青少年特发性关节炎在治疗前到治疗目标的十年中缓解的频率。

IF 2.3 3区 医学 Q1 PEDIATRICS
Ana Isabel Rebollo-Giménez, Angela Pistorio, Silvia Maria Orsi, Francesca Ridella, Elena Aldera, Luca Carlini, Valentina Natoli, Marco Burrone, Silvia Rosina, Roberta Naddei, Alessandro Consolaro, Esperanza Naredo, Angelo Ravelli
{"title":"青少年特发性关节炎在治疗前到治疗目标的十年中缓解的频率。","authors":"Ana Isabel Rebollo-Giménez, Angela Pistorio, Silvia Maria Orsi, Francesca Ridella, Elena Aldera, Luca Carlini, Valentina Natoli, Marco Burrone, Silvia Rosina, Roberta Naddei, Alessandro Consolaro, Esperanza Naredo, Angelo Ravelli","doi":"10.1186/s12969-025-01057-8","DOIUrl":null,"url":null,"abstract":"<p><strong>Background: </strong>Over the past two decades there has been a remarkable advance in the management of juvenile idiopathic arthritis (JIA), which has led to considerable improvement in prognosis. In 2018, the introduction of the treat-to-target (T2T) strategy in JIA has been advocated to further ameliorate disease outcome. To provide a benchmark for comparing future outcomes in the \"T2T era\", this study investigates the percentage of JIA patients who achieved clinical inactive disease (CID) in the decade that preceded the publication of the T2T recommendations in JIA.</p><p><strong>Methods: </strong>The clinical charts of all JIA patients followed at the study center between 2007 and 2017 who were first seen within 6 months after disease onset and had a minimum of 6-month follow-up information available were reviewed retrospectively. The attainment of CID, defined by 2004 Wallace criteria, was assessed cross-sectionally at 6, 12, 24, and 60 months after first observation.</p><p><strong>Results: </strong>A total of 394 patients were included. Patients were classified into four \"functional phenotypes\": systemic arthritis (7.1%), oligoarthritis (48.2%), polyarthritis (40.4%), and other arthritis (4.3%). The overall frequency of CID was 25.1% at 6 months, 34.5% at 12 months, 44.6% at 24 months, and 49.1% at 60 months. The systemic and oligoarticular subgroups had the highest rates of CID at 6 months (32.1% and 29.5%, respectively) and at 12 months (40% and 41.1%, respectively). At the 60-month evaluation, which was available for 226 out of 394 patients (57.4%), the frequency of CID among patients still followed at study center was 42.9%, 51.7%, 46.7%, and 45.5% for the systemic, oligoarticular, polyarticular, and other arthritis phenotypes, respectively.</p><p><strong>Conclusion: </strong>A sizeable proportion of patients treated in the decade preceding the beginning of the \"T2T era\" and on continued follow-up did not achieve or maintain the state of CID over the long term. Future studies will determine whether the application of the T2T strategy increases the ability to achieve sustained disease quiescence in patients who respond suboptimally to the conventional therapeutic regimens.</p>","PeriodicalId":54630,"journal":{"name":"Pediatric Rheumatology","volume":"23 1","pages":"8"},"PeriodicalIF":2.3000,"publicationDate":"2025-01-23","publicationTypes":"Journal Article","fieldsOfStudy":null,"isOpenAccess":false,"openAccessPdf":"https://www.ncbi.nlm.nih.gov/pmc/articles/PMC11755886/pdf/","citationCount":"0","resultStr":"{\"title\":\"Frequency of remission achievement in the pre-treat-to-target decade in juvenile idiopathic arthritis.\",\"authors\":\"Ana Isabel Rebollo-Giménez, Angela Pistorio, Silvia Maria Orsi, Francesca Ridella, Elena Aldera, Luca Carlini, Valentina Natoli, Marco Burrone, Silvia Rosina, Roberta Naddei, Alessandro Consolaro, Esperanza Naredo, Angelo Ravelli\",\"doi\":\"10.1186/s12969-025-01057-8\",\"DOIUrl\":null,\"url\":null,\"abstract\":\"<p><strong>Background: </strong>Over the past two decades there has been a remarkable advance in the management of juvenile idiopathic arthritis (JIA), which has led to considerable improvement in prognosis. In 2018, the introduction of the treat-to-target (T2T) strategy in JIA has been advocated to further ameliorate disease outcome. To provide a benchmark for comparing future outcomes in the \\\"T2T era\\\", this study investigates the percentage of JIA patients who achieved clinical inactive disease (CID) in the decade that preceded the publication of the T2T recommendations in JIA.</p><p><strong>Methods: </strong>The clinical charts of all JIA patients followed at the study center between 2007 and 2017 who were first seen within 6 months after disease onset and had a minimum of 6-month follow-up information available were reviewed retrospectively. The attainment of CID, defined by 2004 Wallace criteria, was assessed cross-sectionally at 6, 12, 24, and 60 months after first observation.</p><p><strong>Results: </strong>A total of 394 patients were included. Patients were classified into four \\\"functional phenotypes\\\": systemic arthritis (7.1%), oligoarthritis (48.2%), polyarthritis (40.4%), and other arthritis (4.3%). The overall frequency of CID was 25.1% at 6 months, 34.5% at 12 months, 44.6% at 24 months, and 49.1% at 60 months. The systemic and oligoarticular subgroups had the highest rates of CID at 6 months (32.1% and 29.5%, respectively) and at 12 months (40% and 41.1%, respectively). At the 60-month evaluation, which was available for 226 out of 394 patients (57.4%), the frequency of CID among patients still followed at study center was 42.9%, 51.7%, 46.7%, and 45.5% for the systemic, oligoarticular, polyarticular, and other arthritis phenotypes, respectively.</p><p><strong>Conclusion: </strong>A sizeable proportion of patients treated in the decade preceding the beginning of the \\\"T2T era\\\" and on continued follow-up did not achieve or maintain the state of CID over the long term. Future studies will determine whether the application of the T2T strategy increases the ability to achieve sustained disease quiescence in patients who respond suboptimally to the conventional therapeutic regimens.</p>\",\"PeriodicalId\":54630,\"journal\":{\"name\":\"Pediatric Rheumatology\",\"volume\":\"23 1\",\"pages\":\"8\"},\"PeriodicalIF\":2.3000,\"publicationDate\":\"2025-01-23\",\"publicationTypes\":\"Journal Article\",\"fieldsOfStudy\":null,\"isOpenAccess\":false,\"openAccessPdf\":\"https://www.ncbi.nlm.nih.gov/pmc/articles/PMC11755886/pdf/\",\"citationCount\":\"0\",\"resultStr\":null,\"platform\":\"Semanticscholar\",\"paperid\":null,\"PeriodicalName\":\"Pediatric Rheumatology\",\"FirstCategoryId\":\"3\",\"ListUrlMain\":\"https://doi.org/10.1186/s12969-025-01057-8\",\"RegionNum\":3,\"RegionCategory\":\"医学\",\"ArticlePicture\":[],\"TitleCN\":null,\"AbstractTextCN\":null,\"PMCID\":null,\"EPubDate\":\"\",\"PubModel\":\"\",\"JCR\":\"Q1\",\"JCRName\":\"PEDIATRICS\",\"Score\":null,\"Total\":0}","platform":"Semanticscholar","paperid":null,"PeriodicalName":"Pediatric Rheumatology","FirstCategoryId":"3","ListUrlMain":"https://doi.org/10.1186/s12969-025-01057-8","RegionNum":3,"RegionCategory":"医学","ArticlePicture":[],"TitleCN":null,"AbstractTextCN":null,"PMCID":null,"EPubDate":"","PubModel":"","JCR":"Q1","JCRName":"PEDIATRICS","Score":null,"Total":0}
引用次数: 0

摘要

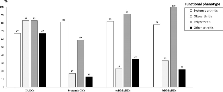
背景:在过去的二十年里,青少年特发性关节炎(JIA)的治疗取得了显著的进展,这导致了预后的显著改善。2018年,人们提倡在JIA中引入治疗到目标(T2T)策略,以进一步改善疾病结局。为了提供比较“T2T时代”未来结果的基准,本研究调查了JIA患者在发表T2T建议之前的十年中达到临床非活动性疾病(CID)的百分比。方法:回顾性分析2007 - 2017年在研究中心随访的所有JIA患者的临床图表,这些患者在发病后6个月内首次就诊,随访时间至少为6个月。在首次观察后的第6、12、24和60个月进行横断面评估,以2004年Wallace标准定义CID的实现情况。结果:共纳入394例患者。患者被分为四种“功能性表型”:系统性关节炎(7.1%)、寡关节炎(48.2%)、多发性关节炎(40.4%)和其他关节炎(4.3%)。6个月时CID的总频率为25.1%,12个月时为34.5%,24个月时为44.6%,60个月时为49.1%。全身和少关节亚组在6个月(分别为32.1%和29.5%)和12个月(分别为40%和41.1%)时的CID发生率最高。在60个月的评估中,394例患者中有226例(57.4%),在研究中心随访的患者中,系统性、少关节型、多关节型和其他关节炎表型的CID频率分别为42.9%、51.7%、46.7%和45.5%。结论:相当大比例的患者在“T2T时代”开始前10年接受治疗,并在持续随访中没有达到或维持长期的CID状态。未来的研究将确定T2T策略的应用是否能增加对传统治疗方案反应不佳的患者实现持续疾病静止的能力。
本文章由计算机程序翻译,如有差异,请以英文原文为准。

Frequency of remission achievement in the pre-treat-to-target decade in juvenile idiopathic arthritis.

Frequency of remission achievement in the pre-treat-to-target decade in juvenile idiopathic arthritis.

Frequency of remission achievement in the pre-treat-to-target decade in juvenile idiopathic arthritis.

Frequency of remission achievement in the pre-treat-to-target decade in juvenile idiopathic arthritis.

Background: Over the past two decades there has been a remarkable advance in the management of juvenile idiopathic arthritis (JIA), which has led to considerable improvement in prognosis. In 2018, the introduction of the treat-to-target (T2T) strategy in JIA has been advocated to further ameliorate disease outcome. To provide a benchmark for comparing future outcomes in the "T2T era", this study investigates the percentage of JIA patients who achieved clinical inactive disease (CID) in the decade that preceded the publication of the T2T recommendations in JIA.

Methods: The clinical charts of all JIA patients followed at the study center between 2007 and 2017 who were first seen within 6 months after disease onset and had a minimum of 6-month follow-up information available were reviewed retrospectively. The attainment of CID, defined by 2004 Wallace criteria, was assessed cross-sectionally at 6, 12, 24, and 60 months after first observation.

Results: A total of 394 patients were included. Patients were classified into four "functional phenotypes": systemic arthritis (7.1%), oligoarthritis (48.2%), polyarthritis (40.4%), and other arthritis (4.3%). The overall frequency of CID was 25.1% at 6 months, 34.5% at 12 months, 44.6% at 24 months, and 49.1% at 60 months. The systemic and oligoarticular subgroups had the highest rates of CID at 6 months (32.1% and 29.5%, respectively) and at 12 months (40% and 41.1%, respectively). At the 60-month evaluation, which was available for 226 out of 394 patients (57.4%), the frequency of CID among patients still followed at study center was 42.9%, 51.7%, 46.7%, and 45.5% for the systemic, oligoarticular, polyarticular, and other arthritis phenotypes, respectively.

Conclusion: A sizeable proportion of patients treated in the decade preceding the beginning of the "T2T era" and on continued follow-up did not achieve or maintain the state of CID over the long term. Future studies will determine whether the application of the T2T strategy increases the ability to achieve sustained disease quiescence in patients who respond suboptimally to the conventional therapeutic regimens.

求助全文
通过发布文献求助,成功后即可免费获取论文全文。 去求助
来源期刊
Pediatric Rheumatology
Pediatric Rheumatology PEDIATRICS-RHEUMATOLOGY
CiteScore
4.10
自引率
8.00%
发文量
95
审稿时长
>12 weeks
期刊介绍: Pediatric Rheumatology is an open access, peer-reviewed, online journal encompassing all aspects of clinical and basic research related to pediatric rheumatology and allied subjects. The journal’s scope of diseases and syndromes include musculoskeletal pain syndromes, rheumatic fever and post-streptococcal syndromes, juvenile idiopathic arthritis, systemic lupus erythematosus, juvenile dermatomyositis, local and systemic scleroderma, Kawasaki disease, Henoch-Schonlein purpura and other vasculitides, sarcoidosis, inherited musculoskeletal syndromes, autoinflammatory syndromes, and others.
×
引用
GB/T 7714-2015
复制
MLA
复制
APA
复制
导出至
BibTeX EndNote RefMan NoteFirst NoteExpress
×
提示
您的信息不完整,为了账户安全,请先补充。
现在去补充
×
提示
您因"违规操作"
具体请查看互助需知
我知道了
×
提示
确定
请完成安全验证×
copy
已复制链接
快去分享给好友吧!
我知道了
右上角分享
点击右上角分享
0
联系我们:info@booksci.cn Book学术提供免费学术资源搜索服务,方便国内外学者检索中英文文献。致力于提供最便捷和优质的服务体验。 Copyright © 2023 布克学术 All rights reserved.
京ICP备2023020795号-1
ghs 京公网安备 11010802042870号
Book学术文献互助
Book学术文献互助群
群 号:604180095
Book学术官方微信