探索自我报告心理困扰的成人心理保健利用中的社会经济不平等:一项调查登记相关队列设计。

IF 6.1 2区 医学 Q1 PSYCHIATRY
J J Muwonge, C Dalman, B Burström, B Jablonska, A-C Hollander
{"title":"探索自我报告心理困扰的成人心理保健利用中的社会经济不平等:一项调查登记相关队列设计。","authors":"J J Muwonge, C Dalman, B Burström, B Jablonska, A-C Hollander","doi":"10.1017/S2045796024000842","DOIUrl":null,"url":null,"abstract":"<p><strong>Aims: </strong>Although individuals with lower socio-economic position (SEP) have a higher prevalence of mental health problems than others, there is no conclusive evidence on whether mental healthcare (MHC) is provided equitably. We investigated inequalities in MHC use among adults in Stockholm County (Sweden), and whether inequalities were moderated by self-reported psychological distress.</p><p><strong>Methods: </strong>MHC use was examined in 31,433 individuals aged 18-64 years over a 6-month follow-up period, after responding to the General Health Questionnaire-12 (GHQ-12) in 2014 or the Kessler Six (K6) in 2021. Information on their MHC use and SEP indicators, education, and household income, were sourced from administrative registries. Logistic and negative binomial regression analyses were used to estimate inequalities in gained MHC access and frequency of outpatient visits, with psychological distress as a moderating variable.</p><p><strong>Results: </strong>Individuals with lower education or income levels were more likely to gain access to MHC than those with high SEP, irrespective of distress levels. Education-related differences in gained MHC access diminished with increasing distress, from a 74% higher likelihood when reporting no distress (odds ratio, OR = 1.74 [95% confidence interval, 95% CI: 1.43-2.12]) to 30% when reporting severe distress (OR = 1.30 [0.98-1.72]). Comparable results were found for secondary care but not primary care i.e., lower education predicted reduced access to primary care in moderate-to-severe distress groups (e.g., OR = 0.63 [0.45-0.90]), and for physical but not digital services. Income-related differences in gained MHC access remained stable or increased with distress, especially for secondary care and physical services.</p><p><strong>Conclusions: </strong>Overall, individuals with lower education and income used MHC services more than their counterparts with higher socio-economic status; however, low-educated individuals faced inequities in primary care and underutilized non-physician services such as visits to psychologists.</p>","PeriodicalId":11787,"journal":{"name":"Epidemiology and Psychiatric Sciences","volume":"34 ","pages":"e6"},"PeriodicalIF":6.1000,"publicationDate":"2025-01-23","publicationTypes":"Journal Article","fieldsOfStudy":null,"isOpenAccess":false,"openAccessPdf":"https://www.ncbi.nlm.nih.gov/pmc/articles/PMC11822448/pdf/","citationCount":"0","resultStr":"{\"title\":\"Exploring socio-economic inequalities in mental healthcare utilization in adults with self-reported psychological distress: a survey-registry linked cohort design.\",\"authors\":\"J J Muwonge, C Dalman, B Burström, B Jablonska, A-C Hollander\",\"doi\":\"10.1017/S2045796024000842\",\"DOIUrl\":null,\"url\":null,\"abstract\":\"<p><strong>Aims: </strong>Although individuals with lower socio-economic position (SEP) have a higher prevalence of mental health problems than others, there is no conclusive evidence on whether mental healthcare (MHC) is provided equitably. We investigated inequalities in MHC use among adults in Stockholm County (Sweden), and whether inequalities were moderated by self-reported psychological distress.</p><p><strong>Methods: </strong>MHC use was examined in 31,433 individuals aged 18-64 years over a 6-month follow-up period, after responding to the General Health Questionnaire-12 (GHQ-12) in 2014 or the Kessler Six (K6) in 2021. Information on their MHC use and SEP indicators, education, and household income, were sourced from administrative registries. Logistic and negative binomial regression analyses were used to estimate inequalities in gained MHC access and frequency of outpatient visits, with psychological distress as a moderating variable.</p><p><strong>Results: </strong>Individuals with lower education or income levels were more likely to gain access to MHC than those with high SEP, irrespective of distress levels. Education-related differences in gained MHC access diminished with increasing distress, from a 74% higher likelihood when reporting no distress (odds ratio, OR = 1.74 [95% confidence interval, 95% CI: 1.43-2.12]) to 30% when reporting severe distress (OR = 1.30 [0.98-1.72]). Comparable results were found for secondary care but not primary care i.e., lower education predicted reduced access to primary care in moderate-to-severe distress groups (e.g., OR = 0.63 [0.45-0.90]), and for physical but not digital services. Income-related differences in gained MHC access remained stable or increased with distress, especially for secondary care and physical services.</p><p><strong>Conclusions: </strong>Overall, individuals with lower education and income used MHC services more than their counterparts with higher socio-economic status; however, low-educated individuals faced inequities in primary care and underutilized non-physician services such as visits to psychologists.</p>\",\"PeriodicalId\":11787,\"journal\":{\"name\":\"Epidemiology and Psychiatric Sciences\",\"volume\":\"34 \",\"pages\":\"e6\"},\"PeriodicalIF\":6.1000,\"publicationDate\":\"2025-01-23\",\"publicationTypes\":\"Journal Article\",\"fieldsOfStudy\":null,\"isOpenAccess\":false,\"openAccessPdf\":\"https://www.ncbi.nlm.nih.gov/pmc/articles/PMC11822448/pdf/\",\"citationCount\":\"0\",\"resultStr\":null,\"platform\":\"Semanticscholar\",\"paperid\":null,\"PeriodicalName\":\"Epidemiology and Psychiatric Sciences\",\"FirstCategoryId\":\"3\",\"ListUrlMain\":\"https://doi.org/10.1017/S2045796024000842\",\"RegionNum\":2,\"RegionCategory\":\"医学\",\"ArticlePicture\":[],\"TitleCN\":null,\"AbstractTextCN\":null,\"PMCID\":null,\"EPubDate\":\"\",\"PubModel\":\"\",\"JCR\":\"Q1\",\"JCRName\":\"PSYCHIATRY\",\"Score\":null,\"Total\":0}","platform":"Semanticscholar","paperid":null,"PeriodicalName":"Epidemiology and Psychiatric Sciences","FirstCategoryId":"3","ListUrlMain":"https://doi.org/10.1017/S2045796024000842","RegionNum":2,"RegionCategory":"医学","ArticlePicture":[],"TitleCN":null,"AbstractTextCN":null,"PMCID":null,"EPubDate":"","PubModel":"","JCR":"Q1","JCRName":"PSYCHIATRY","Score":null,"Total":0}
引用次数: 0

摘要

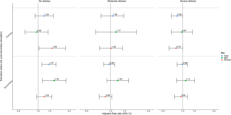
目的:虽然社会经济地位较低的个体(SEP)比其他人有更高的精神健康问题患病率,但没有确凿的证据表明精神卫生保健(MHC)是否公平提供。我们调查了斯德哥尔摩县(瑞典)成年人中MHC使用的不平等,以及不平等是否被自我报告的心理困扰所缓和。方法:在2014年回答一般健康问卷-12 (GHQ-12)或2021年回答凯斯勒量表(K6)后,对31433名18-64岁的个体进行了为期6个月的随访,检查了MHC的使用情况。他们的MHC使用和SEP指标、教育和家庭收入的信息来自行政登记处。使用Logistic和负二项回归分析来估计获得MHC访问和门诊就诊频率的不平等,心理困扰是一个调节变量。结果:受教育程度或收入水平较低的个体比高SEP的个体更有可能获得MHC,无论其痛苦程度如何。教育相关的MHC获取的差异随着痛苦的增加而减少,从报告无痛苦时的可能性高74%(比值比,OR = 1.74[95%可信区间,95% CI: 1.43-2.12])到报告严重痛苦时的30% (OR = 1.30[0.98-1.72])。可比较的结果在二级保健中发现,而在初级保健中没有发现,即,较低的教育水平预示着中至重度痛苦群体获得初级保健的机会减少(例如,OR = 0.63[0.45-0.90]),以及物理服务而不是数字服务。获得MHC的收入相关差异保持稳定或随着痛苦而增加,特别是在二级保健和物理服务方面。结论:总体而言,教育程度和收入较低的个体比社会经济地位较高的个体更多地使用MHC服务;然而,受教育程度低的个人在初级保健和未充分利用的非医生服务(如访问心理学家)方面面临不平等。
本文章由计算机程序翻译,如有差异,请以英文原文为准。

Exploring socio-economic inequalities in mental healthcare utilization in adults with self-reported psychological distress: a survey-registry linked cohort design.

Exploring socio-economic inequalities in mental healthcare utilization in adults with self-reported psychological distress: a survey-registry linked cohort design.

Exploring socio-economic inequalities in mental healthcare utilization in adults with self-reported psychological distress: a survey-registry linked cohort design.

Exploring socio-economic inequalities in mental healthcare utilization in adults with self-reported psychological distress: a survey-registry linked cohort design.

Aims: Although individuals with lower socio-economic position (SEP) have a higher prevalence of mental health problems than others, there is no conclusive evidence on whether mental healthcare (MHC) is provided equitably. We investigated inequalities in MHC use among adults in Stockholm County (Sweden), and whether inequalities were moderated by self-reported psychological distress.

Methods: MHC use was examined in 31,433 individuals aged 18-64 years over a 6-month follow-up period, after responding to the General Health Questionnaire-12 (GHQ-12) in 2014 or the Kessler Six (K6) in 2021. Information on their MHC use and SEP indicators, education, and household income, were sourced from administrative registries. Logistic and negative binomial regression analyses were used to estimate inequalities in gained MHC access and frequency of outpatient visits, with psychological distress as a moderating variable.

Results: Individuals with lower education or income levels were more likely to gain access to MHC than those with high SEP, irrespective of distress levels. Education-related differences in gained MHC access diminished with increasing distress, from a 74% higher likelihood when reporting no distress (odds ratio, OR = 1.74 [95% confidence interval, 95% CI: 1.43-2.12]) to 30% when reporting severe distress (OR = 1.30 [0.98-1.72]). Comparable results were found for secondary care but not primary care i.e., lower education predicted reduced access to primary care in moderate-to-severe distress groups (e.g., OR = 0.63 [0.45-0.90]), and for physical but not digital services. Income-related differences in gained MHC access remained stable or increased with distress, especially for secondary care and physical services.

Conclusions: Overall, individuals with lower education and income used MHC services more than their counterparts with higher socio-economic status; however, low-educated individuals faced inequities in primary care and underutilized non-physician services such as visits to psychologists.

求助全文
通过发布文献求助,成功后即可免费获取论文全文。 去求助
来源期刊
CiteScore
7.80
自引率
1.20%
发文量
121
审稿时长
>12 weeks
期刊介绍: Epidemiology and Psychiatric Sciences is a prestigious international, peer-reviewed journal that has been publishing in Open Access format since 2020. Formerly known as Epidemiologia e Psichiatria Sociale and established in 1992 by Michele Tansella, the journal prioritizes highly relevant and innovative research articles and systematic reviews in the areas of public mental health and policy, mental health services and system research, as well as epidemiological and social psychiatry. Join us in advancing knowledge and understanding in these critical fields.
×
引用
GB/T 7714-2015
复制
MLA
复制
APA
复制
导出至
BibTeX EndNote RefMan NoteFirst NoteExpress
×
提示
您的信息不完整,为了账户安全,请先补充。
现在去补充
×
提示
您因"违规操作"
具体请查看互助需知
我知道了
×
提示
确定
请完成安全验证×
copy
已复制链接
快去分享给好友吧!
我知道了
右上角分享
点击右上角分享
0
联系我们:info@booksci.cn Book学术提供免费学术资源搜索服务,方便国内外学者检索中英文文献。致力于提供最便捷和优质的服务体验。 Copyright © 2023 布克学术 All rights reserved.
京ICP备2023020795号-1
ghs 京公网安备 11010802042870号
Book学术文献互助
Book学术文献互助群
群 号:604180095
Book学术官方微信