口吃的自我知觉:与听力自我知觉、流利程度和语境方面的关系。

IF 0.8 Q4 AUDIOLOGY & SPEECH-LANGUAGE PATHOLOGY
CoDAS Pub Date : 2025-01-20 eCollection Date: 2025-01-01 DOI:10.1590/2317-1782/e20240103en
Camila Eduarda Elias Silva, Denise Brandão de Oliveira Britto, Stela Maris Aguiar Lemos
{"title":"口吃的自我知觉:与听力自我知觉、流利程度和语境方面的关系。","authors":"Camila Eduarda Elias Silva, Denise Brandão de Oliveira Britto, Stela Maris Aguiar Lemos","doi":"10.1590/2317-1782/e20240103en","DOIUrl":null,"url":null,"abstract":"<p><strong>Purpose: </strong>This study investigated the association between self-perception of stuttering and self-perception of hearing, speech fluency profile, and contextual aspects in Brazilian adults who stutter.</p><p><strong>Methods: </strong>Fifty-five adults who stutter (ages 18 to 58 years), speakers of Brazilian Portuguese speakers, participated in an observational study that included: (a) a clinical history survey to collect identification, sociodemographic, clinical, and assistance data; (b) the Brazil Economic Classification Criteria (CCEB); (c) a hearing self-perception questionnaire (Speech, Spatial and Qualities of Hearing Scale - SSQ, version 5.6); (d) self-perception of the impact of stuttering (Brazilian Portuguese version of the Overall Assessment of the Speaker's Experience of Stuttering - Adults - OASES-A); and (e) an assessment of speech fluency (Fluency Profile Assessment Protocol -- PAPF). Data analysis consisted of descriptive and bivariate analysis using Pearson's chi-square, Mann-Whitney, Kruskal-Wallis, and Spearman correlation coefficient.</p><p><strong>Results: </strong>Most participants were classified as moderate to severe in the total classification of the impact of stuttering. There were moderate and weak negative correlations between the participants' self-perception of stuttering and self-perception of hearing.</p><p><strong>Conclusion: </strong>Self-perception of auditory abilities was greater to the extent that self-perception of the impacts of stuttering on quality of life was lower.</p>","PeriodicalId":46547,"journal":{"name":"CoDAS","volume":"37 1","pages":"e20240103"},"PeriodicalIF":0.8000,"publicationDate":"2025-01-20","publicationTypes":"Journal Article","fieldsOfStudy":null,"isOpenAccess":false,"openAccessPdf":"https://www.ncbi.nlm.nih.gov/pmc/articles/PMC11758850/pdf/","citationCount":"0","resultStr":"{\"title\":\"Self-perception of stuttering: association with self-perception of hearing, fluency profile, and contextual aspects.\",\"authors\":\"Camila Eduarda Elias Silva, Denise Brandão de Oliveira Britto, Stela Maris Aguiar Lemos\",\"doi\":\"10.1590/2317-1782/e20240103en\",\"DOIUrl\":null,\"url\":null,\"abstract\":\"<p><strong>Purpose: </strong>This study investigated the association between self-perception of stuttering and self-perception of hearing, speech fluency profile, and contextual aspects in Brazilian adults who stutter.</p><p><strong>Methods: </strong>Fifty-five adults who stutter (ages 18 to 58 years), speakers of Brazilian Portuguese speakers, participated in an observational study that included: (a) a clinical history survey to collect identification, sociodemographic, clinical, and assistance data; (b) the Brazil Economic Classification Criteria (CCEB); (c) a hearing self-perception questionnaire (Speech, Spatial and Qualities of Hearing Scale - SSQ, version 5.6); (d) self-perception of the impact of stuttering (Brazilian Portuguese version of the Overall Assessment of the Speaker's Experience of Stuttering - Adults - OASES-A); and (e) an assessment of speech fluency (Fluency Profile Assessment Protocol -- PAPF). Data analysis consisted of descriptive and bivariate analysis using Pearson's chi-square, Mann-Whitney, Kruskal-Wallis, and Spearman correlation coefficient.</p><p><strong>Results: </strong>Most participants were classified as moderate to severe in the total classification of the impact of stuttering. There were moderate and weak negative correlations between the participants' self-perception of stuttering and self-perception of hearing.</p><p><strong>Conclusion: </strong>Self-perception of auditory abilities was greater to the extent that self-perception of the impacts of stuttering on quality of life was lower.</p>\",\"PeriodicalId\":46547,\"journal\":{\"name\":\"CoDAS\",\"volume\":\"37 1\",\"pages\":\"e20240103\"},\"PeriodicalIF\":0.8000,\"publicationDate\":\"2025-01-20\",\"publicationTypes\":\"Journal Article\",\"fieldsOfStudy\":null,\"isOpenAccess\":false,\"openAccessPdf\":\"https://www.ncbi.nlm.nih.gov/pmc/articles/PMC11758850/pdf/\",\"citationCount\":\"0\",\"resultStr\":null,\"platform\":\"Semanticscholar\",\"paperid\":null,\"PeriodicalName\":\"CoDAS\",\"FirstCategoryId\":\"1085\",\"ListUrlMain\":\"https://doi.org/10.1590/2317-1782/e20240103en\",\"RegionNum\":0,\"RegionCategory\":null,\"ArticlePicture\":[],\"TitleCN\":null,\"AbstractTextCN\":null,\"PMCID\":null,\"EPubDate\":\"2025/1/1 0:00:00\",\"PubModel\":\"eCollection\",\"JCR\":\"Q4\",\"JCRName\":\"AUDIOLOGY & SPEECH-LANGUAGE PATHOLOGY\",\"Score\":null,\"Total\":0}","platform":"Semanticscholar","paperid":null,"PeriodicalName":"CoDAS","FirstCategoryId":"1085","ListUrlMain":"https://doi.org/10.1590/2317-1782/e20240103en","RegionNum":0,"RegionCategory":null,"ArticlePicture":[],"TitleCN":null,"AbstractTextCN":null,"PMCID":null,"EPubDate":"2025/1/1 0:00:00","PubModel":"eCollection","JCR":"Q4","JCRName":"AUDIOLOGY & SPEECH-LANGUAGE PATHOLOGY","Score":null,"Total":0}
引用次数: 0

摘要

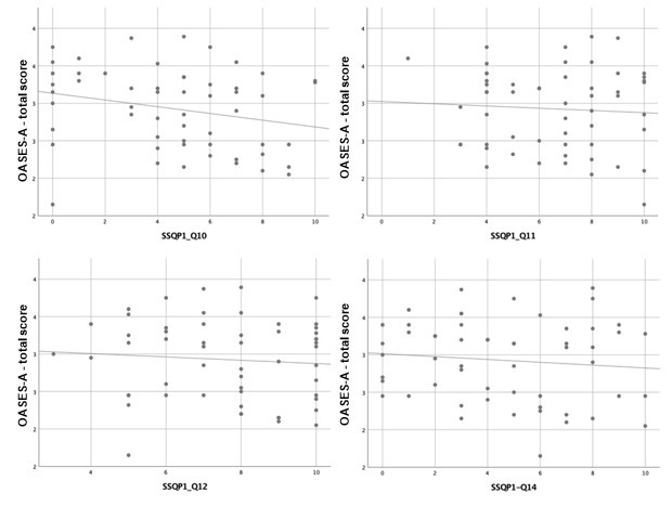
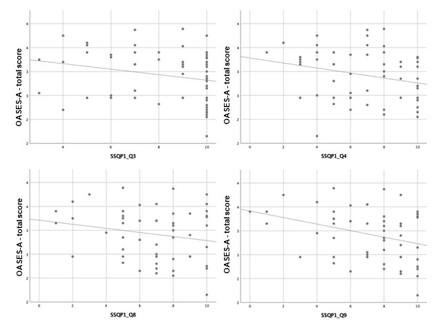
目的:本研究调查了巴西成年口吃者的口吃自我知觉与听力自我知觉、语言流畅性概况和语境方面的关系。方法:55名口吃成人(18 - 58岁),以巴西葡萄牙语为母语,参加了一项观察性研究,包括:(a)临床病史调查,收集识别、社会人口学、临床和援助数据;(b)巴西经济分类标准;(c)听力自我感知问卷(言语、空间和听力质量量表- SSQ,版本5.6);(d)对口吃影响的自我认知(巴西葡萄牙语版《说话人口吃经历总体评估-成人- OASES-A》);(e)语言流畅性评估(流畅性评估协议——PAPF)。数据分析包括描述性和双变量分析,使用Pearson卡方、Mann-Whitney、Kruskal-Wallis和Spearman相关系数。结果:大多数参与者在口吃影响的总体分类中被划分为中度至重度。被试的口吃自我知觉与听力自我知觉呈中、弱负相关。结论:听力能力的自我知觉程度高于口吃对生活质量影响的自我知觉程度。
本文章由计算机程序翻译,如有差异,请以英文原文为准。

Self-perception of stuttering: association with self-perception of hearing, fluency profile, and contextual aspects.

Self-perception of stuttering: association with self-perception of hearing, fluency profile, and contextual aspects.

Self-perception of stuttering: association with self-perception of hearing, fluency profile, and contextual aspects.

Self-perception of stuttering: association with self-perception of hearing, fluency profile, and contextual aspects.

Purpose: This study investigated the association between self-perception of stuttering and self-perception of hearing, speech fluency profile, and contextual aspects in Brazilian adults who stutter.

Methods: Fifty-five adults who stutter (ages 18 to 58 years), speakers of Brazilian Portuguese speakers, participated in an observational study that included: (a) a clinical history survey to collect identification, sociodemographic, clinical, and assistance data; (b) the Brazil Economic Classification Criteria (CCEB); (c) a hearing self-perception questionnaire (Speech, Spatial and Qualities of Hearing Scale - SSQ, version 5.6); (d) self-perception of the impact of stuttering (Brazilian Portuguese version of the Overall Assessment of the Speaker's Experience of Stuttering - Adults - OASES-A); and (e) an assessment of speech fluency (Fluency Profile Assessment Protocol -- PAPF). Data analysis consisted of descriptive and bivariate analysis using Pearson's chi-square, Mann-Whitney, Kruskal-Wallis, and Spearman correlation coefficient.

Results: Most participants were classified as moderate to severe in the total classification of the impact of stuttering. There were moderate and weak negative correlations between the participants' self-perception of stuttering and self-perception of hearing.

Conclusion: Self-perception of auditory abilities was greater to the extent that self-perception of the impacts of stuttering on quality of life was lower.

求助全文
通过发布文献求助,成功后即可免费获取论文全文。 去求助
来源期刊
CoDAS
CoDAS AUDIOLOGY & SPEECH-LANGUAGE PATHOLOGY-
CiteScore
0.90
自引率
12.50%
发文量
103
审稿时长
30 weeks
×
引用
GB/T 7714-2015
复制
MLA
复制
APA
复制
导出至
BibTeX EndNote RefMan NoteFirst NoteExpress
×
提示
您的信息不完整,为了账户安全,请先补充。
现在去补充
×
提示
您因"违规操作"
具体请查看互助需知
我知道了
×
提示
确定
请完成安全验证×
copy
已复制链接
快去分享给好友吧!
我知道了
右上角分享
点击右上角分享
0
联系我们:info@booksci.cn Book学术提供免费学术资源搜索服务,方便国内外学者检索中英文文献。致力于提供最便捷和优质的服务体验。 Copyright © 2023 布克学术 All rights reserved.
京ICP备2023020795号-1
ghs 京公网安备 11010802042870号
Book学术文献互助
Book学术文献互助群
群 号:604180095
Book学术官方微信