拳击训练对帕金森病患者的疗效:系统回顾和meta分析。

IF 0.8 4区 医学 Q4 CLINICAL NEUROLOGY
Daniel González-Devesa, Carlos Ayán, Miguel Adriano Sanchez-Lastra, Ciro Gutiérrez-Hong, Adrián García-Fresneda, José Carlos Diz
{"title":"拳击训练对帕金森病患者的疗效:系统回顾和meta分析。","authors":"Daniel González-Devesa, Carlos Ayán, Miguel Adriano Sanchez-Lastra, Ciro Gutiérrez-Hong, Adrián García-Fresneda, José Carlos Diz","doi":"10.31083/RN36478","DOIUrl":null,"url":null,"abstract":"<p><strong>Objective: </strong>This study aimed to systematically review the available evidence on the effects of boxing interventions on people with Parkinson disease.</p><p><strong>Methods: </strong>Four electronic databases were searched systematically from their inception until December 2023. The methodological quality of the included studies was assessed using the Physiotherapy Evidence Database and Methodological Index for Non-Randomized Studies scales.</p><p><strong>Results: </strong>A total of 13 studies were included. Data synthesis indicated that participants who performed boxing programs did not have a significant effect in the polled data on functional mobility, balance, motor symptoms, gait and cardiorespiratory fitness Accordingly, for the effects of boxing on self-reported quality of life, the polled data showed a non-significant trend towards improving Hedges' g. Also, when the analysis was performed by comparing the experimental and control groups, the results remained non-significant.</p><p><strong>Conclusions: </strong>The evidence regarding the use of boxing as a program exercise for patients with Parkinson disease remains uncertain. Preliminary findings indicate that participation in boxing does not demonstrate a substantial impact on either physical or mental health outcomes.</p>","PeriodicalId":21281,"journal":{"name":"Revista de neurologia","volume":"79 11","pages":"36478"},"PeriodicalIF":0.8000,"publicationDate":"2024-12-20","publicationTypes":"Journal Article","fieldsOfStudy":null,"isOpenAccess":false,"openAccessPdf":"https://www.ncbi.nlm.nih.gov/pmc/articles/PMC11778260/pdf/","citationCount":"0","resultStr":"{\"title\":\"The Efficacy of Boxing Training on Patients with Parkinson's Disease: Systematic Review and Meta-Analysis.\",\"authors\":\"Daniel González-Devesa, Carlos Ayán, Miguel Adriano Sanchez-Lastra, Ciro Gutiérrez-Hong, Adrián García-Fresneda, José Carlos Diz\",\"doi\":\"10.31083/RN36478\",\"DOIUrl\":null,\"url\":null,\"abstract\":\"<p><strong>Objective: </strong>This study aimed to systematically review the available evidence on the effects of boxing interventions on people with Parkinson disease.</p><p><strong>Methods: </strong>Four electronic databases were searched systematically from their inception until December 2023. The methodological quality of the included studies was assessed using the Physiotherapy Evidence Database and Methodological Index for Non-Randomized Studies scales.</p><p><strong>Results: </strong>A total of 13 studies were included. Data synthesis indicated that participants who performed boxing programs did not have a significant effect in the polled data on functional mobility, balance, motor symptoms, gait and cardiorespiratory fitness Accordingly, for the effects of boxing on self-reported quality of life, the polled data showed a non-significant trend towards improving Hedges' g. Also, when the analysis was performed by comparing the experimental and control groups, the results remained non-significant.</p><p><strong>Conclusions: </strong>The evidence regarding the use of boxing as a program exercise for patients with Parkinson disease remains uncertain. Preliminary findings indicate that participation in boxing does not demonstrate a substantial impact on either physical or mental health outcomes.</p>\",\"PeriodicalId\":21281,\"journal\":{\"name\":\"Revista de neurologia\",\"volume\":\"79 11\",\"pages\":\"36478\"},\"PeriodicalIF\":0.8000,\"publicationDate\":\"2024-12-20\",\"publicationTypes\":\"Journal Article\",\"fieldsOfStudy\":null,\"isOpenAccess\":false,\"openAccessPdf\":\"https://www.ncbi.nlm.nih.gov/pmc/articles/PMC11778260/pdf/\",\"citationCount\":\"0\",\"resultStr\":null,\"platform\":\"Semanticscholar\",\"paperid\":null,\"PeriodicalName\":\"Revista de neurologia\",\"FirstCategoryId\":\"3\",\"ListUrlMain\":\"https://doi.org/10.31083/RN36478\",\"RegionNum\":4,\"RegionCategory\":\"医学\",\"ArticlePicture\":[],\"TitleCN\":null,\"AbstractTextCN\":null,\"PMCID\":null,\"EPubDate\":\"\",\"PubModel\":\"\",\"JCR\":\"Q4\",\"JCRName\":\"CLINICAL NEUROLOGY\",\"Score\":null,\"Total\":0}","platform":"Semanticscholar","paperid":null,"PeriodicalName":"Revista de neurologia","FirstCategoryId":"3","ListUrlMain":"https://doi.org/10.31083/RN36478","RegionNum":4,"RegionCategory":"医学","ArticlePicture":[],"TitleCN":null,"AbstractTextCN":null,"PMCID":null,"EPubDate":"","PubModel":"","JCR":"Q4","JCRName":"CLINICAL NEUROLOGY","Score":null,"Total":0}
引用次数: 0

摘要

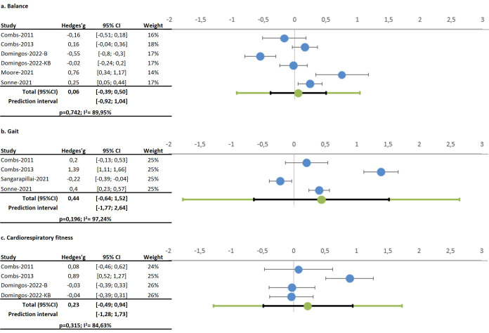
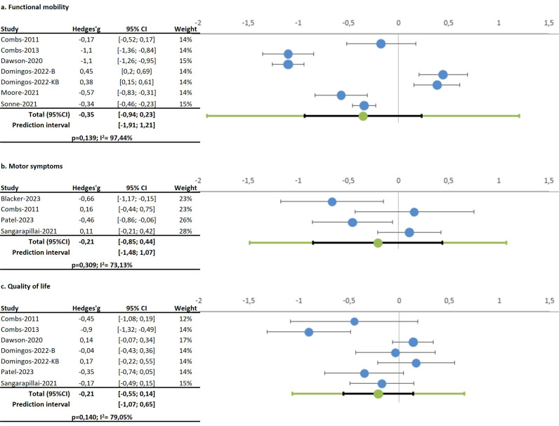
目的:本研究旨在系统地回顾拳击干预对帕金森病患者影响的现有证据。方法:系统检索自建库至2023年12月的4个电子数据库。纳入研究的方法学质量采用物理治疗证据数据库和非随机研究方法学指数量表进行评估。结果:共纳入13项研究。数据综合表明,参加拳击项目的参与者在功能活动能力、平衡能力、运动症状、步态和心肺健康方面的问卷调查数据没有显著影响,因此,对于拳击对自我报告的生活质量的影响,问卷调查数据显示Hedges' g改善的趋势不显著。同样,当比较实验组和对照组进行分析时,结果仍然不显著。结论:关于使用拳击作为帕金森病患者的一项计划运动的证据仍然不确定。初步研究结果表明,参加拳击运动对身体或心理健康结果没有实质性影响。
本文章由计算机程序翻译,如有差异,请以英文原文为准。

The Efficacy of Boxing Training on Patients with Parkinson's Disease: Systematic Review and Meta-Analysis.

The Efficacy of Boxing Training on Patients with Parkinson's Disease: Systematic Review and Meta-Analysis.

The Efficacy of Boxing Training on Patients with Parkinson's Disease: Systematic Review and Meta-Analysis.

The Efficacy of Boxing Training on Patients with Parkinson's Disease: Systematic Review and Meta-Analysis.

Objective: This study aimed to systematically review the available evidence on the effects of boxing interventions on people with Parkinson disease.

Methods: Four electronic databases were searched systematically from their inception until December 2023. The methodological quality of the included studies was assessed using the Physiotherapy Evidence Database and Methodological Index for Non-Randomized Studies scales.

Results: A total of 13 studies were included. Data synthesis indicated that participants who performed boxing programs did not have a significant effect in the polled data on functional mobility, balance, motor symptoms, gait and cardiorespiratory fitness Accordingly, for the effects of boxing on self-reported quality of life, the polled data showed a non-significant trend towards improving Hedges' g. Also, when the analysis was performed by comparing the experimental and control groups, the results remained non-significant.

Conclusions: The evidence regarding the use of boxing as a program exercise for patients with Parkinson disease remains uncertain. Preliminary findings indicate that participation in boxing does not demonstrate a substantial impact on either physical or mental health outcomes.

求助全文
通过发布文献求助,成功后即可免费获取论文全文。 去求助
来源期刊
Revista de neurologia
Revista de neurologia 医学-临床神经学
CiteScore
2.50
自引率
8.30%
发文量
117
审稿时长
3-8 weeks
期刊介绍: Revista de Neurología fomenta y difunde el conocimiento generado en lengua española sobre neurociencia, tanto clínica como experimental.
×
引用
GB/T 7714-2015
复制
MLA
复制
APA
复制
导出至
BibTeX EndNote RefMan NoteFirst NoteExpress
×
提示
您的信息不完整,为了账户安全,请先补充。
现在去补充
×
提示
您因"违规操作"
具体请查看互助需知
我知道了
×
提示
确定
请完成安全验证×
copy
已复制链接
快去分享给好友吧!
我知道了
右上角分享
点击右上角分享
0
联系我们:info@booksci.cn Book学术提供免费学术资源搜索服务,方便国内外学者检索中英文文献。致力于提供最便捷和优质的服务体验。 Copyright © 2023 布克学术 All rights reserved.
京ICP备2023020795号-1
ghs 京公网安备 11010802042870号
Book学术文献互助
Book学术文献互助群
群 号:604180095
Book学术官方微信