亚急性脑卒中患者的体感诱发电位和感觉功能随时间的临床评估。

IF 3.7 4区 医学 Q2 Medicine
Neural Plasticity Pub Date : 2025-01-08 eCollection Date: 2025-01-01 DOI:10.1155/np/7939662
Hiroshi Fuseya, Syoichi Tashiro, Osamu Takahashi, Yukiko Kobayashi, Tetsuya Tsuji, Katsuhiro Mizuno
{"title":"亚急性脑卒中患者的体感诱发电位和感觉功能随时间的临床评估。","authors":"Hiroshi Fuseya, Syoichi Tashiro, Osamu Takahashi, Yukiko Kobayashi, Tetsuya Tsuji, Katsuhiro Mizuno","doi":"10.1155/np/7939662","DOIUrl":null,"url":null,"abstract":"<p><p><b>Objective:</b> To demonstrate the utility of somatosensory evoked potentials (SEPs) following median nerve stimulation for chronological assessment of sensory function in patients with subacute stroke during rehabilitation. <b>Design:</b> Retrospective study. <b>Patients:</b> Forty-seven patients with hemiparesis due to stroke during the subacute phase. <b>Methods:</b> We screened 363 patients who underwent SEP measurements at a rehabilitation hospital. Among them, 47 who underwent SEP measurements within 1 week after admission and at least 2 weeks after the initial assessment were included in this study. Sensorimotor assessments, including the Semmes-Weinstein monofilament test (SWMT), pain sensation, position sensation, two-point discrimination, and Stroke Impairment Assessment Set (SIAS) motor tests simultaneously with SEP measurements were available for 20 of the 47 patients. The relationship between the SEP peak count and each sensorimotor assessment was examined. <b>Results:</b> SEP amplitudes and latencies showed no significant differences between the initial and second assessments (paired <i>t</i>-test, <i>p</i>  > 0.05). However, the counts of SEP peaks after NI (N20) increased (Wilcoxon signed-rank test, <i>p</i>  < 0.05), indicating changes in the SEP waveform. Furthermore, strong correlations were observed between SEP peak counts, stage, and all functional assessments (counts and SWMT, RS = -0.77, <i>p</i> < 0.001; counts and pain sensation, RS = -0.71, <i>p</i> < 0.001; counts and position sensation, RS = 0.75, <i>p</i> < 0.001; counts and two-point discrimination, RS = -0.74, <i>p</i> < 0.001; stage and SWMT, RS = -0.74, <i>p</i> < 0.001; stage and pain sensation, RS = -0.69, <i>p</i> < 0.001; stage and position sensation, RS = 0.74, <i>p</i> < 0.001; and stage and two-point discrimination, RS = -0.75, <i>p</i> < 0.001; all Spearman's rank correlation coefficients). <b>Conclusion:</b> Despite the limitations of the retrospective study design, our study highlights the utility of SEPs for evaluating sensory function in patients with subacute stroke, setting the foundation for further investigations on the use of SEPs to assess functional changes in patients with subacute stroke undergoing rehabilitation.</p>","PeriodicalId":19122,"journal":{"name":"Neural Plasticity","volume":"2025 ","pages":"7939662"},"PeriodicalIF":3.7000,"publicationDate":"2025-01-08","publicationTypes":"Journal Article","fieldsOfStudy":null,"isOpenAccess":false,"openAccessPdf":"https://www.ncbi.nlm.nih.gov/pmc/articles/PMC11735060/pdf/","citationCount":"0","resultStr":"{\"title\":\"Somatosensory-Evoked Potentials and Clinical Assessments of Sensory Function Over Time in Patients With Subacute Stroke.\",\"authors\":\"Hiroshi Fuseya, Syoichi Tashiro, Osamu Takahashi, Yukiko Kobayashi, Tetsuya Tsuji, Katsuhiro Mizuno\",\"doi\":\"10.1155/np/7939662\",\"DOIUrl\":null,\"url\":null,\"abstract\":\"<p><p><b>Objective:</b> To demonstrate the utility of somatosensory evoked potentials (SEPs) following median nerve stimulation for chronological assessment of sensory function in patients with subacute stroke during rehabilitation. <b>Design:</b> Retrospective study. <b>Patients:</b> Forty-seven patients with hemiparesis due to stroke during the subacute phase. <b>Methods:</b> We screened 363 patients who underwent SEP measurements at a rehabilitation hospital. Among them, 47 who underwent SEP measurements within 1 week after admission and at least 2 weeks after the initial assessment were included in this study. Sensorimotor assessments, including the Semmes-Weinstein monofilament test (SWMT), pain sensation, position sensation, two-point discrimination, and Stroke Impairment Assessment Set (SIAS) motor tests simultaneously with SEP measurements were available for 20 of the 47 patients. The relationship between the SEP peak count and each sensorimotor assessment was examined. <b>Results:</b> SEP amplitudes and latencies showed no significant differences between the initial and second assessments (paired <i>t</i>-test, <i>p</i>  > 0.05). However, the counts of SEP peaks after NI (N20) increased (Wilcoxon signed-rank test, <i>p</i>  < 0.05), indicating changes in the SEP waveform. Furthermore, strong correlations were observed between SEP peak counts, stage, and all functional assessments (counts and SWMT, RS = -0.77, <i>p</i> < 0.001; counts and pain sensation, RS = -0.71, <i>p</i> < 0.001; counts and position sensation, RS = 0.75, <i>p</i> < 0.001; counts and two-point discrimination, RS = -0.74, <i>p</i> < 0.001; stage and SWMT, RS = -0.74, <i>p</i> < 0.001; stage and pain sensation, RS = -0.69, <i>p</i> < 0.001; stage and position sensation, RS = 0.74, <i>p</i> < 0.001; and stage and two-point discrimination, RS = -0.75, <i>p</i> < 0.001; all Spearman's rank correlation coefficients). <b>Conclusion:</b> Despite the limitations of the retrospective study design, our study highlights the utility of SEPs for evaluating sensory function in patients with subacute stroke, setting the foundation for further investigations on the use of SEPs to assess functional changes in patients with subacute stroke undergoing rehabilitation.</p>\",\"PeriodicalId\":19122,\"journal\":{\"name\":\"Neural Plasticity\",\"volume\":\"2025 \",\"pages\":\"7939662\"},\"PeriodicalIF\":3.7000,\"publicationDate\":\"2025-01-08\",\"publicationTypes\":\"Journal Article\",\"fieldsOfStudy\":null,\"isOpenAccess\":false,\"openAccessPdf\":\"https://www.ncbi.nlm.nih.gov/pmc/articles/PMC11735060/pdf/\",\"citationCount\":\"0\",\"resultStr\":null,\"platform\":\"Semanticscholar\",\"paperid\":null,\"PeriodicalName\":\"Neural Plasticity\",\"FirstCategoryId\":\"3\",\"ListUrlMain\":\"https://doi.org/10.1155/np/7939662\",\"RegionNum\":4,\"RegionCategory\":\"医学\",\"ArticlePicture\":[],\"TitleCN\":null,\"AbstractTextCN\":null,\"PMCID\":null,\"EPubDate\":\"2025/1/1 0:00:00\",\"PubModel\":\"eCollection\",\"JCR\":\"Q2\",\"JCRName\":\"Medicine\",\"Score\":null,\"Total\":0}","platform":"Semanticscholar","paperid":null,"PeriodicalName":"Neural Plasticity","FirstCategoryId":"3","ListUrlMain":"https://doi.org/10.1155/np/7939662","RegionNum":4,"RegionCategory":"医学","ArticlePicture":[],"TitleCN":null,"AbstractTextCN":null,"PMCID":null,"EPubDate":"2025/1/1 0:00:00","PubModel":"eCollection","JCR":"Q2","JCRName":"Medicine","Score":null,"Total":0}
引用次数: 0

摘要

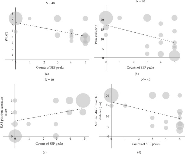
目的:验证正中神经刺激后体感诱发电位(SEPs)在亚急性脑卒中患者康复过程中感觉功能时序评估中的应用。设计:回顾性研究。患者:亚急性期脑卒中偏瘫47例。方法:我们筛选了在一家康复医院接受SEP测量的363例患者。其中,入院后1周内及初步评估后至少2周内接受SEP测量的47例纳入本研究。47例患者中有20例进行了感觉运动评估,包括semes - weinstein单丝测试(SWMT)、疼痛感觉、体位感觉、两点辨别和卒中损害评估集(SIAS)运动测试,同时进行了SEP测量。观察SEP峰数与各感觉运动评价的关系。结果:首次和第二次评估SEP振幅和潜伏期无显著差异(配对t检验,p < 0.05)。而NI (N20)后SEP峰计数增加(Wilcoxon符号秩检验,p < 0.05),说明SEP波形发生了变化。此外,SEP峰值计数、分期和所有功能评估之间存在强相关性(计数和SWMT, RS = -0.77, p < 0.001;计数与痛觉,RS = -0.71, p < 0.001;计数与体位感觉,RS = 0.75, p < 0.001;计数和两点鉴别,RS = -0.74, p < 0.001;分期与SWMT, RS = -0.74, p < 0.001;分期与疼痛感觉,RS = -0.69, p < 0.001;阶段和位置感觉,RS = 0.74, p < 0.001;阶段和两点判别,RS = -0.75, p < 0.001;所有斯皮尔曼等级相关系数)。结论:尽管回顾性研究设计存在局限性,但我们的研究强调了sep在评估亚急性脑卒中患者感觉功能方面的应用,为进一步研究使用sep评估亚急性脑卒中康复患者的功能变化奠定了基础。
本文章由计算机程序翻译,如有差异,请以英文原文为准。

Somatosensory-Evoked Potentials and Clinical Assessments of Sensory Function Over Time in Patients With Subacute Stroke.

Somatosensory-Evoked Potentials and Clinical Assessments of Sensory Function Over Time in Patients With Subacute Stroke.

Somatosensory-Evoked Potentials and Clinical Assessments of Sensory Function Over Time in Patients With Subacute Stroke.

Somatosensory-Evoked Potentials and Clinical Assessments of Sensory Function Over Time in Patients With Subacute Stroke.

Objective: To demonstrate the utility of somatosensory evoked potentials (SEPs) following median nerve stimulation for chronological assessment of sensory function in patients with subacute stroke during rehabilitation. Design: Retrospective study. Patients: Forty-seven patients with hemiparesis due to stroke during the subacute phase. Methods: We screened 363 patients who underwent SEP measurements at a rehabilitation hospital. Among them, 47 who underwent SEP measurements within 1 week after admission and at least 2 weeks after the initial assessment were included in this study. Sensorimotor assessments, including the Semmes-Weinstein monofilament test (SWMT), pain sensation, position sensation, two-point discrimination, and Stroke Impairment Assessment Set (SIAS) motor tests simultaneously with SEP measurements were available for 20 of the 47 patients. The relationship between the SEP peak count and each sensorimotor assessment was examined. Results: SEP amplitudes and latencies showed no significant differences between the initial and second assessments (paired t-test, p  > 0.05). However, the counts of SEP peaks after NI (N20) increased (Wilcoxon signed-rank test, p  < 0.05), indicating changes in the SEP waveform. Furthermore, strong correlations were observed between SEP peak counts, stage, and all functional assessments (counts and SWMT, RS = -0.77, p < 0.001; counts and pain sensation, RS = -0.71, p < 0.001; counts and position sensation, RS = 0.75, p < 0.001; counts and two-point discrimination, RS = -0.74, p < 0.001; stage and SWMT, RS = -0.74, p < 0.001; stage and pain sensation, RS = -0.69, p < 0.001; stage and position sensation, RS = 0.74, p < 0.001; and stage and two-point discrimination, RS = -0.75, p < 0.001; all Spearman's rank correlation coefficients). Conclusion: Despite the limitations of the retrospective study design, our study highlights the utility of SEPs for evaluating sensory function in patients with subacute stroke, setting the foundation for further investigations on the use of SEPs to assess functional changes in patients with subacute stroke undergoing rehabilitation.

求助全文
通过发布文献求助,成功后即可免费获取论文全文。 去求助
来源期刊
Neural Plasticity
Neural Plasticity Neuroscience-Neurology
CiteScore
5.70
自引率
0.00%
发文量
0
审稿时长
1 months
期刊介绍: Neural Plasticity is an international, interdisciplinary journal dedicated to the publication of articles related to all aspects of neural plasticity, with special emphasis on its functional significance as reflected in behavior and in psychopathology. Neural Plasticity publishes research and review articles from the entire range of relevant disciplines, including basic neuroscience, behavioral neuroscience, cognitive neuroscience, biological psychology, and biological psychiatry.
×
引用
GB/T 7714-2015
复制
MLA
复制
APA
复制
导出至
BibTeX EndNote RefMan NoteFirst NoteExpress
×
提示
您的信息不完整,为了账户安全,请先补充。
现在去补充
×
提示
您因"违规操作"
具体请查看互助需知
我知道了
×
提示
确定
请完成安全验证×
copy
已复制链接
快去分享给好友吧!
我知道了
右上角分享
点击右上角分享
0
联系我们:info@booksci.cn Book学术提供免费学术资源搜索服务,方便国内外学者检索中英文文献。致力于提供最便捷和优质的服务体验。 Copyright © 2023 布克学术 All rights reserved.
京ICP备2023020795号-1
ghs 京公网安备 11010802042870号
Book学术文献互助
Book学术文献互助群
群 号:604180095
Book学术官方微信