缺陷态增强掺铒钼酸银纳米结构的非线性吸收和光限制行为。

IF 3.9 2区 综合性期刊 Q1 MULTIDISCIPLINARY SCIENCES
B Binish, K Mani Rahulan, T C Sabari Girisun, Nisha S Panicker
{"title":"缺陷态增强掺铒钼酸银纳米结构的非线性吸收和光限制行为。","authors":"B Binish, K Mani Rahulan, T C Sabari Girisun, Nisha S Panicker","doi":"10.1038/s41598-024-78473-5","DOIUrl":null,"url":null,"abstract":"<p><p>Transition metal based optical limiting materials have garnered significant attention due their crucial role in protecting sensitive optical system from high intense laser damage. Transition metal molybdates exhibits nonlinear optical (NLO) response, which attenuate highly intense light by transmitting light of desired intensity. Herein we report Silver molybdate (Ag<sub>2</sub>MoO<sub>4</sub>) nanostructures doped with erbium (Er) ions were successfully synthesized by simple co-precipitation technique. The proper incorporation of Er ions into the Ag<sub>2</sub>MoO<sub>4</sub> lattice without altering the crystal structure was confirmed by XRD Analysis. The optical properties studied using UV-Vis absorption Spectroscopy exhibited maximum absorption in UV region and the absorption in the visible region is found to increase with the addition of Er ions into the host lattice. The XPS spectra confirmed the + 3 oxidation state of erbium and Ag<sup>0</sup> state of silver. The NLO parameters such as, nonlinear absorption (NLA) and optical limiting (OL) was studied for the first time under 532 nm nanosecond laser excitation. Results suggest that erbium doped silver molybdate exhibited reverse saturable absorption originated from two photon absorption. The synthesized samples exhibited excellent nonlinear absorption and optical limiting performance. Also it is observed that with the addition of Er ions, the two photon absorption (2PA) is found to enhance from 0.85 × 10<sup>-10</sup> m/W (pure Ag<sub>2</sub>MoO<sub>4</sub>) to 6.223 × 10<sup>-10</sup> m/W for 0.5% Er doped sample. So, erbium doped silver molybdate nanostructures can be used for various tunable optoelectronic devices.</p>","PeriodicalId":21811,"journal":{"name":"Scientific Reports","volume":"15 1","pages":"2615"},"PeriodicalIF":3.9000,"publicationDate":"2025-01-21","publicationTypes":"Journal Article","fieldsOfStudy":null,"isOpenAccess":false,"openAccessPdf":"https://www.ncbi.nlm.nih.gov/pmc/articles/PMC11751463/pdf/","citationCount":"0","resultStr":"{\"title\":\"Defect state enhanced nonlinear absorption and optical limiting behaviour of erbium doped silver molybdate nanostructures.\",\"authors\":\"B Binish, K Mani Rahulan, T C Sabari Girisun, Nisha S Panicker\",\"doi\":\"10.1038/s41598-024-78473-5\",\"DOIUrl\":null,\"url\":null,\"abstract\":\"<p><p>Transition metal based optical limiting materials have garnered significant attention due their crucial role in protecting sensitive optical system from high intense laser damage. Transition metal molybdates exhibits nonlinear optical (NLO) response, which attenuate highly intense light by transmitting light of desired intensity. Herein we report Silver molybdate (Ag<sub>2</sub>MoO<sub>4</sub>) nanostructures doped with erbium (Er) ions were successfully synthesized by simple co-precipitation technique. The proper incorporation of Er ions into the Ag<sub>2</sub>MoO<sub>4</sub> lattice without altering the crystal structure was confirmed by XRD Analysis. The optical properties studied using UV-Vis absorption Spectroscopy exhibited maximum absorption in UV region and the absorption in the visible region is found to increase with the addition of Er ions into the host lattice. The XPS spectra confirmed the + 3 oxidation state of erbium and Ag<sup>0</sup> state of silver. The NLO parameters such as, nonlinear absorption (NLA) and optical limiting (OL) was studied for the first time under 532 nm nanosecond laser excitation. Results suggest that erbium doped silver molybdate exhibited reverse saturable absorption originated from two photon absorption. The synthesized samples exhibited excellent nonlinear absorption and optical limiting performance. Also it is observed that with the addition of Er ions, the two photon absorption (2PA) is found to enhance from 0.85 × 10<sup>-10</sup> m/W (pure Ag<sub>2</sub>MoO<sub>4</sub>) to 6.223 × 10<sup>-10</sup> m/W for 0.5% Er doped sample. So, erbium doped silver molybdate nanostructures can be used for various tunable optoelectronic devices.</p>\",\"PeriodicalId\":21811,\"journal\":{\"name\":\"Scientific Reports\",\"volume\":\"15 1\",\"pages\":\"2615\"},\"PeriodicalIF\":3.9000,\"publicationDate\":\"2025-01-21\",\"publicationTypes\":\"Journal Article\",\"fieldsOfStudy\":null,\"isOpenAccess\":false,\"openAccessPdf\":\"https://www.ncbi.nlm.nih.gov/pmc/articles/PMC11751463/pdf/\",\"citationCount\":\"0\",\"resultStr\":null,\"platform\":\"Semanticscholar\",\"paperid\":null,\"PeriodicalName\":\"Scientific Reports\",\"FirstCategoryId\":\"103\",\"ListUrlMain\":\"https://doi.org/10.1038/s41598-024-78473-5\",\"RegionNum\":2,\"RegionCategory\":\"综合性期刊\",\"ArticlePicture\":[],\"TitleCN\":null,\"AbstractTextCN\":null,\"PMCID\":null,\"EPubDate\":\"\",\"PubModel\":\"\",\"JCR\":\"Q1\",\"JCRName\":\"MULTIDISCIPLINARY SCIENCES\",\"Score\":null,\"Total\":0}","platform":"Semanticscholar","paperid":null,"PeriodicalName":"Scientific Reports","FirstCategoryId":"103","ListUrlMain":"https://doi.org/10.1038/s41598-024-78473-5","RegionNum":2,"RegionCategory":"综合性期刊","ArticlePicture":[],"TitleCN":null,"AbstractTextCN":null,"PMCID":null,"EPubDate":"","PubModel":"","JCR":"Q1","JCRName":"MULTIDISCIPLINARY SCIENCES","Score":null,"Total":0}
引用次数: 0

摘要

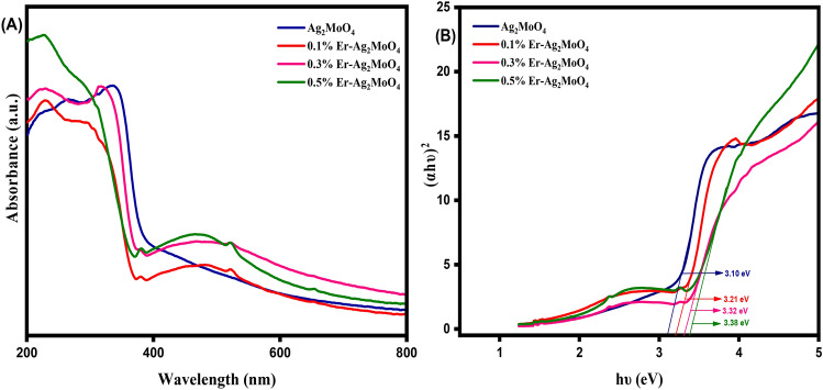
过渡金属基光学限制材料因其在保护敏感光学系统免受强激光损伤方面的重要作用而引起了人们的广泛关注。过渡金属钼酸盐表现出非线性光学响应,通过透射所需强度的光来衰减强光。本文报道了用简单共沉淀法成功合成了掺杂铒离子的钼酸银(Ag2MoO4)纳米结构。通过XRD分析,证实了在不改变Ag2MoO4晶体结构的情况下,适当地将Er离子掺入Ag2MoO4晶格中。利用紫外-可见吸收光谱研究的光学性质表明,在紫外区吸收最大,在可见光区吸收随着Er离子的加入而增加。XPS光谱证实了铒的+ 3氧化态和银的Ag0氧化态。首次研究了532 nm纳秒激光激发下的非线性吸收(NLA)和光限(OL)等NLO参数。结果表明,掺铒钼酸银表现出由双光子吸收引起的反向饱和吸收。合成的样品具有良好的非线性吸收和光学限制性能。此外,随着Er离子的加入,双光子吸收(2PA)从0.85 × 10-10 m/W(纯Ag2MoO4)提高到6.223 × 10-10 m/W (0.5% Er掺杂样品)。因此,掺铒钼酸银纳米结构可用于各种可调谐光电器件。
本文章由计算机程序翻译,如有差异,请以英文原文为准。

Defect state enhanced nonlinear absorption and optical limiting behaviour of erbium doped silver molybdate nanostructures.

Defect state enhanced nonlinear absorption and optical limiting behaviour of erbium doped silver molybdate nanostructures.

Defect state enhanced nonlinear absorption and optical limiting behaviour of erbium doped silver molybdate nanostructures.

Defect state enhanced nonlinear absorption and optical limiting behaviour of erbium doped silver molybdate nanostructures.

Transition metal based optical limiting materials have garnered significant attention due their crucial role in protecting sensitive optical system from high intense laser damage. Transition metal molybdates exhibits nonlinear optical (NLO) response, which attenuate highly intense light by transmitting light of desired intensity. Herein we report Silver molybdate (Ag2MoO4) nanostructures doped with erbium (Er) ions were successfully synthesized by simple co-precipitation technique. The proper incorporation of Er ions into the Ag2MoO4 lattice without altering the crystal structure was confirmed by XRD Analysis. The optical properties studied using UV-Vis absorption Spectroscopy exhibited maximum absorption in UV region and the absorption in the visible region is found to increase with the addition of Er ions into the host lattice. The XPS spectra confirmed the + 3 oxidation state of erbium and Ag0 state of silver. The NLO parameters such as, nonlinear absorption (NLA) and optical limiting (OL) was studied for the first time under 532 nm nanosecond laser excitation. Results suggest that erbium doped silver molybdate exhibited reverse saturable absorption originated from two photon absorption. The synthesized samples exhibited excellent nonlinear absorption and optical limiting performance. Also it is observed that with the addition of Er ions, the two photon absorption (2PA) is found to enhance from 0.85 × 10-10 m/W (pure Ag2MoO4) to 6.223 × 10-10 m/W for 0.5% Er doped sample. So, erbium doped silver molybdate nanostructures can be used for various tunable optoelectronic devices.

求助全文
通过发布文献求助,成功后即可免费获取论文全文。 去求助
来源期刊
Scientific Reports
Scientific Reports Natural Science Disciplines-
CiteScore
7.50
自引率
4.30%
发文量
19567
审稿时长
3.9 months
期刊介绍: We publish original research from all areas of the natural sciences, psychology, medicine and engineering. You can learn more about what we publish by browsing our specific scientific subject areas below or explore Scientific Reports by browsing all articles and collections. Scientific Reports has a 2-year impact factor: 4.380 (2021), and is the 6th most-cited journal in the world, with more than 540,000 citations in 2020 (Clarivate Analytics, 2021). •Engineering Engineering covers all aspects of engineering, technology, and applied science. It plays a crucial role in the development of technologies to address some of the world''s biggest challenges, helping to save lives and improve the way we live. •Physical sciences Physical sciences are those academic disciplines that aim to uncover the underlying laws of nature — often written in the language of mathematics. It is a collective term for areas of study including astronomy, chemistry, materials science and physics. •Earth and environmental sciences Earth and environmental sciences cover all aspects of Earth and planetary science and broadly encompass solid Earth processes, surface and atmospheric dynamics, Earth system history, climate and climate change, marine and freshwater systems, and ecology. It also considers the interactions between humans and these systems. •Biological sciences Biological sciences encompass all the divisions of natural sciences examining various aspects of vital processes. The concept includes anatomy, physiology, cell biology, biochemistry and biophysics, and covers all organisms from microorganisms, animals to plants. •Health sciences The health sciences study health, disease and healthcare. This field of study aims to develop knowledge, interventions and technology for use in healthcare to improve the treatment of patients.
×
引用
GB/T 7714-2015
复制
MLA
复制
APA
复制
导出至
BibTeX EndNote RefMan NoteFirst NoteExpress
×
提示
您的信息不完整,为了账户安全,请先补充。
现在去补充
×
提示
您因"违规操作"
具体请查看互助需知
我知道了
×
提示
确定
请完成安全验证×
copy
已复制链接
快去分享给好友吧!
我知道了
右上角分享
点击右上角分享
0
联系我们:info@booksci.cn Book学术提供免费学术资源搜索服务,方便国内外学者检索中英文文献。致力于提供最便捷和优质的服务体验。 Copyright © 2023 布克学术 All rights reserved.
京ICP备2023020795号-1
ghs 京公网安备 11010802042870号
Book学术文献互助
Book学术文献互助群
群 号:604180095
Book学术官方微信