改良“醒脑开窍”针刺手法可缩短昏迷患者的苏醒时间。

IF 4.3
Annals of medicine Pub Date : 2025-12-01 Epub Date: 2025-01-20 DOI:10.1080/07853890.2025.2453095
Dan Meng, Liangfeng Wang, Shengqiang Cheng, Pan Cai
{"title":"改良“醒脑开窍”针刺手法可缩短昏迷患者的苏醒时间。","authors":"Dan Meng, Liangfeng Wang, Shengqiang Cheng, Pan Cai","doi":"10.1080/07853890.2025.2453095","DOIUrl":null,"url":null,"abstract":"<p><strong>Background: </strong>This study was conducted to analyse the therapeutic effect of the modified 'Xingnao Kaiqiao' acupuncture technique in the recovery of comatose patients, as well as the clinical factors that may influence recovery from coma.</p><p><strong>Methods: </strong>Diagnostic and therapeutic data from 166 patients in a coma due to neurological diseases were retrospectively collected. Eighty-seven comatose patients received conventional treatment, and 79 patients received conventional treatment + the modified 'Xingnao Kaiqiao' acupuncture technique. The recovery outcomes and times of the two groups were then compared. A Cox regression analysis was then performed to assess the impact of acupuncture treatment on recovery time in recovered and non-recovered groups.</p><p><strong>Results: </strong>The acupuncture group exhibited a shorter total duration of coma and treatment duration (<i>p</i> < 0.05). When considering recovery as an outcome variable, acupuncture treatment (hazard ratio (<i>HR</i>) = 1.658), pre-treatment Glasgow Coma Scale (GCS) score (<i>HR</i> = 1.188), and post-treatment GCS score (<i>HR</i> = 1.519) were associated with favorable patient recovery time (<i>HR</i> > 1).</p><p><strong>Conclusion: </strong>Acupuncture can effectively shorten the duration of coma and promote recovery time in patients. Therefore, it is recommended to initiate acupuncture treatment early when applicable.</p>","PeriodicalId":93874,"journal":{"name":"Annals of medicine","volume":"57 1","pages":"2453095"},"PeriodicalIF":4.3000,"publicationDate":"2025-12-01","publicationTypes":"Journal Article","fieldsOfStudy":null,"isOpenAccess":false,"openAccessPdf":"https://www.ncbi.nlm.nih.gov/pmc/articles/PMC11749144/pdf/","citationCount":"0","resultStr":"{\"title\":\"Modified 'Xingnao Kaiqiao' acupuncture technique shortens the recovery time of comatose patients.\",\"authors\":\"Dan Meng, Liangfeng Wang, Shengqiang Cheng, Pan Cai\",\"doi\":\"10.1080/07853890.2025.2453095\",\"DOIUrl\":null,\"url\":null,\"abstract\":\"<p><strong>Background: </strong>This study was conducted to analyse the therapeutic effect of the modified 'Xingnao Kaiqiao' acupuncture technique in the recovery of comatose patients, as well as the clinical factors that may influence recovery from coma.</p><p><strong>Methods: </strong>Diagnostic and therapeutic data from 166 patients in a coma due to neurological diseases were retrospectively collected. Eighty-seven comatose patients received conventional treatment, and 79 patients received conventional treatment + the modified 'Xingnao Kaiqiao' acupuncture technique. The recovery outcomes and times of the two groups were then compared. A Cox regression analysis was then performed to assess the impact of acupuncture treatment on recovery time in recovered and non-recovered groups.</p><p><strong>Results: </strong>The acupuncture group exhibited a shorter total duration of coma and treatment duration (<i>p</i> < 0.05). When considering recovery as an outcome variable, acupuncture treatment (hazard ratio (<i>HR</i>) = 1.658), pre-treatment Glasgow Coma Scale (GCS) score (<i>HR</i> = 1.188), and post-treatment GCS score (<i>HR</i> = 1.519) were associated with favorable patient recovery time (<i>HR</i> > 1).</p><p><strong>Conclusion: </strong>Acupuncture can effectively shorten the duration of coma and promote recovery time in patients. Therefore, it is recommended to initiate acupuncture treatment early when applicable.</p>\",\"PeriodicalId\":93874,\"journal\":{\"name\":\"Annals of medicine\",\"volume\":\"57 1\",\"pages\":\"2453095\"},\"PeriodicalIF\":4.3000,\"publicationDate\":\"2025-12-01\",\"publicationTypes\":\"Journal Article\",\"fieldsOfStudy\":null,\"isOpenAccess\":false,\"openAccessPdf\":\"https://www.ncbi.nlm.nih.gov/pmc/articles/PMC11749144/pdf/\",\"citationCount\":\"0\",\"resultStr\":null,\"platform\":\"Semanticscholar\",\"paperid\":null,\"PeriodicalName\":\"Annals of medicine\",\"FirstCategoryId\":\"1085\",\"ListUrlMain\":\"https://doi.org/10.1080/07853890.2025.2453095\",\"RegionNum\":0,\"RegionCategory\":null,\"ArticlePicture\":[],\"TitleCN\":null,\"AbstractTextCN\":null,\"PMCID\":null,\"EPubDate\":\"2025/1/20 0:00:00\",\"PubModel\":\"Epub\",\"JCR\":\"\",\"JCRName\":\"\",\"Score\":null,\"Total\":0}","platform":"Semanticscholar","paperid":null,"PeriodicalName":"Annals of medicine","FirstCategoryId":"1085","ListUrlMain":"https://doi.org/10.1080/07853890.2025.2453095","RegionNum":0,"RegionCategory":null,"ArticlePicture":[],"TitleCN":null,"AbstractTextCN":null,"PMCID":null,"EPubDate":"2025/1/20 0:00:00","PubModel":"Epub","JCR":"","JCRName":"","Score":null,"Total":0}
引用次数: 0

摘要

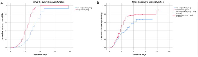
背景:本研究旨在分析改良“醒脑开窍”针刺手法对昏迷患者恢复的治疗效果,以及可能影响昏迷恢复的临床因素。方法:回顾性分析166例神经系统疾病致昏迷患者的诊断和治疗资料。87例昏迷患者采用常规治疗,79例患者采用常规治疗+改良“醒脑开窍”针刺手法。比较两组患者的恢复情况和恢复时间。然后进行Cox回归分析,评估针灸治疗对恢复组和未恢复组恢复时间的影响。结果:针刺组总昏迷时间和治疗时间较短(p HR = 1.658),治疗前格拉斯哥昏迷评分(GCS) (HR = 1.188)和治疗后GCS评分(HR = 1.519)与患者良好的恢复时间相关(HR >.1)。结论:针刺能有效缩短患者昏迷时间,促进患者恢复。因此,建议在适用的情况下尽早开始针灸治疗。
本文章由计算机程序翻译,如有差异,请以英文原文为准。

Modified 'Xingnao Kaiqiao' acupuncture technique shortens the recovery time of comatose patients.

Modified 'Xingnao Kaiqiao' acupuncture technique shortens the recovery time of comatose patients.

Modified 'Xingnao Kaiqiao' acupuncture technique shortens the recovery time of comatose patients.

Background: This study was conducted to analyse the therapeutic effect of the modified 'Xingnao Kaiqiao' acupuncture technique in the recovery of comatose patients, as well as the clinical factors that may influence recovery from coma.

Methods: Diagnostic and therapeutic data from 166 patients in a coma due to neurological diseases were retrospectively collected. Eighty-seven comatose patients received conventional treatment, and 79 patients received conventional treatment + the modified 'Xingnao Kaiqiao' acupuncture technique. The recovery outcomes and times of the two groups were then compared. A Cox regression analysis was then performed to assess the impact of acupuncture treatment on recovery time in recovered and non-recovered groups.

Results: The acupuncture group exhibited a shorter total duration of coma and treatment duration (p < 0.05). When considering recovery as an outcome variable, acupuncture treatment (hazard ratio (HR) = 1.658), pre-treatment Glasgow Coma Scale (GCS) score (HR = 1.188), and post-treatment GCS score (HR = 1.519) were associated with favorable patient recovery time (HR > 1).

Conclusion: Acupuncture can effectively shorten the duration of coma and promote recovery time in patients. Therefore, it is recommended to initiate acupuncture treatment early when applicable.

求助全文
通过发布文献求助,成功后即可免费获取论文全文。 去求助
来源期刊
自引率
0.00%
发文量
0
×
引用
GB/T 7714-2015
复制
MLA
复制
APA
复制
导出至
BibTeX EndNote RefMan NoteFirst NoteExpress
×
提示
您的信息不完整,为了账户安全,请先补充。
现在去补充
×
提示
您因"违规操作"
具体请查看互助需知
我知道了
×
提示
确定
请完成安全验证×
copy
已复制链接
快去分享给好友吧!
我知道了
右上角分享
点击右上角分享
0
联系我们:info@booksci.cn Book学术提供免费学术资源搜索服务,方便国内外学者检索中英文文献。致力于提供最便捷和优质的服务体验。 Copyright © 2023 布克学术 All rights reserved.
京ICP备2023020795号-1
ghs 京公网安备 11010802042870号
Book学术文献互助
Book学术文献互助群
群 号:604180095
Book学术官方微信