使用机器学习模型的个体焦虑问题水平的神经解剖学预测:一项基于人群的年轻人队列研究。

IF 3.6 2区 医学 Q1 NEUROSCIENCES
Hui Xu , Jing Xu , Dandong Li
{"title":"使用机器学习模型的个体焦虑问题水平的神经解剖学预测:一项基于人群的年轻人队列研究。","authors":"Hui Xu ,&nbsp;Jing Xu ,&nbsp;Dandong Li","doi":"10.1016/j.ynstr.2024.100705","DOIUrl":null,"url":null,"abstract":"<div><div>Anxiety, a mental state in healthy individuals, is characterized by apprehension of potential future threats. Though the neurobiological basis of anxiety has been investigated widely in the clinical populations, the underly mechanism of neuroanatomical correlates with anxiety level in healthy young adults is still unclear. In this study, 1080 young adults were enrolled from the Human Connectome Project Young Adult dataset, and machine learning-based elastic net regression models with cross validation, together with linear mix effects (LME) models were adopted to investigate whether the neuroanatomical profiles of structural magnetic resonance imaging indicators associated with anxiety level in healthy young adults. We found multi-region neuroanatomical profiles predicted anxiety problems level and it was still robust in an out-of-sample. The neuroanatomical profiles had widespread brain nodes, including the dorsal lateral prefrontal cortex, supramarginal gyrus, and entorhinal cortex, which implicated in the default mode network and frontoparietal network. This finding was further supported by LME models, which showed significant univariate associations between brain nodes with anxiety. In sum, it's a large sample size study with multivariate analysis methodology to provide evidence that individual anxiety problems level can be predicted by machine learning-based models in healthy young adults. The neuroanatomical signature including hub nodes involved theoretically relevant brain networks robustly predicts anxiety, which could aid the assessment of potential high-risk of anxiety individuals.</div></div>","PeriodicalId":19125,"journal":{"name":"Neurobiology of Stress","volume":"34 ","pages":"Article 100705"},"PeriodicalIF":3.6000,"publicationDate":"2025-01-01","publicationTypes":"Journal Article","fieldsOfStudy":null,"isOpenAccess":false,"openAccessPdf":"https://www.ncbi.nlm.nih.gov/pmc/articles/PMC11741049/pdf/","citationCount":"0","resultStr":"{\"title\":\"Neuroanatomical prediction of individual anxiety problems level using machine learning models: A population-based cohort study of young adults\",\"authors\":\"Hui Xu ,&nbsp;Jing Xu ,&nbsp;Dandong Li\",\"doi\":\"10.1016/j.ynstr.2024.100705\",\"DOIUrl\":null,\"url\":null,\"abstract\":\"<div><div>Anxiety, a mental state in healthy individuals, is characterized by apprehension of potential future threats. Though the neurobiological basis of anxiety has been investigated widely in the clinical populations, the underly mechanism of neuroanatomical correlates with anxiety level in healthy young adults is still unclear. In this study, 1080 young adults were enrolled from the Human Connectome Project Young Adult dataset, and machine learning-based elastic net regression models with cross validation, together with linear mix effects (LME) models were adopted to investigate whether the neuroanatomical profiles of structural magnetic resonance imaging indicators associated with anxiety level in healthy young adults. We found multi-region neuroanatomical profiles predicted anxiety problems level and it was still robust in an out-of-sample. The neuroanatomical profiles had widespread brain nodes, including the dorsal lateral prefrontal cortex, supramarginal gyrus, and entorhinal cortex, which implicated in the default mode network and frontoparietal network. This finding was further supported by LME models, which showed significant univariate associations between brain nodes with anxiety. In sum, it's a large sample size study with multivariate analysis methodology to provide evidence that individual anxiety problems level can be predicted by machine learning-based models in healthy young adults. The neuroanatomical signature including hub nodes involved theoretically relevant brain networks robustly predicts anxiety, which could aid the assessment of potential high-risk of anxiety individuals.</div></div>\",\"PeriodicalId\":19125,\"journal\":{\"name\":\"Neurobiology of Stress\",\"volume\":\"34 \",\"pages\":\"Article 100705\"},\"PeriodicalIF\":3.6000,\"publicationDate\":\"2025-01-01\",\"publicationTypes\":\"Journal Article\",\"fieldsOfStudy\":null,\"isOpenAccess\":false,\"openAccessPdf\":\"https://www.ncbi.nlm.nih.gov/pmc/articles/PMC11741049/pdf/\",\"citationCount\":\"0\",\"resultStr\":null,\"platform\":\"Semanticscholar\",\"paperid\":null,\"PeriodicalName\":\"Neurobiology of Stress\",\"FirstCategoryId\":\"3\",\"ListUrlMain\":\"https://www.sciencedirect.com/science/article/pii/S2352289524001012\",\"RegionNum\":2,\"RegionCategory\":\"医学\",\"ArticlePicture\":[],\"TitleCN\":null,\"AbstractTextCN\":null,\"PMCID\":null,\"EPubDate\":\"\",\"PubModel\":\"\",\"JCR\":\"Q1\",\"JCRName\":\"NEUROSCIENCES\",\"Score\":null,\"Total\":0}","platform":"Semanticscholar","paperid":null,"PeriodicalName":"Neurobiology of Stress","FirstCategoryId":"3","ListUrlMain":"https://www.sciencedirect.com/science/article/pii/S2352289524001012","RegionNum":2,"RegionCategory":"医学","ArticlePicture":[],"TitleCN":null,"AbstractTextCN":null,"PMCID":null,"EPubDate":"","PubModel":"","JCR":"Q1","JCRName":"NEUROSCIENCES","Score":null,"Total":0}
引用次数: 0

摘要

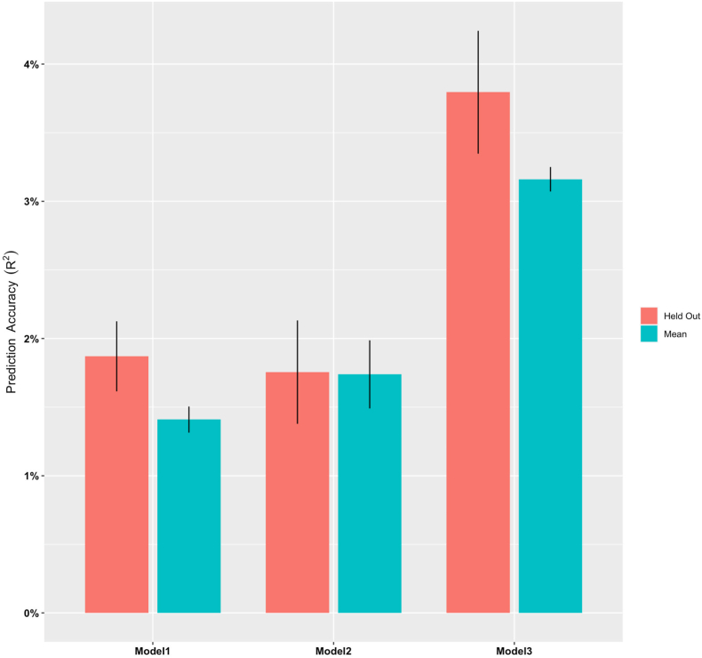
焦虑是健康人的一种精神状态,其特征是对未来潜在威胁的忧虑。尽管焦虑的神经生物学基础已经在临床人群中得到了广泛的研究,但健康年轻人焦虑水平与神经解剖学相关的潜在机制仍不清楚。在这项研究中,从人类连接组计划的年轻人数据集中招募了1080名年轻人,并采用基于交叉验证的机器学习弹性网络回归模型和线性混合效应(LME)模型来研究结构磁共振成像指标的神经解剖学特征是否与健康年轻人的焦虑水平相关。我们发现多区域神经解剖图谱预测焦虑问题水平,并且在样本外仍然是稳健的。神经解剖学特征显示广泛的脑淋巴结,包括背外侧前额叶皮层、边缘上回和内嗅皮层,这些淋巴结涉及默认模式网络和额顶叶网络。这一发现进一步得到了LME模型的支持,该模型显示脑节点与焦虑之间存在显著的单变量关联。总之,这是一项大样本研究,采用多变量分析方法,为健康年轻人的个体焦虑问题水平可以通过基于机器学习的模型预测提供证据。包括枢纽节点在内的神经解剖学特征涉及理论相关的脑网络,可以有效预测焦虑,有助于评估焦虑个体的潜在高危性。
本文章由计算机程序翻译,如有差异,请以英文原文为准。

Neuroanatomical prediction of individual anxiety problems level using machine learning models: A population-based cohort study of young adults

Neuroanatomical prediction of individual anxiety problems level using machine learning models: A population-based cohort study of young adults

Neuroanatomical prediction of individual anxiety problems level using machine learning models: A population-based cohort study of young adults

Neuroanatomical prediction of individual anxiety problems level using machine learning models: A population-based cohort study of young adults
Anxiety, a mental state in healthy individuals, is characterized by apprehension of potential future threats. Though the neurobiological basis of anxiety has been investigated widely in the clinical populations, the underly mechanism of neuroanatomical correlates with anxiety level in healthy young adults is still unclear. In this study, 1080 young adults were enrolled from the Human Connectome Project Young Adult dataset, and machine learning-based elastic net regression models with cross validation, together with linear mix effects (LME) models were adopted to investigate whether the neuroanatomical profiles of structural magnetic resonance imaging indicators associated with anxiety level in healthy young adults. We found multi-region neuroanatomical profiles predicted anxiety problems level and it was still robust in an out-of-sample. The neuroanatomical profiles had widespread brain nodes, including the dorsal lateral prefrontal cortex, supramarginal gyrus, and entorhinal cortex, which implicated in the default mode network and frontoparietal network. This finding was further supported by LME models, which showed significant univariate associations between brain nodes with anxiety. In sum, it's a large sample size study with multivariate analysis methodology to provide evidence that individual anxiety problems level can be predicted by machine learning-based models in healthy young adults. The neuroanatomical signature including hub nodes involved theoretically relevant brain networks robustly predicts anxiety, which could aid the assessment of potential high-risk of anxiety individuals.
求助全文
通过发布文献求助,成功后即可免费获取论文全文。 去求助
来源期刊
Neurobiology of Stress
Neurobiology of Stress Biochemistry, Genetics and Molecular Biology-Biochemistry
CiteScore
9.40
自引率
4.00%
发文量
74
审稿时长
48 days
期刊介绍: Neurobiology of Stress is a multidisciplinary journal for the publication of original research and review articles on basic, translational and clinical research into stress and related disorders. It will focus on the impact of stress on the brain from cellular to behavioral functions and stress-related neuropsychiatric disorders (such as depression, trauma and anxiety). The translation of basic research findings into real-world applications will be a key aim of the journal. Basic, translational and clinical research on the following topics as they relate to stress will be covered: Molecular substrates and cell signaling, Genetics and epigenetics, Stress circuitry, Structural and physiological plasticity, Developmental Aspects, Laboratory models of stress, Neuroinflammation and pathology, Memory and Cognition, Motivational Processes, Fear and Anxiety, Stress-related neuropsychiatric disorders (including depression, PTSD, substance abuse), Neuropsychopharmacology.
×
引用
GB/T 7714-2015
复制
MLA
复制
APA
复制
导出至
BibTeX EndNote RefMan NoteFirst NoteExpress
×
提示
您的信息不完整,为了账户安全,请先补充。
现在去补充
×
提示
您因"违规操作"
具体请查看互助需知
我知道了
×
提示
确定
请完成安全验证×
copy
已复制链接
快去分享给好友吧!
我知道了
右上角分享
点击右上角分享
0
联系我们:info@booksci.cn Book学术提供免费学术资源搜索服务,方便国内外学者检索中英文文献。致力于提供最便捷和优质的服务体验。 Copyright © 2023 布克学术 All rights reserved.
京ICP备2023020795号-1
ghs 京公网安备 11010802042870号
Book学术文献互助
Book学术文献互助群
群 号:604180095
Book学术官方微信