海洋天然产物作为新型抗癌药物的来源:最新综述(2019-2023)。

IF 4.9 3区 化学 Q1 CHEMISTRY, MEDICINAL
Hesham R. El-Seedi, Mohamed S. Refaey, Nizar Elias, Mohamed F. El-Mallah, Faisal M. K. Albaqami, Ismail Dergaa, Ming Du, Mohamed F. Salem, Haroon Elrasheid Tahir, Maria Dagliaa, Nermeen Yosri, Hongcheng Zhang, Awg H. El-Seedi, Zhiming Guo, Shaden A. M. Khalifa
{"title":"海洋天然产物作为新型抗癌药物的来源:最新综述(2019-2023)。","authors":"Hesham R. El-Seedi,&nbsp;Mohamed S. Refaey,&nbsp;Nizar Elias,&nbsp;Mohamed F. El-Mallah,&nbsp;Faisal M. K. Albaqami,&nbsp;Ismail Dergaa,&nbsp;Ming Du,&nbsp;Mohamed F. Salem,&nbsp;Haroon Elrasheid Tahir,&nbsp;Maria Dagliaa,&nbsp;Nermeen Yosri,&nbsp;Hongcheng Zhang,&nbsp;Awg H. El-Seedi,&nbsp;Zhiming Guo,&nbsp;Shaden A. M. Khalifa","doi":"10.1007/s13659-024-00493-5","DOIUrl":null,"url":null,"abstract":"<div><p>Marine natural products have long been recognized as a vast and diverse source of bioactive compounds with potential therapeutic applications, particularly in oncology. This review provides an updated overview of the significant advances made in the discovery and development of marine-derived anticancer drugs between 2019 and 2023. With a focus on recent research findings, the review explores the rich biodiversity of marine organisms, including sponges, corals, algae, and microorganisms, which have yielded numerous compounds exhibiting promising anticancer properties. Emphasizing the multifaceted mechanisms of action, the review discusses the molecular targets and pathways targeted by these compounds, such as cell cycle regulation, apoptosis induction, angiogenesis inhibition, and modulation of signaling pathways. Additionally, the review highlights the innovative strategies employed in the isolation, structural elucidation, and chemical modification of marine natural products to enhance their potency, selectivity, and pharmacological properties. Furthermore, it addresses the challenges and opportunities associated with the development of marine-derived anticancer drugs, including issues related to supply, sustainability, synthesis, and clinical translation. Finally, the review underscores the immense potential of marine natural products as a valuable reservoir of novel anticancer agents and advocates for continued exploration and exploitation of the marine environment to address the unmet medical needs in cancer therapy</p><h3>Graphical Abstract</h3><div><figure><div><div><picture><source><img></source></picture></div></div></figure></div></div>","PeriodicalId":718,"journal":{"name":"Natural Products and Bioprospecting","volume":"15 1","pages":""},"PeriodicalIF":4.9000,"publicationDate":"2025-01-24","publicationTypes":"Journal Article","fieldsOfStudy":null,"isOpenAccess":false,"openAccessPdf":"https://www.ncbi.nlm.nih.gov/pmc/articles/PMC11759743/pdf/","citationCount":"0","resultStr":"{\"title\":\"Marine natural products as a source of novel anticancer drugs: an updated review (2019–2023)\",\"authors\":\"Hesham R. El-Seedi,&nbsp;Mohamed S. Refaey,&nbsp;Nizar Elias,&nbsp;Mohamed F. El-Mallah,&nbsp;Faisal M. K. Albaqami,&nbsp;Ismail Dergaa,&nbsp;Ming Du,&nbsp;Mohamed F. Salem,&nbsp;Haroon Elrasheid Tahir,&nbsp;Maria Dagliaa,&nbsp;Nermeen Yosri,&nbsp;Hongcheng Zhang,&nbsp;Awg H. El-Seedi,&nbsp;Zhiming Guo,&nbsp;Shaden A. M. Khalifa\",\"doi\":\"10.1007/s13659-024-00493-5\",\"DOIUrl\":null,\"url\":null,\"abstract\":\"<div><p>Marine natural products have long been recognized as a vast and diverse source of bioactive compounds with potential therapeutic applications, particularly in oncology. This review provides an updated overview of the significant advances made in the discovery and development of marine-derived anticancer drugs between 2019 and 2023. With a focus on recent research findings, the review explores the rich biodiversity of marine organisms, including sponges, corals, algae, and microorganisms, which have yielded numerous compounds exhibiting promising anticancer properties. Emphasizing the multifaceted mechanisms of action, the review discusses the molecular targets and pathways targeted by these compounds, such as cell cycle regulation, apoptosis induction, angiogenesis inhibition, and modulation of signaling pathways. Additionally, the review highlights the innovative strategies employed in the isolation, structural elucidation, and chemical modification of marine natural products to enhance their potency, selectivity, and pharmacological properties. Furthermore, it addresses the challenges and opportunities associated with the development of marine-derived anticancer drugs, including issues related to supply, sustainability, synthesis, and clinical translation. Finally, the review underscores the immense potential of marine natural products as a valuable reservoir of novel anticancer agents and advocates for continued exploration and exploitation of the marine environment to address the unmet medical needs in cancer therapy</p><h3>Graphical Abstract</h3><div><figure><div><div><picture><source><img></source></picture></div></div></figure></div></div>\",\"PeriodicalId\":718,\"journal\":{\"name\":\"Natural Products and Bioprospecting\",\"volume\":\"15 1\",\"pages\":\"\"},\"PeriodicalIF\":4.9000,\"publicationDate\":\"2025-01-24\",\"publicationTypes\":\"Journal Article\",\"fieldsOfStudy\":null,\"isOpenAccess\":false,\"openAccessPdf\":\"https://www.ncbi.nlm.nih.gov/pmc/articles/PMC11759743/pdf/\",\"citationCount\":\"0\",\"resultStr\":null,\"platform\":\"Semanticscholar\",\"paperid\":null,\"PeriodicalName\":\"Natural Products and Bioprospecting\",\"FirstCategoryId\":\"92\",\"ListUrlMain\":\"https://link.springer.com/article/10.1007/s13659-024-00493-5\",\"RegionNum\":3,\"RegionCategory\":\"化学\",\"ArticlePicture\":[],\"TitleCN\":null,\"AbstractTextCN\":null,\"PMCID\":null,\"EPubDate\":\"\",\"PubModel\":\"\",\"JCR\":\"Q1\",\"JCRName\":\"CHEMISTRY, MEDICINAL\",\"Score\":null,\"Total\":0}","platform":"Semanticscholar","paperid":null,"PeriodicalName":"Natural Products and Bioprospecting","FirstCategoryId":"92","ListUrlMain":"https://link.springer.com/article/10.1007/s13659-024-00493-5","RegionNum":3,"RegionCategory":"化学","ArticlePicture":[],"TitleCN":null,"AbstractTextCN":null,"PMCID":null,"EPubDate":"","PubModel":"","JCR":"Q1","JCRName":"CHEMISTRY, MEDICINAL","Score":null,"Total":0}
引用次数: 0

摘要

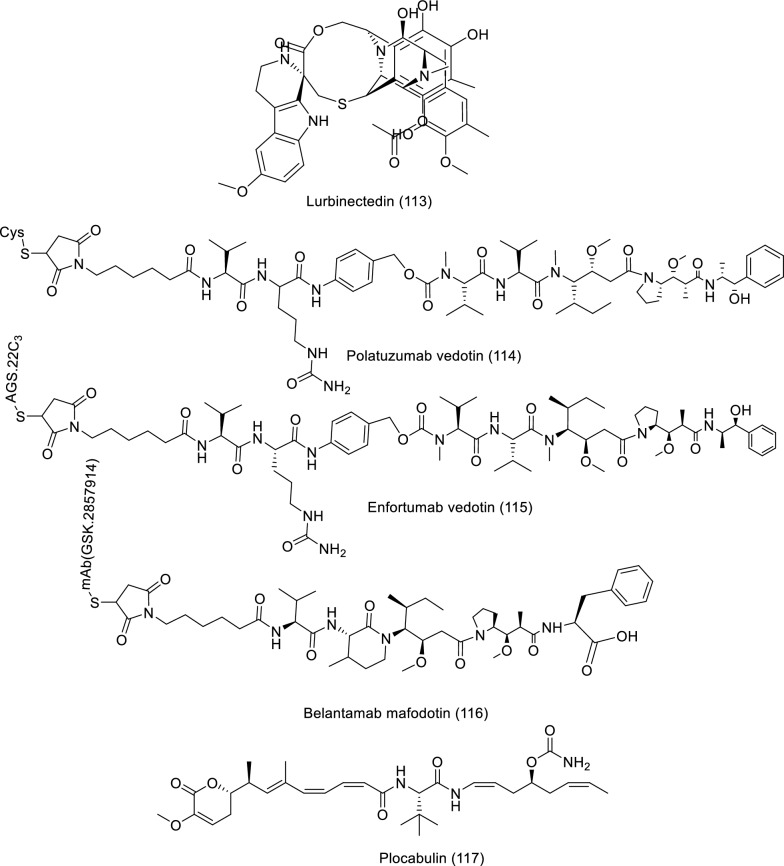
长期以来,海洋天然产品一直被认为是具有潜在治疗应用的生物活性化合物的巨大和多样化来源,特别是在肿瘤学方面。本综述对2019年至2023年间海洋来源抗癌药物的发现和开发取得的重大进展进行了最新概述。本综述以最新的研究成果为重点,探讨了丰富的海洋生物多样性,包括海绵、珊瑚、藻类和微生物,这些生物已经产生了许多具有抗癌特性的化合物。综述了这些化合物的作用机制,从调控细胞周期、诱导细胞凋亡、抑制血管生成、调控信号通路等方面阐述了其作用机制。此外,本文还重点介绍了在海洋天然产物的分离、结构解析和化学修饰方面采用的创新策略,以提高其效力、选择性和药理学性质。此外,它还解决了与海洋衍生抗癌药物开发相关的挑战和机遇,包括与供应、可持续性、合成和临床转化相关的问题。最后,该综述强调了海洋天然产品作为新型抗癌药物的宝贵储库的巨大潜力,并倡导继续探索和开发海洋环境,以解决癌症治疗中未满足的医疗需求。
本文章由计算机程序翻译,如有差异,请以英文原文为准。

Marine natural products as a source of novel anticancer drugs: an updated review (2019–2023)

Marine natural products as a source of novel anticancer drugs: an updated review (2019–2023)

Marine natural products as a source of novel anticancer drugs: an updated review (2019–2023)

Marine natural products as a source of novel anticancer drugs: an updated review (2019–2023)

Marine natural products have long been recognized as a vast and diverse source of bioactive compounds with potential therapeutic applications, particularly in oncology. This review provides an updated overview of the significant advances made in the discovery and development of marine-derived anticancer drugs between 2019 and 2023. With a focus on recent research findings, the review explores the rich biodiversity of marine organisms, including sponges, corals, algae, and microorganisms, which have yielded numerous compounds exhibiting promising anticancer properties. Emphasizing the multifaceted mechanisms of action, the review discusses the molecular targets and pathways targeted by these compounds, such as cell cycle regulation, apoptosis induction, angiogenesis inhibition, and modulation of signaling pathways. Additionally, the review highlights the innovative strategies employed in the isolation, structural elucidation, and chemical modification of marine natural products to enhance their potency, selectivity, and pharmacological properties. Furthermore, it addresses the challenges and opportunities associated with the development of marine-derived anticancer drugs, including issues related to supply, sustainability, synthesis, and clinical translation. Finally, the review underscores the immense potential of marine natural products as a valuable reservoir of novel anticancer agents and advocates for continued exploration and exploitation of the marine environment to address the unmet medical needs in cancer therapy

Graphical Abstract

求助全文
通过发布文献求助,成功后即可免费获取论文全文。 去求助
来源期刊
Natural Products and Bioprospecting
Natural Products and Bioprospecting CHEMISTRY, MEDICINAL-
CiteScore
8.30
自引率
2.10%
发文量
39
审稿时长
13 weeks
期刊介绍: Natural Products and Bioprospecting serves as an international forum for essential research on natural products and focuses on, but is not limited to, the following aspects: Natural products: isolation and structure elucidation Natural products: synthesis Biological evaluation of biologically active natural products Bioorganic and medicinal chemistry Biosynthesis and microbiological transformation Fermentation and plant tissue cultures Bioprospecting of natural products from natural resources All research articles published in this journal have undergone rigorous peer review. In addition to original research articles, Natural Products and Bioprospecting publishes reviews and short communications, aiming to rapidly disseminate the research results of timely interest, and comprehensive reviews of emerging topics in all the areas of natural products. It is also an open access journal, which provides free access to its articles to anyone, anywhere.
×
引用
GB/T 7714-2015
复制
MLA
复制
APA
复制
导出至
BibTeX EndNote RefMan NoteFirst NoteExpress
×
提示
您的信息不完整,为了账户安全,请先补充。
现在去补充
×
提示
您因"违规操作"
具体请查看互助需知
我知道了
×
提示
确定
请完成安全验证×
copy
已复制链接
快去分享给好友吧!
我知道了
右上角分享
点击右上角分享
0
联系我们:info@booksci.cn Book学术提供免费学术资源搜索服务,方便国内外学者检索中英文文献。致力于提供最便捷和优质的服务体验。 Copyright © 2023 布克学术 All rights reserved.
京ICP备2023020795号-1
ghs 京公网安备 11010802042870号
Book学术文献互助
Book学术文献互助群
群 号:604180095
Book学术官方微信