\"Scientific Reports\",\"FirstCategoryId\":\"103\",\"ListUrlMain\":\"https://doi.org/10.1038/s41598-025-87757-3\",\"RegionNum\":2,\"RegionCategory\":\"综合性期刊\",\"ArticlePicture\":[],\"TitleCN\":null,\"AbstractTextCN\":null,\"PMCID\":null,\"EPubDate\":\"\",\"PubModel\":\"\",\"JCR\":\"Q1\",\"JCRName\":\"MULTIDISCIPLINARY SCIENCES\",\"Score\":null,\"Total\":0}","platform":"Semanticscholar","paperid":null,"PeriodicalName":"Scientific Reports","FirstCategoryId":"103","ListUrlMain":"https://doi.org/10.1038/s41598-025-87757-3","RegionNum":2,"RegionCategory":"综合性期刊","ArticlePicture":[],"TitleCN":null,"AbstractTextCN":null,"PMCID":null,"EPubDate":"","PubModel":"","JCR":"Q1","JCRName":"MULTIDISCIPLINARY SCIENCES","Score":null,"Total":0}
引用次数: 0

摘要

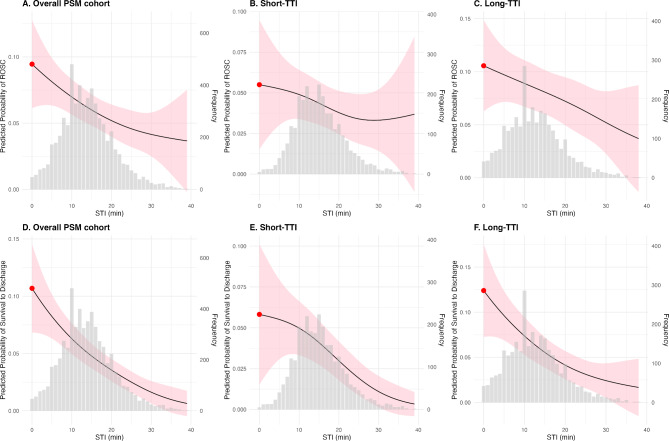
院外心脏骤停(OHCA)患者现场心肺复苏(CPR)的最佳持续时间仍不确定。确定这一关键时期,需要权衡与骤停内转运相关的潜在风险,同时最大限度地减少获得最终医院治疗的延误。本研究基于转运时间间隔(TTI)评估了OHCA患者现场CPR持续时间与30天神经系统有利生存之间的关系。我们回顾性分析了2015年10月至2021年12月期间韩国心脏骤停研究联盟OHCA登记处的数据,其中包括韩国65家参与医院。我们将患者分为短型TTI (TTI)
本文章由计算机程序翻译,如有差异,请以英文原文为准。

Adjusting on-scene CPR duration based on transport time interval in out-of-hospital cardiac arrest: a nationwide multicenter study.

Adjusting on-scene CPR duration based on transport time interval in out-of-hospital cardiac arrest: a nationwide multicenter study.

Adjusting on-scene CPR duration based on transport time interval in out-of-hospital cardiac arrest: a nationwide multicenter study.

Adjusting on-scene CPR duration based on transport time interval in out-of-hospital cardiac arrest: a nationwide multicenter study.

The optimal duration of on-scene cardiopulmonary resuscitation (CPR) for out-of-hospital cardiac arrest (OHCA) patients remains uncertain. Determining this critical time period requires outweighing the potential risks associated with intra-arrest transport while minimizing delays in accessing definitive hospital-based treatments. This study evaluated the association between on-scene CPR duration and 30-day neurologically favorable survival based on the transport time interval (TTI) in patients with OHCA. We retrospectively analyzed data from the Korean Cardiac Arrest Research Consortium registry of OHCA, comprising 65 participating hospitals in South Korea, between October 2015 and December 2021. We categorized the patients into Short-TTI (TTI < 10 min) and Long-TTI (TTI ≥ 10 min) groups. Differences in clinical features were adjusted for using propensity score matching (PSM) for TTI. The primary outcome was a 30-day neurologically favorable outcome, defined as cerebral performance category 1 or 2. Multivariable logistic regression was used to determine the variables associated with clinical outcomes. A generalized additive model based on a restricted cubic spline smooth function was utilized to infer the optimal cutoff point for on-scene CPR duration. Of the 6,345 patients, 5,844 PSM pairings were created (Short-TTI: 2,922; Long-TTI: 2,922). The primary outcome was achieved in 7.4% and 9.8% of the patients in Short-TTI and Long-TTI groups, respectively (p = 0.001). Increased on-scene CPR duration was associated with decreased neurologically favorable survival (adjusted odds ratio, 0.94; 95% confidence interval, 0.92-0.96). The optimal on-scene CPR durations in the overall PSM, Short-TTI, and Long-TTI groups were 5.1, 0, and 5.0 min, respectively. An adjusted on-scene CPR duration based on expected transport duration may be beneficial for favorable clinical outcomes in patients with OHCA.

求助全文
通过发布文献求助,成功后即可免费获取论文全文。 去求助
来源期刊
Scientific Reports
Scientific Reports Natural Science Disciplines-
CiteScore
7.50
自引率
4.30%
发文量
19567
审稿时长
3.9 months
期刊介绍: We publish original research from all areas of the natural sciences, psychology, medicine and engineering. You can learn more about what we publish by browsing our specific scientific subject areas below or explore Scientific Reports by browsing all articles and collections. Scientific Reports has a 2-year impact factor: 4.380 (2021), and is the 6th most-cited journal in the world, with more than 540,000 citations in 2020 (Clarivate Analytics, 2021). •Engineering Engineering covers all aspects of engineering, technology, and applied science. It plays a crucial role in the development of technologies to address some of the world''s biggest challenges, helping to save lives and improve the way we live. •Physical sciences Physical sciences are those academic disciplines that aim to uncover the underlying laws of nature — often written in the language of mathematics. It is a collective term for areas of study including astronomy, chemistry, materials science and physics. •Earth and environmental sciences Earth and environmental sciences cover all aspects of Earth and planetary science and broadly encompass solid Earth processes, surface and atmospheric dynamics, Earth system history, climate and climate change, marine and freshwater systems, and ecology. It also considers the interactions between humans and these systems. •Biological sciences Biological sciences encompass all the divisions of natural sciences examining various aspects of vital processes. The concept includes anatomy, physiology, cell biology, biochemistry and biophysics, and covers all organisms from microorganisms, animals to plants. •Health sciences The health sciences study health, disease and healthcare. This field of study aims to develop knowledge, interventions and technology for use in healthcare to improve the treatment of patients.
×
引用
GB/T 7714-2015
复制
MLA
复制
APA
复制
导出至
BibTeX EndNote RefMan NoteFirst NoteExpress
×
提示
您的信息不完整,为了账户安全,请先补充。
现在去补充
×
提示
您因"违规操作"
具体请查看互助需知
我知道了
×
提示
确定
请完成安全验证×
copy
已复制链接
快去分享给好友吧!
我知道了
右上角分享
点击右上角分享
0
联系我们:info@booksci.cn Book学术提供免费学术资源搜索服务,方便国内外学者检索中英文文献。致力于提供最便捷和优质的服务体验。 Copyright © 2023 布克学术 All rights reserved.
京ICP备2023020795号-1
ghs 京公网安备 11010802042870号
Book学术文献互助
Book学术文献互助群
群 号:604180095
Book学术官方微信