产卵和生长地点不同地域特征对太平洋牡蛎、长牡蛎生长和口感的影响。

Development & reproduction Pub Date : 2024-12-01 Epub Date: 2024-12-31 DOI:10.12717/DR.2024.28.4.175
Ji-Sung Moon, Hee-Jung Lee, Si-Chan Kim, Eun-Seo Lee, Josel Cadangin, Bo Hyun Joo, Su-Jin Park, Young Baek Hur, Taek-Jeong Nam, Youn Hee Choi
{"title":"产卵和生长地点不同地域特征对太平洋牡蛎、长牡蛎生长和口感的影响。","authors":"Ji-Sung Moon, Hee-Jung Lee, Si-Chan Kim, Eun-Seo Lee, Josel Cadangin, Bo Hyun Joo, Su-Jin Park, Young Baek Hur, Taek-Jeong Nam, Youn Hee Choi","doi":"10.12717/DR.2024.28.4.175","DOIUrl":null,"url":null,"abstract":"<p><p>While Pacific oysters are important commercial aquaculture species worldwide, the effect of hormonal regulation and environmental conditions on growth and taste profile have not been fully known. Insulin-like growth factor (IGF) systems are known to play a major role in regulating neuroendocrine functions across various physiological processes and are particularly involved in growth. IGFs expression also is directly related to the nutritional status of vertebrates, however, full mechanism has not been clearly identified in bivalves. In this study, differences in growth, IGFs expression, and taste according to cultivation site of Pacific oysters were investigated. Oysters were collected in three different spawning sites located on the south coast of Korea in July 2022 and hardened until June 2023. Then, the oysters were cultured in two different growing sites (Tongyeong site, TS; Geoje site, GS) for six months. The total weight of oysters, along with their condition index and tissue weight rate, was significantly higher in TS. Additionally, IGF expression was higher in TS during most of the sampled months. However, oysters from the GS scored higher in taste evaluations. The IGFs system in oysters shows a similar trend to previous studies, with higher levels in faster-growing individuals, suggesting oysters in TS were more adequately nourished by the surrounding environment in this research. However, in taste evaluation, oysters from the GS showed better results than those from the TS. Despite these results, determining whether one site is superior in certain aspects is still not fully possible, which warrants further investigations.</p>","PeriodicalId":72791,"journal":{"name":"Development & reproduction","volume":"28 4","pages":"175-186"},"PeriodicalIF":0.0000,"publicationDate":"2024-12-01","publicationTypes":"Journal Article","fieldsOfStudy":null,"isOpenAccess":false,"openAccessPdf":"https://www.ncbi.nlm.nih.gov/pmc/articles/PMC11750164/pdf/","citationCount":"0","resultStr":"{\"title\":\"Effect of Different Regional Characteristics of Spawning and Growing Sites on Growth and Taste of Pacific Oyster, <i>Crassostrea gigas</i>.\",\"authors\":\"Ji-Sung Moon, Hee-Jung Lee, Si-Chan Kim, Eun-Seo Lee, Josel Cadangin, Bo Hyun Joo, Su-Jin Park, Young Baek Hur, Taek-Jeong Nam, Youn Hee Choi\",\"doi\":\"10.12717/DR.2024.28.4.175\",\"DOIUrl\":null,\"url\":null,\"abstract\":\"<p><p>While Pacific oysters are important commercial aquaculture species worldwide, the effect of hormonal regulation and environmental conditions on growth and taste profile have not been fully known. Insulin-like growth factor (IGF) systems are known to play a major role in regulating neuroendocrine functions across various physiological processes and are particularly involved in growth. IGFs expression also is directly related to the nutritional status of vertebrates, however, full mechanism has not been clearly identified in bivalves. In this study, differences in growth, IGFs expression, and taste according to cultivation site of Pacific oysters were investigated. Oysters were collected in three different spawning sites located on the south coast of Korea in July 2022 and hardened until June 2023. Then, the oysters were cultured in two different growing sites (Tongyeong site, TS; Geoje site, GS) for six months. The total weight of oysters, along with their condition index and tissue weight rate, was significantly higher in TS. Additionally, IGF expression was higher in TS during most of the sampled months. However, oysters from the GS scored higher in taste evaluations. The IGFs system in oysters shows a similar trend to previous studies, with higher levels in faster-growing individuals, suggesting oysters in TS were more adequately nourished by the surrounding environment in this research. However, in taste evaluation, oysters from the GS showed better results than those from the TS. Despite these results, determining whether one site is superior in certain aspects is still not fully possible, which warrants further investigations.</p>\",\"PeriodicalId\":72791,\"journal\":{\"name\":\"Development & reproduction\",\"volume\":\"28 4\",\"pages\":\"175-186\"},\"PeriodicalIF\":0.0000,\"publicationDate\":\"2024-12-01\",\"publicationTypes\":\"Journal Article\",\"fieldsOfStudy\":null,\"isOpenAccess\":false,\"openAccessPdf\":\"https://www.ncbi.nlm.nih.gov/pmc/articles/PMC11750164/pdf/\",\"citationCount\":\"0\",\"resultStr\":null,\"platform\":\"Semanticscholar\",\"paperid\":null,\"PeriodicalName\":\"Development & reproduction\",\"FirstCategoryId\":\"1085\",\"ListUrlMain\":\"https://doi.org/10.12717/DR.2024.28.4.175\",\"RegionNum\":0,\"RegionCategory\":null,\"ArticlePicture\":[],\"TitleCN\":null,\"AbstractTextCN\":null,\"PMCID\":null,\"EPubDate\":\"2024/12/31 0:00:00\",\"PubModel\":\"Epub\",\"JCR\":\"\",\"JCRName\":\"\",\"Score\":null,\"Total\":0}","platform":"Semanticscholar","paperid":null,"PeriodicalName":"Development & reproduction","FirstCategoryId":"1085","ListUrlMain":"https://doi.org/10.12717/DR.2024.28.4.175","RegionNum":0,"RegionCategory":null,"ArticlePicture":[],"TitleCN":null,"AbstractTextCN":null,"PMCID":null,"EPubDate":"2024/12/31 0:00:00","PubModel":"Epub","JCR":"","JCRName":"","Score":null,"Total":0}
引用次数: 0

摘要

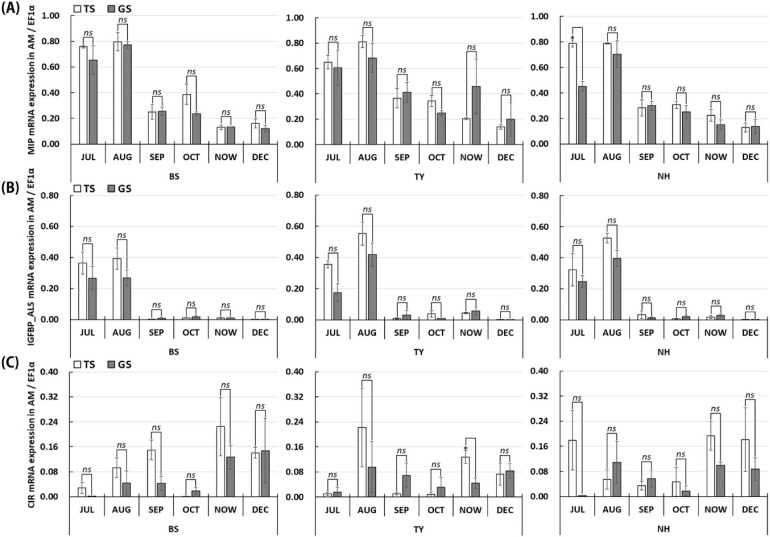
虽然太平洋牡蛎是世界范围内重要的商业养殖品种,但激素调节和环境条件对其生长和味道的影响尚不完全清楚。已知胰岛素样生长因子(IGF)系统在调节各种生理过程中的神经内分泌功能中起主要作用,特别是与生长有关。IGFs的表达也与脊椎动物的营养状况直接相关,但其在双壳类动物中的完整机制尚未明确。本研究考察了不同养殖地点对太平洋牡蛎生长、IGFs表达和口感的影响。2022年7月,在韩国南部海岸的三个不同产卵地点收集牡蛎,并在2023年6月之前进行硬化处理。然后,在两个不同的生长地点(统营地点,TS;巨济(GS), 6个月。牡蛎的总重、状态指数和组织重率在TS中显著升高,IGF在TS中的表达量在大部分采样月份都较高。然而,来自GS的牡蛎在味道评估中得分更高。牡蛎体内的IGFs系统与之前的研究显示出类似的趋势,生长速度较快的个体体内的IGFs水平更高,这表明在本研究中,TS中的牡蛎从周围环境中获得了更充分的营养。然而,在口感评价方面,GS产的牡蛎比TS产的要好。尽管如此,尚不能完全确定一个地点在某些方面是否优越,这需要进一步的研究。
本文章由计算机程序翻译,如有差异,请以英文原文为准。

Effect of Different Regional Characteristics of Spawning and Growing Sites on Growth and Taste of Pacific Oyster, <i>Crassostrea gigas</i>.

Effect of Different Regional Characteristics of Spawning and Growing Sites on Growth and Taste of Pacific Oyster, <i>Crassostrea gigas</i>.

Effect of Different Regional Characteristics of Spawning and Growing Sites on Growth and Taste of Pacific Oyster, <i>Crassostrea gigas</i>.

Effect of Different Regional Characteristics of Spawning and Growing Sites on Growth and Taste of Pacific Oyster, Crassostrea gigas.

While Pacific oysters are important commercial aquaculture species worldwide, the effect of hormonal regulation and environmental conditions on growth and taste profile have not been fully known. Insulin-like growth factor (IGF) systems are known to play a major role in regulating neuroendocrine functions across various physiological processes and are particularly involved in growth. IGFs expression also is directly related to the nutritional status of vertebrates, however, full mechanism has not been clearly identified in bivalves. In this study, differences in growth, IGFs expression, and taste according to cultivation site of Pacific oysters were investigated. Oysters were collected in three different spawning sites located on the south coast of Korea in July 2022 and hardened until June 2023. Then, the oysters were cultured in two different growing sites (Tongyeong site, TS; Geoje site, GS) for six months. The total weight of oysters, along with their condition index and tissue weight rate, was significantly higher in TS. Additionally, IGF expression was higher in TS during most of the sampled months. However, oysters from the GS scored higher in taste evaluations. The IGFs system in oysters shows a similar trend to previous studies, with higher levels in faster-growing individuals, suggesting oysters in TS were more adequately nourished by the surrounding environment in this research. However, in taste evaluation, oysters from the GS showed better results than those from the TS. Despite these results, determining whether one site is superior in certain aspects is still not fully possible, which warrants further investigations.

求助全文
通过发布文献求助,成功后即可免费获取论文全文。 去求助
来源期刊
自引率
0.00%
发文量
0
×
引用
GB/T 7714-2015
复制
MLA
复制
APA
复制
导出至
BibTeX EndNote RefMan NoteFirst NoteExpress
×
提示
您的信息不完整,为了账户安全,请先补充。
现在去补充
×
提示
您因"违规操作"
具体请查看互助需知
我知道了
×
提示
确定
请完成安全验证×
copy
已复制链接
快去分享给好友吧!
我知道了
右上角分享
点击右上角分享
0
联系我们:info@booksci.cn Book学术提供免费学术资源搜索服务,方便国内外学者检索中英文文献。致力于提供最便捷和优质的服务体验。 Copyright © 2023 布克学术 All rights reserved.
京ICP备2023020795号-1
ghs 京公网安备 11010802042870号
Book学术文献互助
Book学术文献互助群
群 号:604180095
Book学术官方微信