肺部和危重症医学研究员肺移植教育重点的确定。

IF 1.9 Q3 CRITICAL CARE MEDICINE
ATS scholar Pub Date : 2024-12-30 eCollection Date: 2024-12-01 DOI:10.34197/ats-scholar.2024-0046OC
Kavya Kommaraju, Kelly Pennington, Kristopher Kolish, Casey Twining, Diana Kelm
{"title":"肺部和危重症医学研究员肺移植教育重点的确定。","authors":"Kavya Kommaraju, Kelly Pennington, Kristopher Kolish, Casey Twining, Diana Kelm","doi":"10.34197/ats-scholar.2024-0046OC","DOIUrl":null,"url":null,"abstract":"<p><strong>Background: </strong>In the United States, a growing number of lung transplants are performed each year, necessitating an increased number of general and transplant pulmonologists skilled in the care of these complex patients. However, pulmonary and critical care medicine (PCCM) fellowships across the country do not universally have dedicated lung transplantation curricula, and there is scarce literature in this area. We describe the generation of a content outline for curriculum development created through modified electronic Delphi methodology.</p><p><strong>Objective: </strong>To identify \"must know\" topics in lung transplantation for a graduating PCCM fellows.</p><p><strong>Methods: </strong>We developed expert consensus on \"must know\" lung transplant topics and subtopics (\"items\") for a graduating fellow through three survey rounds from July 2023 to October 2023. Thirty-three panelists were asked to rank author-provided items as \"must know,\" \"nice to know,\" or \"not necessary to know\" and to generate new items in round 1 to be submitted for ranking in subsequent rounds. \"Must know consensus\" was defined as ≥50% must know responses.</p><p><strong>Results: </strong>Survey response and completion rates across rounds were 58-70% and 96-100%, respectively. In round 1, panelists were provided eight topics and 30 subtopics for initial ranking. Panelists generated 82 new items in this round, of which 19 were included in round 2 for ranking after author review, together with one item from round 1 that required reranking. From round 2, only two items required reranking, and these items comprised round 3. Seven topics were identified as \"must know\": transplant immunology, evaluation of a lung transplant candidate, surgical and peri/postoperative management, rejection, immunosuppression, infections, and other complications, together with 36 subtopics.</p><p><strong>Conclusion: </strong>Self-identified lung transplantation experts obtained consensus on seven \"must know\" topics and 36 subtopics in lung transplantation for graduating PCCM fellows. The findings serve as a starting point for future curriculum development.</p>","PeriodicalId":72330,"journal":{"name":"ATS scholar","volume":"5 4","pages":"587-598"},"PeriodicalIF":1.9000,"publicationDate":"2024-12-30","publicationTypes":"Journal Article","fieldsOfStudy":null,"isOpenAccess":false,"openAccessPdf":"https://www.ncbi.nlm.nih.gov/pmc/articles/PMC11734675/pdf/","citationCount":"0","resultStr":"{\"title\":\"Determination of Priorities for Lung Transplant Education for Pulmonary and Critical Care Medicine Fellows.\",\"authors\":\"Kavya Kommaraju, Kelly Pennington, Kristopher Kolish, Casey Twining, Diana Kelm\",\"doi\":\"10.34197/ats-scholar.2024-0046OC\",\"DOIUrl\":null,\"url\":null,\"abstract\":\"<p><strong>Background: </strong>In the United States, a growing number of lung transplants are performed each year, necessitating an increased number of general and transplant pulmonologists skilled in the care of these complex patients. However, pulmonary and critical care medicine (PCCM) fellowships across the country do not universally have dedicated lung transplantation curricula, and there is scarce literature in this area. We describe the generation of a content outline for curriculum development created through modified electronic Delphi methodology.</p><p><strong>Objective: </strong>To identify \\\"must know\\\" topics in lung transplantation for a graduating PCCM fellows.</p><p><strong>Methods: </strong>We developed expert consensus on \\\"must know\\\" lung transplant topics and subtopics (\\\"items\\\") for a graduating fellow through three survey rounds from July 2023 to October 2023. Thirty-three panelists were asked to rank author-provided items as \\\"must know,\\\" \\\"nice to know,\\\" or \\\"not necessary to know\\\" and to generate new items in round 1 to be submitted for ranking in subsequent rounds. \\\"Must know consensus\\\" was defined as ≥50% must know responses.</p><p><strong>Results: </strong>Survey response and completion rates across rounds were 58-70% and 96-100%, respectively. In round 1, panelists were provided eight topics and 30 subtopics for initial ranking. Panelists generated 82 new items in this round, of which 19 were included in round 2 for ranking after author review, together with one item from round 1 that required reranking. From round 2, only two items required reranking, and these items comprised round 3. Seven topics were identified as \\\"must know\\\": transplant immunology, evaluation of a lung transplant candidate, surgical and peri/postoperative management, rejection, immunosuppression, infections, and other complications, together with 36 subtopics.</p><p><strong>Conclusion: </strong>Self-identified lung transplantation experts obtained consensus on seven \\\"must know\\\" topics and 36 subtopics in lung transplantation for graduating PCCM fellows. The findings serve as a starting point for future curriculum development.</p>\",\"PeriodicalId\":72330,\"journal\":{\"name\":\"ATS scholar\",\"volume\":\"5 4\",\"pages\":\"587-598\"},\"PeriodicalIF\":1.9000,\"publicationDate\":\"2024-12-30\",\"publicationTypes\":\"Journal Article\",\"fieldsOfStudy\":null,\"isOpenAccess\":false,\"openAccessPdf\":\"https://www.ncbi.nlm.nih.gov/pmc/articles/PMC11734675/pdf/\",\"citationCount\":\"0\",\"resultStr\":null,\"platform\":\"Semanticscholar\",\"paperid\":null,\"PeriodicalName\":\"ATS scholar\",\"FirstCategoryId\":\"1085\",\"ListUrlMain\":\"https://doi.org/10.34197/ats-scholar.2024-0046OC\",\"RegionNum\":0,\"RegionCategory\":null,\"ArticlePicture\":[],\"TitleCN\":null,\"AbstractTextCN\":null,\"PMCID\":null,\"EPubDate\":\"2024/12/1 0:00:00\",\"PubModel\":\"eCollection\",\"JCR\":\"Q3\",\"JCRName\":\"CRITICAL CARE MEDICINE\",\"Score\":null,\"Total\":0}","platform":"Semanticscholar","paperid":null,"PeriodicalName":"ATS scholar","FirstCategoryId":"1085","ListUrlMain":"https://doi.org/10.34197/ats-scholar.2024-0046OC","RegionNum":0,"RegionCategory":null,"ArticlePicture":[],"TitleCN":null,"AbstractTextCN":null,"PMCID":null,"EPubDate":"2024/12/1 0:00:00","PubModel":"eCollection","JCR":"Q3","JCRName":"CRITICAL CARE MEDICINE","Score":null,"Total":0}
引用次数: 0

摘要

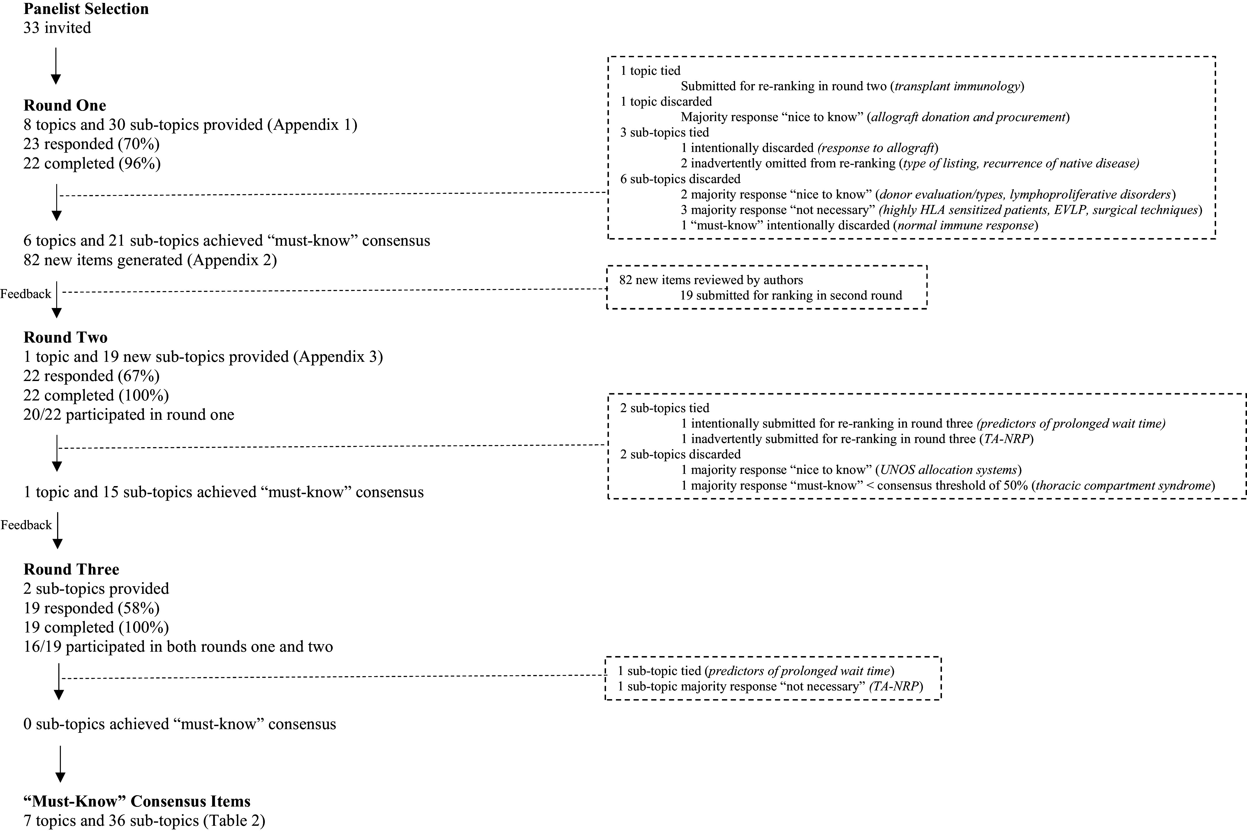
背景:在美国,每年进行的肺移植数量不断增加,需要越来越多的普通肺科医生和移植肺科医生熟练地护理这些复杂的患者。然而,全国各地的肺部和重症监护医学(PCCM)奖学金并没有普遍地有专门的肺移植课程,并且在这一领域的文献很少。我们描述了通过改进的电子德尔菲方法创建的课程开发内容大纲的生成。目的:为即将毕业的PCCM研究员确定肺移植“必须知道”的话题。方法:通过2023年7月至2023年10月的三轮调查,我们为一名毕业生制定了“必须知道”的肺移植主题和子主题(“项目”)的专家共识。33名小组成员被要求将作者提供的项目按“必须知道”、“很高兴知道”或“没有必要知道”进行排序,并在第一轮中生成新项目,以便在随后的几轮中提交排名。“必须知道的共识”定义为≥50%必须知道的回应。结果:各轮调查的应答率和完成率分别为58-70%和96-100%。在第一轮中,小组成员提供了8个主题和30个子主题进行初步排名。小组成员在这一轮中产生了82个新项目,其中19个项目在作者评审后被纳入第二轮进行排名,还有一个项目需要重新排名。从第2轮开始,只有两个项目需要重新排名,这些项目组成了第3轮。7个主题被确定为“必须知道”:移植免疫学、肺移植候选人的评估、手术和术后围期管理、排斥反应、免疫抑制、感染和其他并发症,以及36个小主题。结论:自认肺移植专家对PCCM毕业生肺移植的7个“必知”主题和36个亚主题达成共识。这些发现可以作为未来课程发展的起点。
本文章由计算机程序翻译,如有差异,请以英文原文为准。

Determination of Priorities for Lung Transplant Education for Pulmonary and Critical Care Medicine Fellows.

Determination of Priorities for Lung Transplant Education for Pulmonary and Critical Care Medicine Fellows.

Background: In the United States, a growing number of lung transplants are performed each year, necessitating an increased number of general and transplant pulmonologists skilled in the care of these complex patients. However, pulmonary and critical care medicine (PCCM) fellowships across the country do not universally have dedicated lung transplantation curricula, and there is scarce literature in this area. We describe the generation of a content outline for curriculum development created through modified electronic Delphi methodology.

Objective: To identify "must know" topics in lung transplantation for a graduating PCCM fellows.

Methods: We developed expert consensus on "must know" lung transplant topics and subtopics ("items") for a graduating fellow through three survey rounds from July 2023 to October 2023. Thirty-three panelists were asked to rank author-provided items as "must know," "nice to know," or "not necessary to know" and to generate new items in round 1 to be submitted for ranking in subsequent rounds. "Must know consensus" was defined as ≥50% must know responses.

Results: Survey response and completion rates across rounds were 58-70% and 96-100%, respectively. In round 1, panelists were provided eight topics and 30 subtopics for initial ranking. Panelists generated 82 new items in this round, of which 19 were included in round 2 for ranking after author review, together with one item from round 1 that required reranking. From round 2, only two items required reranking, and these items comprised round 3. Seven topics were identified as "must know": transplant immunology, evaluation of a lung transplant candidate, surgical and peri/postoperative management, rejection, immunosuppression, infections, and other complications, together with 36 subtopics.

Conclusion: Self-identified lung transplantation experts obtained consensus on seven "must know" topics and 36 subtopics in lung transplantation for graduating PCCM fellows. The findings serve as a starting point for future curriculum development.

求助全文
通过发布文献求助,成功后即可免费获取论文全文。 去求助
来源期刊
CiteScore
3.00
自引率
0.00%
发文量
0
审稿时长
11 weeks
×
引用
GB/T 7714-2015
复制
MLA
复制
APA
复制
导出至
BibTeX EndNote RefMan NoteFirst NoteExpress
×
提示
您的信息不完整,为了账户安全,请先补充。
现在去补充
×
提示
您因"违规操作"
具体请查看互助需知
我知道了
×
提示
确定
请完成安全验证×
copy
已复制链接
快去分享给好友吧!
我知道了
右上角分享
点击右上角分享
0
联系我们:info@booksci.cn Book学术提供免费学术资源搜索服务,方便国内外学者检索中英文文献。致力于提供最便捷和优质的服务体验。 Copyright © 2023 布克学术 All rights reserved.
京ICP备2023020795号-1
ghs 京公网安备 11010802042870号
Book学术文献互助
Book学术文献互助群
群 号:604180095
Book学术官方微信