男性肌肉参数和氧化应激标志物。

IF 2.1 4区 医学 Q1 PHYSIOLOGY
Michał Pietruszewski, Judyta Nowak-Kornicka, Agnieszka Żelaźniewicz, Bogusław Pawłowski
{"title":"男性肌肉参数和氧化应激标志物。","authors":"Michał Pietruszewski, Judyta Nowak-Kornicka, Agnieszka Żelaźniewicz, Bogusław Pawłowski","doi":"10.1186/s40101-025-00385-8","DOIUrl":null,"url":null,"abstract":"<p><strong>Background: </strong>The oxidative handicap hypothesis posits that testosterone-dependent traits, such as muscle mass and strength, may be costly to develop due to testosterone's pro-oxidative properties, leading to increased oxidative stress. This hypothesis suggests that only individuals with superior biological conditions can afford these costs. This study examines the oxidative handicap hypothesis, exploring the relationship between muscle mass or handgrip strength and oxidative stress markers in men.</p><p><strong>Methods: </strong>Handgrip strength and muscle mass were measured in 179 men, with muscle mass assessed using bioelectrical impedance analysis (BIA) and handgrip strength measured using a hydraulic dynamometer. Serum testosterone levels and antioxidant capacity were measured. 8-OH-dG, 8-epi-PGF2α, and protein carbonyls were measured to evaluate oxidative stress level. Pearson's correlation and multivariate regression analyses were performed to examine the relationships between handgrip strength, muscle mass, and oxidative stress markers, controlling for age, serum testosterone levels, and antioxidant capacity.</p><p><strong>Results: </strong>No significant correlations were found between handgrip strength and oxidative stress markers, even when controlling for muscle mass, antioxidant capacity, testosterone levels, and age.</p><p><strong>Conclusions: </strong>The study's findings do not support the oxidative handicap hypothesis in the context of muscle parameters in men. The results suggest that testosterone-driven traits like handgrip strength or muscle mass may not necessarily incur oxidative stress costs in healthy young men, possibly due to effective compensatory antioxidant mechanisms. Factors like lifestyle, diet, and genetic predisposition, which were not controlled in this study, could also influence the observed outcomes and should be included in future research.</p>","PeriodicalId":48730,"journal":{"name":"Journal of Physiological Anthropology","volume":"44 1","pages":"2"},"PeriodicalIF":2.1000,"publicationDate":"2025-01-17","publicationTypes":"Journal Article","fieldsOfStudy":null,"isOpenAccess":false,"openAccessPdf":"https://www.ncbi.nlm.nih.gov/pmc/articles/PMC11740492/pdf/","citationCount":"0","resultStr":"{\"title\":\"Muscle parameters in men and oxidative stress markers.\",\"authors\":\"Michał Pietruszewski, Judyta Nowak-Kornicka, Agnieszka Żelaźniewicz, Bogusław Pawłowski\",\"doi\":\"10.1186/s40101-025-00385-8\",\"DOIUrl\":null,\"url\":null,\"abstract\":\"<p><strong>Background: </strong>The oxidative handicap hypothesis posits that testosterone-dependent traits, such as muscle mass and strength, may be costly to develop due to testosterone's pro-oxidative properties, leading to increased oxidative stress. This hypothesis suggests that only individuals with superior biological conditions can afford these costs. This study examines the oxidative handicap hypothesis, exploring the relationship between muscle mass or handgrip strength and oxidative stress markers in men.</p><p><strong>Methods: </strong>Handgrip strength and muscle mass were measured in 179 men, with muscle mass assessed using bioelectrical impedance analysis (BIA) and handgrip strength measured using a hydraulic dynamometer. Serum testosterone levels and antioxidant capacity were measured. 8-OH-dG, 8-epi-PGF2α, and protein carbonyls were measured to evaluate oxidative stress level. Pearson's correlation and multivariate regression analyses were performed to examine the relationships between handgrip strength, muscle mass, and oxidative stress markers, controlling for age, serum testosterone levels, and antioxidant capacity.</p><p><strong>Results: </strong>No significant correlations were found between handgrip strength and oxidative stress markers, even when controlling for muscle mass, antioxidant capacity, testosterone levels, and age.</p><p><strong>Conclusions: </strong>The study's findings do not support the oxidative handicap hypothesis in the context of muscle parameters in men. The results suggest that testosterone-driven traits like handgrip strength or muscle mass may not necessarily incur oxidative stress costs in healthy young men, possibly due to effective compensatory antioxidant mechanisms. Factors like lifestyle, diet, and genetic predisposition, which were not controlled in this study, could also influence the observed outcomes and should be included in future research.</p>\",\"PeriodicalId\":48730,\"journal\":{\"name\":\"Journal of Physiological Anthropology\",\"volume\":\"44 1\",\"pages\":\"2\"},\"PeriodicalIF\":2.1000,\"publicationDate\":\"2025-01-17\",\"publicationTypes\":\"Journal Article\",\"fieldsOfStudy\":null,\"isOpenAccess\":false,\"openAccessPdf\":\"https://www.ncbi.nlm.nih.gov/pmc/articles/PMC11740492/pdf/\",\"citationCount\":\"0\",\"resultStr\":null,\"platform\":\"Semanticscholar\",\"paperid\":null,\"PeriodicalName\":\"Journal of Physiological Anthropology\",\"FirstCategoryId\":\"3\",\"ListUrlMain\":\"https://doi.org/10.1186/s40101-025-00385-8\",\"RegionNum\":4,\"RegionCategory\":\"医学\",\"ArticlePicture\":[],\"TitleCN\":null,\"AbstractTextCN\":null,\"PMCID\":null,\"EPubDate\":\"\",\"PubModel\":\"\",\"JCR\":\"Q1\",\"JCRName\":\"PHYSIOLOGY\",\"Score\":null,\"Total\":0}","platform":"Semanticscholar","paperid":null,"PeriodicalName":"Journal of Physiological Anthropology","FirstCategoryId":"3","ListUrlMain":"https://doi.org/10.1186/s40101-025-00385-8","RegionNum":4,"RegionCategory":"医学","ArticlePicture":[],"TitleCN":null,"AbstractTextCN":null,"PMCID":null,"EPubDate":"","PubModel":"","JCR":"Q1","JCRName":"PHYSIOLOGY","Score":null,"Total":0}
引用次数: 0

摘要

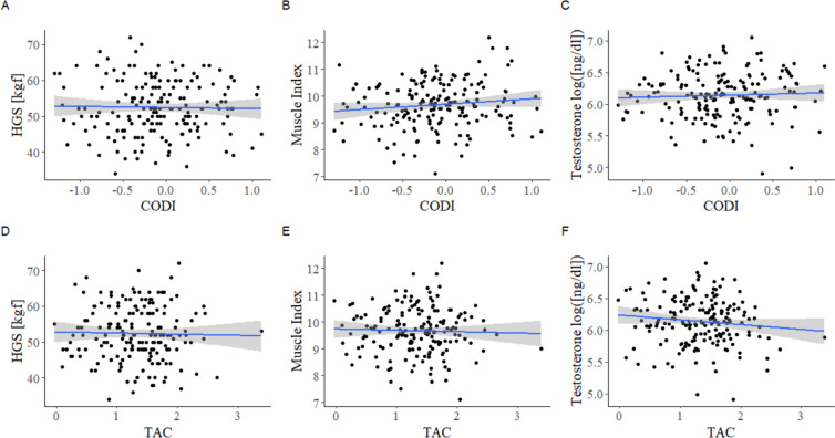
背景:氧化障碍假说认为,睾酮依赖的特征,如肌肉质量和力量,由于睾酮的促氧化特性,可能是昂贵的,导致氧化应激增加。这一假设表明,只有生物条件优越的个体才能负担得起这些费用。本研究检验了氧化障碍假说,探讨了男性肌肉质量或握力与氧化应激标志物之间的关系。方法:测量179名男性的握力和肌肉质量,肌肉质量采用生物电阻抗分析(BIA)评估,握力采用水力测功仪测量。测定血清睾酮水平和抗氧化能力。测定8-OH-dG、8-epi-PGF2α和蛋白羰基以评价氧化应激水平。在控制年龄、血清睾酮水平和抗氧化能力的情况下,采用Pearson相关分析和多变量回归分析来检验握力、肌肉质量和氧化应激标志物之间的关系。结果:即使在控制肌肉质量、抗氧化能力、睾丸激素水平和年龄的情况下,也没有发现握力和氧化应激标志物之间的显著相关性。结论:该研究结果不支持男性肌肉参数中氧化障碍假说。结果表明,睾丸激素驱动的特征,如握力或肌肉质量,可能不一定会引起健康年轻男性的氧化应激成本,这可能是由于有效的代偿性抗氧化机制。本研究未控制的生活方式、饮食、遗传易感性等因素也可能影响观察结果,应纳入未来的研究。
本文章由计算机程序翻译,如有差异,请以英文原文为准。

Muscle parameters in men and oxidative stress markers.

Muscle parameters in men and oxidative stress markers.

Background: The oxidative handicap hypothesis posits that testosterone-dependent traits, such as muscle mass and strength, may be costly to develop due to testosterone's pro-oxidative properties, leading to increased oxidative stress. This hypothesis suggests that only individuals with superior biological conditions can afford these costs. This study examines the oxidative handicap hypothesis, exploring the relationship between muscle mass or handgrip strength and oxidative stress markers in men.

Methods: Handgrip strength and muscle mass were measured in 179 men, with muscle mass assessed using bioelectrical impedance analysis (BIA) and handgrip strength measured using a hydraulic dynamometer. Serum testosterone levels and antioxidant capacity were measured. 8-OH-dG, 8-epi-PGF2α, and protein carbonyls were measured to evaluate oxidative stress level. Pearson's correlation and multivariate regression analyses were performed to examine the relationships between handgrip strength, muscle mass, and oxidative stress markers, controlling for age, serum testosterone levels, and antioxidant capacity.

Results: No significant correlations were found between handgrip strength and oxidative stress markers, even when controlling for muscle mass, antioxidant capacity, testosterone levels, and age.

Conclusions: The study's findings do not support the oxidative handicap hypothesis in the context of muscle parameters in men. The results suggest that testosterone-driven traits like handgrip strength or muscle mass may not necessarily incur oxidative stress costs in healthy young men, possibly due to effective compensatory antioxidant mechanisms. Factors like lifestyle, diet, and genetic predisposition, which were not controlled in this study, could also influence the observed outcomes and should be included in future research.

求助全文
通过发布文献求助,成功后即可免费获取论文全文。 去求助
来源期刊
自引率
6.50%
发文量
39
期刊介绍: Journal of Physiological Anthropology (JPA) is an open access, peer-reviewed journal that publishes research on the physiological functions of modern mankind, with an emphasis on the physical and bio-cultural effects on human adaptability to the current environment. The objective of JPA is to evaluate physiological adaptations to modern living environments, and to publish research from different scientific fields concerned with environmental impact on human life. Topic areas include, but are not limited to: environmental physiology bio-cultural environment living environment epigenetic adaptation development and growth age and sex differences nutrition and morphology physical fitness and health Journal of Physiological Anthropology is the official journal of the Japan Society of Physiological Anthropology.
×
引用
GB/T 7714-2015
复制
MLA
复制
APA
复制
导出至
BibTeX EndNote RefMan NoteFirst NoteExpress
×
提示
您的信息不完整,为了账户安全,请先补充。
现在去补充
×
提示
您因"违规操作"
具体请查看互助需知
我知道了
×
提示
确定
请完成安全验证×
copy
已复制链接
快去分享给好友吧!
我知道了
右上角分享
点击右上角分享
0
联系我们:info@booksci.cn Book学术提供免费学术资源搜索服务,方便国内外学者检索中英文文献。致力于提供最便捷和优质的服务体验。 Copyright © 2023 布克学术 All rights reserved.
京ICP备2023020795号-1
ghs 京公网安备 11010802042870号
Book学术文献互助
Book学术文献互助群
群 号:604180095
Book学术官方微信