蓝光对香菇木屑栽培子实体产量及麦角硫因含量的影响

IF 2 4区 生物学 Q2 AGRONOMY
Mycobiology Pub Date : 2024-12-03 eCollection Date: 2024-01-01 DOI:10.1080/12298093.2024.2430052
Min-Jun Kim, Yeonsug Jeong, Mi-Jeong Park, Yeongseon Jang, Kang-Hyeon Ka
{"title":"蓝光对香菇木屑栽培子实体产量及麦角硫因含量的影响","authors":"Min-Jun Kim, Yeonsug Jeong, Mi-Jeong Park, Yeongseon Jang, Kang-Hyeon Ka","doi":"10.1080/12298093.2024.2430052","DOIUrl":null,"url":null,"abstract":"<p><p>The cultivation period of shiitake (<i>Lentinula edodes</i>) is approximately 120-150 d, which is longer than that of other edible mushrooms. The development of fruiting bodies in shiitake is affected by light exposure. In this study, we investigated the effects of blue light on the production and ergothioneine contents of shiitake mushrooms. Fruiting body production (yield) on the medium irradiated with blue light increased in both cultivars (L808, 555 ± 60 g/3 kg medium; Sanbackhyang, 1090 ± 106 g/3 kg medium). Additionally, blue light increased the ergothioneine contents and antioxidative activities, and the ergothioneine content of L808 (about 2.8 mg/g) was higher than that of Sanbackhyang (about 1.2 mg/g). These results suggest that blue light is effective in shortening the cultivation period and increasing ergothioneine contents during shiitake cultivation.</p>","PeriodicalId":18825,"journal":{"name":"Mycobiology","volume":"52 6","pages":"439-445"},"PeriodicalIF":2.0000,"publicationDate":"2024-12-03","publicationTypes":"Journal Article","fieldsOfStudy":null,"isOpenAccess":false,"openAccessPdf":"https://www.ncbi.nlm.nih.gov/pmc/articles/PMC11749003/pdf/","citationCount":"0","resultStr":"{\"title\":\"Effects of Blue Light on Fruiting Body Production and Ergothioneine Content During Sawdust Cultivation of Shiitake (<i>Lentinula edodes</i>).\",\"authors\":\"Min-Jun Kim, Yeonsug Jeong, Mi-Jeong Park, Yeongseon Jang, Kang-Hyeon Ka\",\"doi\":\"10.1080/12298093.2024.2430052\",\"DOIUrl\":null,\"url\":null,\"abstract\":\"<p><p>The cultivation period of shiitake (<i>Lentinula edodes</i>) is approximately 120-150 d, which is longer than that of other edible mushrooms. The development of fruiting bodies in shiitake is affected by light exposure. In this study, we investigated the effects of blue light on the production and ergothioneine contents of shiitake mushrooms. Fruiting body production (yield) on the medium irradiated with blue light increased in both cultivars (L808, 555 ± 60 g/3 kg medium; Sanbackhyang, 1090 ± 106 g/3 kg medium). Additionally, blue light increased the ergothioneine contents and antioxidative activities, and the ergothioneine content of L808 (about 2.8 mg/g) was higher than that of Sanbackhyang (about 1.2 mg/g). These results suggest that blue light is effective in shortening the cultivation period and increasing ergothioneine contents during shiitake cultivation.</p>\",\"PeriodicalId\":18825,\"journal\":{\"name\":\"Mycobiology\",\"volume\":\"52 6\",\"pages\":\"439-445\"},\"PeriodicalIF\":2.0000,\"publicationDate\":\"2024-12-03\",\"publicationTypes\":\"Journal Article\",\"fieldsOfStudy\":null,\"isOpenAccess\":false,\"openAccessPdf\":\"https://www.ncbi.nlm.nih.gov/pmc/articles/PMC11749003/pdf/\",\"citationCount\":\"0\",\"resultStr\":null,\"platform\":\"Semanticscholar\",\"paperid\":null,\"PeriodicalName\":\"Mycobiology\",\"FirstCategoryId\":\"99\",\"ListUrlMain\":\"https://doi.org/10.1080/12298093.2024.2430052\",\"RegionNum\":4,\"RegionCategory\":\"生物学\",\"ArticlePicture\":[],\"TitleCN\":null,\"AbstractTextCN\":null,\"PMCID\":null,\"EPubDate\":\"2024/1/1 0:00:00\",\"PubModel\":\"eCollection\",\"JCR\":\"Q2\",\"JCRName\":\"AGRONOMY\",\"Score\":null,\"Total\":0}","platform":"Semanticscholar","paperid":null,"PeriodicalName":"Mycobiology","FirstCategoryId":"99","ListUrlMain":"https://doi.org/10.1080/12298093.2024.2430052","RegionNum":4,"RegionCategory":"生物学","ArticlePicture":[],"TitleCN":null,"AbstractTextCN":null,"PMCID":null,"EPubDate":"2024/1/1 0:00:00","PubModel":"eCollection","JCR":"Q2","JCRName":"AGRONOMY","Score":null,"Total":0}
引用次数: 0

摘要

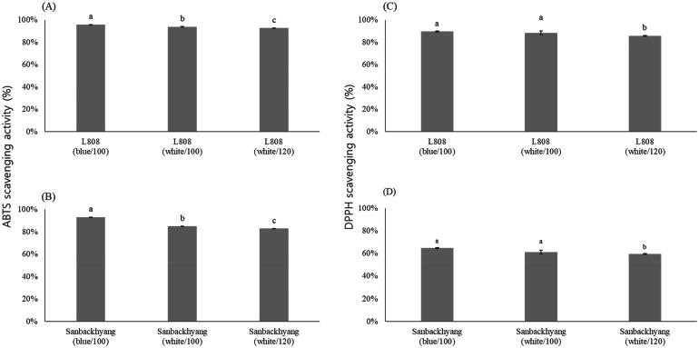
香菇(Lentinula edodes)的栽培周期约为120-150天,比其他食用菌要长。香菇子实体的发育受光照的影响。本研究研究了蓝光对香菇产量和麦角硫因含量的影响。两个品种在蓝光照射培养基(L808, 555±60 g/3 kg培养基)上的子实体产量(产量)均有提高;三背香,1090±106 g/ 3kg培养基)。此外,蓝光增加了麦角硫因含量和抗氧化活性,且L808的麦角硫因含量(约2.8 mg/g)高于三背香(约1.2 mg/g)。上述结果表明,在香菇栽培过程中,蓝光能有效缩短栽培期,提高麦角硫因含量。
本文章由计算机程序翻译,如有差异,请以英文原文为准。

Effects of Blue Light on Fruiting Body Production and Ergothioneine Content During Sawdust Cultivation of Shiitake (<i>Lentinula edodes</i>).

Effects of Blue Light on Fruiting Body Production and Ergothioneine Content During Sawdust Cultivation of Shiitake (<i>Lentinula edodes</i>).

Effects of Blue Light on Fruiting Body Production and Ergothioneine Content During Sawdust Cultivation of Shiitake (Lentinula edodes).

The cultivation period of shiitake (Lentinula edodes) is approximately 120-150 d, which is longer than that of other edible mushrooms. The development of fruiting bodies in shiitake is affected by light exposure. In this study, we investigated the effects of blue light on the production and ergothioneine contents of shiitake mushrooms. Fruiting body production (yield) on the medium irradiated with blue light increased in both cultivars (L808, 555 ± 60 g/3 kg medium; Sanbackhyang, 1090 ± 106 g/3 kg medium). Additionally, blue light increased the ergothioneine contents and antioxidative activities, and the ergothioneine content of L808 (about 2.8 mg/g) was higher than that of Sanbackhyang (about 1.2 mg/g). These results suggest that blue light is effective in shortening the cultivation period and increasing ergothioneine contents during shiitake cultivation.

求助全文
通过发布文献求助,成功后即可免费获取论文全文。 去求助
来源期刊
Mycobiology
Mycobiology AGRONOMYMYCOLOGY-MYCOLOGY
CiteScore
3.90
自引率
5.30%
发文量
41
审稿时长
22 weeks
期刊介绍: Mycobiology is an international journal devoted to the publication of fundamental and applied investigations on all aspects of mycology and their traditional allies. It is published quarterly and is the official publication of the Korean Society of Mycology. Mycobiology publishes reports of basic research on fungi and fungus-like organisms, including yeasts, filamentous fungi, lichen fungi, oomycetes, moulds, and mushroom. Topics also include molecular and cellular biology, biochemistry, metabolism, developmental biology, environmental mycology, evolution, ecology, taxonomy and systematics, genetics/genomics, fungal pathogen and disease control, physiology, and industrial biotechnology using fungi.
×
引用
GB/T 7714-2015
复制
MLA
复制
APA
复制
导出至
BibTeX EndNote RefMan NoteFirst NoteExpress
×
提示
您的信息不完整,为了账户安全,请先补充。
现在去补充
×
提示
您因"违规操作"
具体请查看互助需知
我知道了
×
提示
确定
请完成安全验证×
copy
已复制链接
快去分享给好友吧!
我知道了
右上角分享
点击右上角分享
0
联系我们:info@booksci.cn Book学术提供免费学术资源搜索服务,方便国内外学者检索中英文文献。致力于提供最便捷和优质的服务体验。 Copyright © 2023 布克学术 All rights reserved.
京ICP备2023020795号-1
ghs 京公网安备 11010802042870号
Book学术文献互助
Book学术文献互助群
群 号:604180095
Book学术官方微信