关节置换术在Perthes病治疗中的发病率和并发症:一项系统回顾和荟萃分析。

IF 1.9 Q2 MEDICINE, GENERAL & INTERNAL
Abdulsalam M. Aleid MD , Saud N. Aldanyowi MD , Hasan A. AlAidarous MD , Zainab M. Aleid MD , Abdulaziz S. Alharthi MD , Abbas Al Mutair MD
{"title":"关节置换术在Perthes病治疗中的发病率和并发症:一项系统回顾和荟萃分析。","authors":"Abdulsalam M. Aleid MD , Saud N. Aldanyowi MD , Hasan A. AlAidarous MD , Zainab M. Aleid MD , Abdulaziz S. Alharthi MD , Abbas Al Mutair MD","doi":"10.1016/j.jtumed.2024.12.003","DOIUrl":null,"url":null,"abstract":"","PeriodicalId":46806,"journal":{"name":"Journal of Taibah University Medical Sciences","volume":"20 1","pages":"Pages 13-24"},"PeriodicalIF":1.9000,"publicationDate":"2025-02-01","publicationTypes":"Journal Article","fieldsOfStudy":null,"isOpenAccess":false,"openAccessPdf":"https://www.ncbi.nlm.nih.gov/pmc/articles/PMC11742851/pdf/","citationCount":"0","resultStr":"{\"title\":\"Incidence and complication rate of arthroplasty in Perthes disease management: A systematic review and meta-analysis\",\"authors\":\"Abdulsalam M. Aleid MD , Saud N. Aldanyowi MD , Hasan A. AlAidarous MD , Zainab M. Aleid MD , Abdulaziz S. Alharthi MD , Abbas Al Mutair MD\",\"doi\":\"10.1016/j.jtumed.2024.12.003\",\"DOIUrl\":null,\"url\":null,\"abstract\":\"\",\"PeriodicalId\":46806,\"journal\":{\"name\":\"Journal of Taibah University Medical Sciences\",\"volume\":\"20 1\",\"pages\":\"Pages 13-24\"},\"PeriodicalIF\":1.9000,\"publicationDate\":\"2025-02-01\",\"publicationTypes\":\"Journal Article\",\"fieldsOfStudy\":null,\"isOpenAccess\":false,\"openAccessPdf\":\"https://www.ncbi.nlm.nih.gov/pmc/articles/PMC11742851/pdf/\",\"citationCount\":\"0\",\"resultStr\":null,\"platform\":\"Semanticscholar\",\"paperid\":null,\"PeriodicalName\":\"Journal of Taibah University Medical Sciences\",\"FirstCategoryId\":\"1085\",\"ListUrlMain\":\"https://www.sciencedirect.com/science/article/pii/S1658361224001471\",\"RegionNum\":0,\"RegionCategory\":null,\"ArticlePicture\":[],\"TitleCN\":null,\"AbstractTextCN\":null,\"PMCID\":null,\"EPubDate\":\"\",\"PubModel\":\"\",\"JCR\":\"Q2\",\"JCRName\":\"MEDICINE, GENERAL & INTERNAL\",\"Score\":null,\"Total\":0}","platform":"Semanticscholar","paperid":null,"PeriodicalName":"Journal of Taibah University Medical Sciences","FirstCategoryId":"1085","ListUrlMain":"https://www.sciencedirect.com/science/article/pii/S1658361224001471","RegionNum":0,"RegionCategory":null,"ArticlePicture":[],"TitleCN":null,"AbstractTextCN":null,"PMCID":null,"EPubDate":"","PubModel":"","JCR":"Q2","JCRName":"MEDICINE, GENERAL & INTERNAL","Score":null,"Total":0}
引用次数: 0

摘要

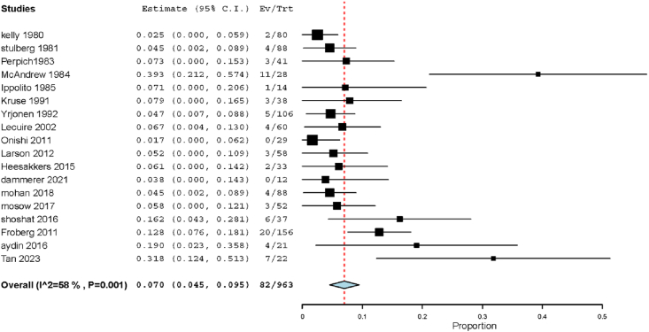
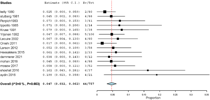
背景:Perthes病在骨科治疗中提出了一个挑战,通常需要手术干预,如关节置换术。本荟萃分析系统地评估了Perthes病的发生率和与关节置换术相关的并发症。方法:在PubMed、Web of Sciences、Scopus和Cochrane Library数据库中进行综合检索,以确定相关研究。纳入标准包括评估Perthes病患者关节置换术结果的研究。数据提取和质量评估由两名审稿人独立完成。采用随机效应模型综合结果,采用I2统计量评估异质性。28项观察性研究共纳入1737例患者,报告中度异质性。结果:我们发现纳入meta分析的18项研究中,关节置换术的发生率为7%(95%可信区间[CI]: 0.045-0.95, I2 = 58%)。关节置换术后并发症发生率显著,283例患者中发生率为22.9%。总之,一项对30项观察性研究的分析发现,近23%的患者术后并发症发生率为7%。结论:本研究结果表明,关节置换术是一种相对少见的治疗Perthes病的方法。关节置换术后的并发症是一个重要的问题,影响了近四分之一的患者。尽管在Perthes使用关节置换术并不常见,但并发症的发生率引起了人们的关注,表明其使用相对不安全。因此,对于接受关节置换术的Perthes病患者,应注意并发症的风险,并研究预防措施以克服这种风险。研究类型:系统综述和荟萃分析。证据水平:II。
本文章由计算机程序翻译,如有差异,请以英文原文为准。

Incidence and complication rate of arthroplasty in Perthes disease management: A systematic review and meta-analysis

Incidence and complication rate of arthroplasty in Perthes disease management: A systematic review and meta-analysis

Incidence and complication rate of arthroplasty in Perthes disease management: A systematic review and meta-analysis

Incidence and complication rate of arthroplasty in Perthes disease management: A systematic review and meta-analysis
求助全文
通过发布文献求助,成功后即可免费获取论文全文。 去求助
来源期刊
Journal of Taibah University Medical Sciences
Journal of Taibah University Medical Sciences MEDICINE, GENERAL & INTERNAL-
CiteScore
3.40
自引率
4.50%
发文量
130
审稿时长
29 days
×
引用
GB/T 7714-2015
复制
MLA
复制
APA
复制
导出至
BibTeX EndNote RefMan NoteFirst NoteExpress
×
提示
您的信息不完整,为了账户安全,请先补充。
现在去补充
×
提示
您因"违规操作"
具体请查看互助需知
我知道了
×
提示
确定
请完成安全验证×
copy
已复制链接
快去分享给好友吧!
我知道了
右上角分享
点击右上角分享
0
联系我们:info@booksci.cn Book学术提供免费学术资源搜索服务,方便国内外学者检索中英文文献。致力于提供最便捷和优质的服务体验。 Copyright © 2023 布克学术 All rights reserved.
京ICP备2023020795号-1
ghs 京公网安备 11010802042870号
Book学术文献互助
Book学术文献互助群
群 号:604180095
Book学术官方微信