改进伴侣通知对男男性行为者中艾滋病毒和淋病奈瑟菌传播的影响:一项模拟研究。

IF 2.9 3区 医学 Q2 INFECTIOUS DISEASES
Maarten Reitsema, Jacco Wallinga, Birgit H B van Benthem, Eline L M Op de Coul, Ard Van Sighem, Maarten Schim van der Loeff, Maria Xiridou
{"title":"改进伴侣通知对男男性行为者中艾滋病毒和淋病奈瑟菌传播的影响:一项模拟研究。","authors":"Maarten Reitsema, Jacco Wallinga, Birgit H B van Benthem, Eline L M Op de Coul, Ard Van Sighem, Maarten Schim van der Loeff, Maria Xiridou","doi":"10.1136/sextrans-2023-055772","DOIUrl":null,"url":null,"abstract":"<p><p><b>Objectives</b> Men who have sex with men (MSM) are disproportionally affected by HIV in the Netherlands. Partner notification (PN) is an important element in controlling the transmission of sexually transmitted infections (STIs) and HIV. We investigated the effects of improving PN on the transmission of HIV and <i>Neisseria gonorrhoeae</i> (NG) among MSM in the Netherlands. <b>Methods</b> We developed an agent-based model that describes the transmission of HIV and NG among MSM. In the baseline scenario, 14.3% and 29.8% of casual and steady partners of the index case get notified and tested for HIV/STI after 3 weeks (percentage notified and tested (PNT)). We examined the following scenarios: (1) increase PNT to 41% for both partner types; (2) decrease the time between the index and the partners tested to 1 week and (3) combine scenarios 1 and 2. Effects are expressed as cumulative change from the baseline simulation over 15 years. <b>Results</b> Increasing PNT could lead to a decrease in gonorrhoea cases of 45% (IQR 39.9% to 49.9%), with an increase in the number of HIV/STI tests of 4.4% (IQR 1.6% to 7.3%), but no change in HIV infections (-5.4%; IQR -21% to 7.9%). Decreasing the time between tests could lead to a change in new NG infections of -14.2% (IQR -17.2% to -10%), no change in HIV infections (8.2%; IQR -1.3% to 20%) or in the number of HIV/STI tests performed (-0.4%; IQR -1.5 to 0.6%). Scenario 3 led to a change in NG infections of -56.8% (IQR -63.8% to -47.4%), no change in HIV infections (11.5%; IQR -11.1% to 33.9%) or in the number of HIV/STI tests (-0.5%; IQR: -4.9% to 4.3%). <b>Conclusions</b> Increasing the percentage of sexual partners notified and tested for HIV/STI may have only a small effect on HIV but could reduce the number of new NG infections substantially. However, it could lead to an increase in the number of HIV/STI tests performed.</p>","PeriodicalId":21624,"journal":{"name":"Sexually Transmitted Infections","volume":" ","pages":"236-241"},"PeriodicalIF":2.9000,"publicationDate":"2025-05-19","publicationTypes":"Journal Article","fieldsOfStudy":null,"isOpenAccess":false,"openAccessPdf":"https://www.ncbi.nlm.nih.gov/pmc/articles/PMC12171460/pdf/","citationCount":"0","resultStr":"{\"title\":\"Effects of improved partner notification on the transmission of HIV and <i>N. gonorrhoea</i> among men who have sex with men: a modelling study.\",\"authors\":\"Maarten Reitsema, Jacco Wallinga, Birgit H B van Benthem, Eline L M Op de Coul, Ard Van Sighem, Maarten Schim van der Loeff, Maria Xiridou\",\"doi\":\"10.1136/sextrans-2023-055772\",\"DOIUrl\":null,\"url\":null,\"abstract\":\"<p><p><b>Objectives</b> Men who have sex with men (MSM) are disproportionally affected by HIV in the Netherlands. Partner notification (PN) is an important element in controlling the transmission of sexually transmitted infections (STIs) and HIV. We investigated the effects of improving PN on the transmission of HIV and <i>Neisseria gonorrhoeae</i> (NG) among MSM in the Netherlands. <b>Methods</b> We developed an agent-based model that describes the transmission of HIV and NG among MSM. In the baseline scenario, 14.3% and 29.8% of casual and steady partners of the index case get notified and tested for HIV/STI after 3 weeks (percentage notified and tested (PNT)). We examined the following scenarios: (1) increase PNT to 41% for both partner types; (2) decrease the time between the index and the partners tested to 1 week and (3) combine scenarios 1 and 2. Effects are expressed as cumulative change from the baseline simulation over 15 years. <b>Results</b> Increasing PNT could lead to a decrease in gonorrhoea cases of 45% (IQR 39.9% to 49.9%), with an increase in the number of HIV/STI tests of 4.4% (IQR 1.6% to 7.3%), but no change in HIV infections (-5.4%; IQR -21% to 7.9%). Decreasing the time between tests could lead to a change in new NG infections of -14.2% (IQR -17.2% to -10%), no change in HIV infections (8.2%; IQR -1.3% to 20%) or in the number of HIV/STI tests performed (-0.4%; IQR -1.5 to 0.6%). Scenario 3 led to a change in NG infections of -56.8% (IQR -63.8% to -47.4%), no change in HIV infections (11.5%; IQR -11.1% to 33.9%) or in the number of HIV/STI tests (-0.5%; IQR: -4.9% to 4.3%). <b>Conclusions</b> Increasing the percentage of sexual partners notified and tested for HIV/STI may have only a small effect on HIV but could reduce the number of new NG infections substantially. However, it could lead to an increase in the number of HIV/STI tests performed.</p>\",\"PeriodicalId\":21624,\"journal\":{\"name\":\"Sexually Transmitted Infections\",\"volume\":\" \",\"pages\":\"236-241\"},\"PeriodicalIF\":2.9000,\"publicationDate\":\"2025-05-19\",\"publicationTypes\":\"Journal Article\",\"fieldsOfStudy\":null,\"isOpenAccess\":false,\"openAccessPdf\":\"https://www.ncbi.nlm.nih.gov/pmc/articles/PMC12171460/pdf/\",\"citationCount\":\"0\",\"resultStr\":null,\"platform\":\"Semanticscholar\",\"paperid\":null,\"PeriodicalName\":\"Sexually Transmitted Infections\",\"FirstCategoryId\":\"3\",\"ListUrlMain\":\"https://doi.org/10.1136/sextrans-2023-055772\",\"RegionNum\":3,\"RegionCategory\":\"医学\",\"ArticlePicture\":[],\"TitleCN\":null,\"AbstractTextCN\":null,\"PMCID\":null,\"EPubDate\":\"\",\"PubModel\":\"\",\"JCR\":\"Q2\",\"JCRName\":\"INFECTIOUS DISEASES\",\"Score\":null,\"Total\":0}","platform":"Semanticscholar","paperid":null,"PeriodicalName":"Sexually Transmitted Infections","FirstCategoryId":"3","ListUrlMain":"https://doi.org/10.1136/sextrans-2023-055772","RegionNum":3,"RegionCategory":"医学","ArticlePicture":[],"TitleCN":null,"AbstractTextCN":null,"PMCID":null,"EPubDate":"","PubModel":"","JCR":"Q2","JCRName":"INFECTIOUS DISEASES","Score":null,"Total":0}
引用次数: 0

摘要

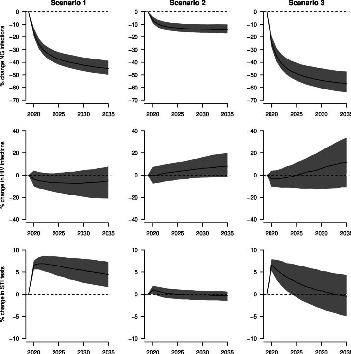
在荷兰,男男性行为者(MSM)感染艾滋病毒的比例过高。伴侣通知(PN)是控制性传播感染(sti)和艾滋病毒传播的重要因素。我们调查了改善PN对艾滋病毒和淋病奈瑟菌(NG)在荷兰男男性行为者中的传播的影响。方法我们开发了一个基于agent的模型来描述HIV和NG在MSM中的传播。在基线情况下,指标病例的临时伴侣和稳定伴侣中有14.3%和29.8%在3周后得到通报并接受艾滋病毒/性传播感染检测(通报和检测的百分比(PNT))。我们研究了以下场景:(1)将两种合作伙伴类型的PNT增加到41%;(2)将指标与被测伙伴之间的时间缩短为1周;(3)将场景1和场景2结合起来。效应表示为15年来基线模拟的累积变化。结果提高PNT可使淋病病例减少45% (IQR为39.9% ~ 49.9%),艾滋病毒/性传播感染检测次数增加4.4% (IQR为1.6% ~ 7.3%),但艾滋病毒感染没有变化(-5.4%;IQR -21%至7.9%)。缩短检测间隔时间可导致新发NG感染的变化为-14.2% (IQR为-17.2%至-10%),HIV感染无变化(8.2%;IQR -1.3%至20%)或进行艾滋病毒/性传播感染检测的次数(-0.4%;IQR -1.5 - 0.6%)。情景3导致NG感染的变化为-56.8% (IQR为-63.8%至-47.4%),HIV感染没有变化(11.5%;IQR -11.1%至33.9%)或艾滋病毒/性传播感染检测次数(-0.5%;IQR: -4.9%至4.3%)。结论:提高性伴侣艾滋病毒/性传播感染通报和检测的比例可能对艾滋病毒的影响很小,但可以显著减少新发NG感染的数量。然而,这可能导致进行艾滋病毒/性传播感染检测的次数增加。
本文章由计算机程序翻译,如有差异,请以英文原文为准。

Effects of improved partner notification on the transmission of HIV and <i>N. gonorrhoea</i> among men who have sex with men: a modelling study.

Effects of improved partner notification on the transmission of HIV and <i>N. gonorrhoea</i> among men who have sex with men: a modelling study.

Effects of improved partner notification on the transmission of HIV and N. gonorrhoea among men who have sex with men: a modelling study.

Objectives Men who have sex with men (MSM) are disproportionally affected by HIV in the Netherlands. Partner notification (PN) is an important element in controlling the transmission of sexually transmitted infections (STIs) and HIV. We investigated the effects of improving PN on the transmission of HIV and Neisseria gonorrhoeae (NG) among MSM in the Netherlands. Methods We developed an agent-based model that describes the transmission of HIV and NG among MSM. In the baseline scenario, 14.3% and 29.8% of casual and steady partners of the index case get notified and tested for HIV/STI after 3 weeks (percentage notified and tested (PNT)). We examined the following scenarios: (1) increase PNT to 41% for both partner types; (2) decrease the time between the index and the partners tested to 1 week and (3) combine scenarios 1 and 2. Effects are expressed as cumulative change from the baseline simulation over 15 years. Results Increasing PNT could lead to a decrease in gonorrhoea cases of 45% (IQR 39.9% to 49.9%), with an increase in the number of HIV/STI tests of 4.4% (IQR 1.6% to 7.3%), but no change in HIV infections (-5.4%; IQR -21% to 7.9%). Decreasing the time between tests could lead to a change in new NG infections of -14.2% (IQR -17.2% to -10%), no change in HIV infections (8.2%; IQR -1.3% to 20%) or in the number of HIV/STI tests performed (-0.4%; IQR -1.5 to 0.6%). Scenario 3 led to a change in NG infections of -56.8% (IQR -63.8% to -47.4%), no change in HIV infections (11.5%; IQR -11.1% to 33.9%) or in the number of HIV/STI tests (-0.5%; IQR: -4.9% to 4.3%). Conclusions Increasing the percentage of sexual partners notified and tested for HIV/STI may have only a small effect on HIV but could reduce the number of new NG infections substantially. However, it could lead to an increase in the number of HIV/STI tests performed.

求助全文
通过发布文献求助,成功后即可免费获取论文全文。 去求助
来源期刊
Sexually Transmitted Infections
Sexually Transmitted Infections 医学-传染病学
CiteScore
5.70
自引率
8.30%
发文量
96
审稿时长
4-8 weeks
期刊介绍: Sexually Transmitted Infections is the world’s longest running international journal on sexual health. It aims to keep practitioners, trainees and researchers up to date in the prevention, diagnosis and treatment of all STIs and HIV. The journal publishes original research, descriptive epidemiology, evidence-based reviews and comment on the clinical, public health, sociological and laboratory aspects of sexual health from around the world. We also publish educational articles, letters and other material of interest to readers, along with podcasts and other online material. STI provides a high quality editorial service from submission to publication.
×
引用
GB/T 7714-2015
复制
MLA
复制
APA
复制
导出至
BibTeX EndNote RefMan NoteFirst NoteExpress
×
提示
您的信息不完整,为了账户安全,请先补充。
现在去补充
×
提示
您因"违规操作"
具体请查看互助需知
我知道了
×
提示
确定
请完成安全验证×
copy
已复制链接
快去分享给好友吧!
我知道了
右上角分享
点击右上角分享
0
联系我们:info@booksci.cn Book学术提供免费学术资源搜索服务,方便国内外学者检索中英文文献。致力于提供最便捷和优质的服务体验。 Copyright © 2023 布克学术 All rights reserved.
京ICP备2023020795号-1
ghs 京公网安备 11010802042870号
Book学术文献互助
Book学术文献互助群
群 号:604180095
Book学术官方微信