感觉重加权对帕金森病患者体位控制和皮层活动的影响:一项初步研究。

IF 2 Q2 REHABILITATION
Maryam Sadeghi MS , Thomas Bristow BS , Sodiq Fakorede BS , Ke Liao PhD , Jacqueline A. Palmer PhD , Kelly E. Lyons PhD , Rajesh Pahwa MD , Chun-Kai Huang PhD , Abiodun Akinwuntan PhD , Hannes Devos PhD
{"title":"感觉重加权对帕金森病患者体位控制和皮层活动的影响:一项初步研究。","authors":"Maryam Sadeghi MS ,&nbsp;Thomas Bristow BS ,&nbsp;Sodiq Fakorede BS ,&nbsp;Ke Liao PhD ,&nbsp;Jacqueline A. Palmer PhD ,&nbsp;Kelly E. Lyons PhD ,&nbsp;Rajesh Pahwa MD ,&nbsp;Chun-Kai Huang PhD ,&nbsp;Abiodun Akinwuntan PhD ,&nbsp;Hannes Devos PhD","doi":"10.1016/j.arrct.2024.100368","DOIUrl":null,"url":null,"abstract":"<div><h3>Objective</h3><div>To investigate the effects of sensory reweighting on postural control and cortical activity in individuals with Parkinson's disease (PD) compared to age-matched controls using a virtual reality sensory organization test (VR-SOT).</div></div><div><h3>Design</h3><div>Cross-sectional pilot study.</div></div><div><h3>Setting</h3><div>University research laboratory.</div></div><div><h3>Participants</h3><div>Ten participants with idiopathic Parkinson's disease and 11 age- and sex-matched control participants without neurologic disorders.</div></div><div><h3>Interventions</h3><div>Not applicable.</div></div><div><h3>Main Outcome Measures</h3><div>Changes in center of pressure (COP) and electroencephalography (EEG) activity (ie, power) in the alpha band and the theta/beta ratio recorded during the VR-SOT were the main outcome variables.</div></div><div><h3>Results</h3><div>PD participants exhibited greater COP displacement, particularly in the mediolateral direction across sensory conditions. They also showed increased alpha power when relying on visual inputs and increased theta/beta ratio power when depending on somatosensory inputs.</div></div><div><h3>Conclusion</h3><div>PD affects sensory reweighting mechanisms involved in postural control, as evidenced by greater COP displacement and altered cortical activity. These findings emphasize the potential of EEG and VR-SOT in understanding and monitoring postural control impairments in PD.</div></div>","PeriodicalId":72291,"journal":{"name":"Archives of rehabilitation research and clinical translation","volume":"6 4","pages":"Article 100368"},"PeriodicalIF":2.0000,"publicationDate":"2024-12-01","publicationTypes":"Journal Article","fieldsOfStudy":null,"isOpenAccess":false,"openAccessPdf":"https://www.ncbi.nlm.nih.gov/pmc/articles/PMC11733815/pdf/","citationCount":"0","resultStr":"{\"title\":\"The Effect of Sensory Reweighting on Postural Control and Cortical Activity in Parkinson's Disease: A Pilot Study\",\"authors\":\"Maryam Sadeghi MS ,&nbsp;Thomas Bristow BS ,&nbsp;Sodiq Fakorede BS ,&nbsp;Ke Liao PhD ,&nbsp;Jacqueline A. Palmer PhD ,&nbsp;Kelly E. Lyons PhD ,&nbsp;Rajesh Pahwa MD ,&nbsp;Chun-Kai Huang PhD ,&nbsp;Abiodun Akinwuntan PhD ,&nbsp;Hannes Devos PhD\",\"doi\":\"10.1016/j.arrct.2024.100368\",\"DOIUrl\":null,\"url\":null,\"abstract\":\"<div><h3>Objective</h3><div>To investigate the effects of sensory reweighting on postural control and cortical activity in individuals with Parkinson's disease (PD) compared to age-matched controls using a virtual reality sensory organization test (VR-SOT).</div></div><div><h3>Design</h3><div>Cross-sectional pilot study.</div></div><div><h3>Setting</h3><div>University research laboratory.</div></div><div><h3>Participants</h3><div>Ten participants with idiopathic Parkinson's disease and 11 age- and sex-matched control participants without neurologic disorders.</div></div><div><h3>Interventions</h3><div>Not applicable.</div></div><div><h3>Main Outcome Measures</h3><div>Changes in center of pressure (COP) and electroencephalography (EEG) activity (ie, power) in the alpha band and the theta/beta ratio recorded during the VR-SOT were the main outcome variables.</div></div><div><h3>Results</h3><div>PD participants exhibited greater COP displacement, particularly in the mediolateral direction across sensory conditions. They also showed increased alpha power when relying on visual inputs and increased theta/beta ratio power when depending on somatosensory inputs.</div></div><div><h3>Conclusion</h3><div>PD affects sensory reweighting mechanisms involved in postural control, as evidenced by greater COP displacement and altered cortical activity. These findings emphasize the potential of EEG and VR-SOT in understanding and monitoring postural control impairments in PD.</div></div>\",\"PeriodicalId\":72291,\"journal\":{\"name\":\"Archives of rehabilitation research and clinical translation\",\"volume\":\"6 4\",\"pages\":\"Article 100368\"},\"PeriodicalIF\":2.0000,\"publicationDate\":\"2024-12-01\",\"publicationTypes\":\"Journal Article\",\"fieldsOfStudy\":null,\"isOpenAccess\":false,\"openAccessPdf\":\"https://www.ncbi.nlm.nih.gov/pmc/articles/PMC11733815/pdf/\",\"citationCount\":\"0\",\"resultStr\":null,\"platform\":\"Semanticscholar\",\"paperid\":null,\"PeriodicalName\":\"Archives of rehabilitation research and clinical translation\",\"FirstCategoryId\":\"1085\",\"ListUrlMain\":\"https://www.sciencedirect.com/science/article/pii/S2590109524000661\",\"RegionNum\":0,\"RegionCategory\":null,\"ArticlePicture\":[],\"TitleCN\":null,\"AbstractTextCN\":null,\"PMCID\":null,\"EPubDate\":\"\",\"PubModel\":\"\",\"JCR\":\"Q2\",\"JCRName\":\"REHABILITATION\",\"Score\":null,\"Total\":0}","platform":"Semanticscholar","paperid":null,"PeriodicalName":"Archives of rehabilitation research and clinical translation","FirstCategoryId":"1085","ListUrlMain":"https://www.sciencedirect.com/science/article/pii/S2590109524000661","RegionNum":0,"RegionCategory":null,"ArticlePicture":[],"TitleCN":null,"AbstractTextCN":null,"PMCID":null,"EPubDate":"","PubModel":"","JCR":"Q2","JCRName":"REHABILITATION","Score":null,"Total":0}
引用次数: 0

摘要

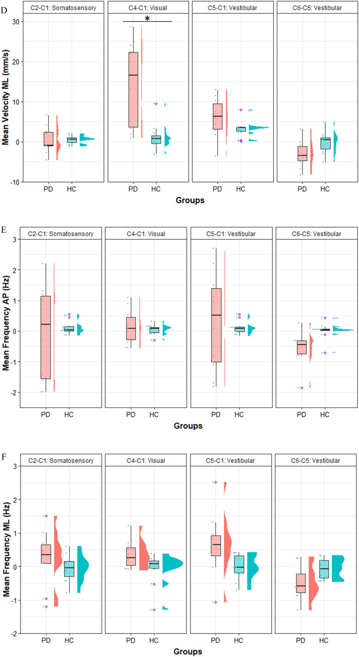
目的:通过虚拟现实感觉组织测试(VR-SOT),研究感觉重加权对帕金森病(PD)患者体位控制和皮层活动的影响,并与年龄匹配的对照组进行比较。设计:横断面试验研究。环境:大学研究实验室。参与者:10名患有特发性帕金森病的参与者和11名年龄和性别匹配的无神经系统疾病的对照组参与者。干预措施:不适用。主要结局指标:在VR-SOT期间记录的alpha波段的压力中心(COP)和脑电图(EEG)活动(即功率)的变化和theta/beta比是主要结局变量。结果:PD参与者表现出更大的COP位移,特别是在感觉条件下的中外侧方向。当依赖于视觉输入时,他们也表现出增加的α功率,而当依赖于体感输入时,他们也表现出增加的θ / β比值功率。结论:PD影响与姿势控制有关的感觉重加权机制,这可以通过更大的COP位移和皮层活动改变来证明。这些发现强调了EEG和VR-SOT在了解和监测PD患者姿势控制障碍方面的潜力。
本文章由计算机程序翻译,如有差异,请以英文原文为准。

The Effect of Sensory Reweighting on Postural Control and Cortical Activity in Parkinson's Disease: A Pilot Study

The Effect of Sensory Reweighting on Postural Control and Cortical Activity in Parkinson's Disease: A Pilot Study

The Effect of Sensory Reweighting on Postural Control and Cortical Activity in Parkinson's Disease: A Pilot Study

The Effect of Sensory Reweighting on Postural Control and Cortical Activity in Parkinson's Disease: A Pilot Study

Objective

To investigate the effects of sensory reweighting on postural control and cortical activity in individuals with Parkinson's disease (PD) compared to age-matched controls using a virtual reality sensory organization test (VR-SOT).

Design

Cross-sectional pilot study.

Setting

University research laboratory.

Participants

Ten participants with idiopathic Parkinson's disease and 11 age- and sex-matched control participants without neurologic disorders.

Interventions

Not applicable.

Main Outcome Measures

Changes in center of pressure (COP) and electroencephalography (EEG) activity (ie, power) in the alpha band and the theta/beta ratio recorded during the VR-SOT were the main outcome variables.

Results

PD participants exhibited greater COP displacement, particularly in the mediolateral direction across sensory conditions. They also showed increased alpha power when relying on visual inputs and increased theta/beta ratio power when depending on somatosensory inputs.

Conclusion

PD affects sensory reweighting mechanisms involved in postural control, as evidenced by greater COP displacement and altered cortical activity. These findings emphasize the potential of EEG and VR-SOT in understanding and monitoring postural control impairments in PD.
求助全文
通过发布文献求助,成功后即可免费获取论文全文。 去求助
来源期刊
CiteScore
3.00
自引率
0.00%
发文量
0
审稿时长
8 weeks
×
引用
GB/T 7714-2015
复制
MLA
复制
APA
复制
导出至
BibTeX EndNote RefMan NoteFirst NoteExpress
×
提示
您的信息不完整,为了账户安全,请先补充。
现在去补充
×
提示
您因"违规操作"
具体请查看互助需知
我知道了
×
提示
确定
请完成安全验证×
copy
已复制链接
快去分享给好友吧!
我知道了
右上角分享
点击右上角分享
0
联系我们:info@booksci.cn Book学术提供免费学术资源搜索服务,方便国内外学者检索中英文文献。致力于提供最便捷和优质的服务体验。 Copyright © 2023 布克学术 All rights reserved.
京ICP备2023020795号-1
ghs 京公网安备 11010802042870号
Book学术文献互助
Book学术文献互助群
群 号:604180095
Book学术官方微信