预测中国肥胖和2型糖尿病患者Roux-en-Y胃旁路手术后3年亚理想体重减轻的Nomogram。

IF 4.7 3区 医学 Q2 ENDOCRINOLOGY & METABOLISM
Obesity Facts Pub Date : 2025-01-01 Epub Date: 2025-01-15 DOI:10.1159/000542923
Yiming Si, Hongwei Zhang, Xiaodong Han, Weijie Liu, Yinfang Tu, Xiaojing Ma, Haoyong Yu, Yuqian Bao
{"title":"预测中国肥胖和2型糖尿病患者Roux-en-Y胃旁路手术后3年亚理想体重减轻的Nomogram。","authors":"Yiming Si, Hongwei Zhang, Xiaodong Han, Weijie Liu, Yinfang Tu, Xiaojing Ma, Haoyong Yu, Yuqian Bao","doi":"10.1159/000542923","DOIUrl":null,"url":null,"abstract":"<p><strong>Introduction: </strong>Strategies to address suboptimal weight loss after Roux-en-Y gastric bypass (RYGB) can be developed if at-risk patients are identified in advance. This study aimed to build a pre-surgery prediction nomogram for early prediction of insufficient weight loss (IWL) or weight regain (WR) after bariatric surgery in Chinese patients.</p><p><strong>Methods: </strong>In this retrospective study, 187 patients with obesity and type 2 diabetes who underwent laparoscopic RYGB were followed yearly for 3 years. Suboptimal weight loss included IWL and WR. IWL was defined as a total weight loss percentage of <25% at 1 year postoperatively, and WR was defined as a maximum weight loss percentage of >20% at 3 years postoperatively. Multivariate logistic regression was performed to identify independent predictors and to establish a nomogram to predict the occurrence of suboptimal weight loss.</p><p><strong>Results: </strong>Multivariate logistic regression revealed that male sex (OR 4.268, 95% CI: 1.413-12.890), body mass index (OR 0.816, 95% CI: 0.705-0.946), and glycated hemoglobin (OR 1.493, 95% CI: 1.049-2.126) were independent predictors of IWL/WR. The AUC value of the nomogram constructed from the above three factors was 0.781. The Hosmer-Lemeshow test showed that the model had a good fit (p = 0.143). The calibration curve of the nomogram is close to an ideal diagonal line. Furthermore, the decision curve analysis demonstrated the good net benefits of the model.</p><p><strong>Conclusions: </strong>A nomogram based on pre-surgery factors was developed to predict postoperative IWL/WR. This provides a convenient and useful tool for predicting suboptimal weight loss before surgery.</p>","PeriodicalId":19414,"journal":{"name":"Obesity Facts","volume":" ","pages":"157-168"},"PeriodicalIF":4.7000,"publicationDate":"2025-01-01","publicationTypes":"Journal Article","fieldsOfStudy":null,"isOpenAccess":false,"openAccessPdf":"https://www.ncbi.nlm.nih.gov/pmc/articles/PMC12017750/pdf/","citationCount":"0","resultStr":"{\"title\":\"Nomogram for Predicting Suboptimal Weight Loss at Three Years after Roux-en-Y Gastric Bypass Surgery in Chinese Patients with Obesity and Type 2 Diabetes.\",\"authors\":\"Yiming Si, Hongwei Zhang, Xiaodong Han, Weijie Liu, Yinfang Tu, Xiaojing Ma, Haoyong Yu, Yuqian Bao\",\"doi\":\"10.1159/000542923\",\"DOIUrl\":null,\"url\":null,\"abstract\":\"<p><strong>Introduction: </strong>Strategies to address suboptimal weight loss after Roux-en-Y gastric bypass (RYGB) can be developed if at-risk patients are identified in advance. This study aimed to build a pre-surgery prediction nomogram for early prediction of insufficient weight loss (IWL) or weight regain (WR) after bariatric surgery in Chinese patients.</p><p><strong>Methods: </strong>In this retrospective study, 187 patients with obesity and type 2 diabetes who underwent laparoscopic RYGB were followed yearly for 3 years. Suboptimal weight loss included IWL and WR. IWL was defined as a total weight loss percentage of <25% at 1 year postoperatively, and WR was defined as a maximum weight loss percentage of >20% at 3 years postoperatively. Multivariate logistic regression was performed to identify independent predictors and to establish a nomogram to predict the occurrence of suboptimal weight loss.</p><p><strong>Results: </strong>Multivariate logistic regression revealed that male sex (OR 4.268, 95% CI: 1.413-12.890), body mass index (OR 0.816, 95% CI: 0.705-0.946), and glycated hemoglobin (OR 1.493, 95% CI: 1.049-2.126) were independent predictors of IWL/WR. The AUC value of the nomogram constructed from the above three factors was 0.781. The Hosmer-Lemeshow test showed that the model had a good fit (p = 0.143). The calibration curve of the nomogram is close to an ideal diagonal line. Furthermore, the decision curve analysis demonstrated the good net benefits of the model.</p><p><strong>Conclusions: </strong>A nomogram based on pre-surgery factors was developed to predict postoperative IWL/WR. This provides a convenient and useful tool for predicting suboptimal weight loss before surgery.</p>\",\"PeriodicalId\":19414,\"journal\":{\"name\":\"Obesity Facts\",\"volume\":\" \",\"pages\":\"157-168\"},\"PeriodicalIF\":4.7000,\"publicationDate\":\"2025-01-01\",\"publicationTypes\":\"Journal Article\",\"fieldsOfStudy\":null,\"isOpenAccess\":false,\"openAccessPdf\":\"https://www.ncbi.nlm.nih.gov/pmc/articles/PMC12017750/pdf/\",\"citationCount\":\"0\",\"resultStr\":null,\"platform\":\"Semanticscholar\",\"paperid\":null,\"PeriodicalName\":\"Obesity Facts\",\"FirstCategoryId\":\"3\",\"ListUrlMain\":\"https://doi.org/10.1159/000542923\",\"RegionNum\":3,\"RegionCategory\":\"医学\",\"ArticlePicture\":[],\"TitleCN\":null,\"AbstractTextCN\":null,\"PMCID\":null,\"EPubDate\":\"2025/1/15 0:00:00\",\"PubModel\":\"Epub\",\"JCR\":\"Q2\",\"JCRName\":\"ENDOCRINOLOGY & METABOLISM\",\"Score\":null,\"Total\":0}","platform":"Semanticscholar","paperid":null,"PeriodicalName":"Obesity Facts","FirstCategoryId":"3","ListUrlMain":"https://doi.org/10.1159/000542923","RegionNum":3,"RegionCategory":"医学","ArticlePicture":[],"TitleCN":null,"AbstractTextCN":null,"PMCID":null,"EPubDate":"2025/1/15 0:00:00","PubModel":"Epub","JCR":"Q2","JCRName":"ENDOCRINOLOGY & METABOLISM","Score":null,"Total":0}
引用次数: 0

摘要

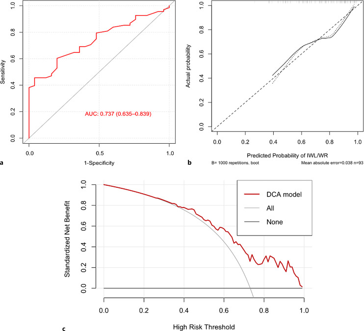
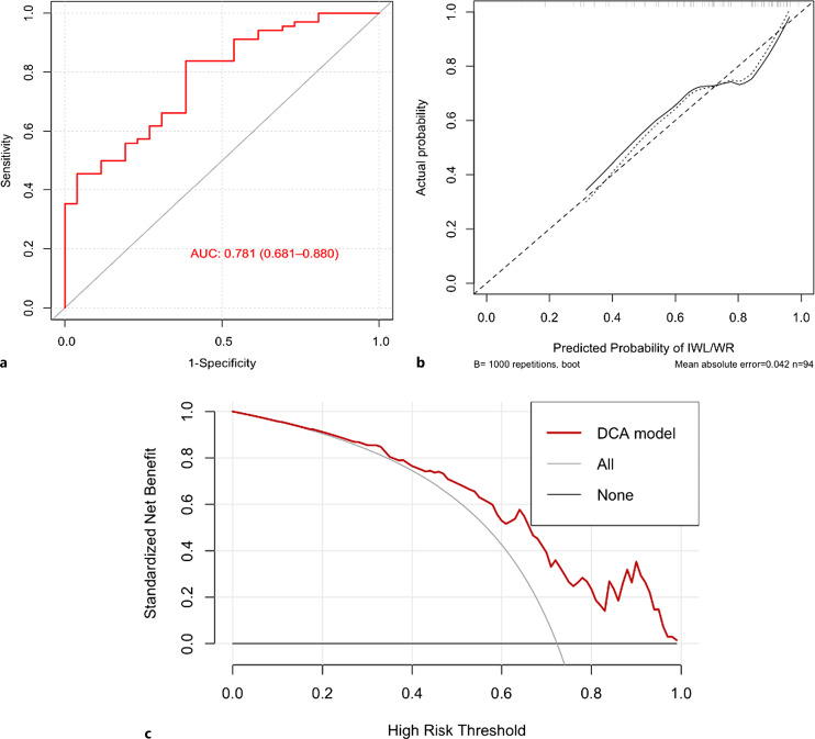
导言:如果预先确定有风险的患者,可以制定策略来解决Roux-en-Y胃旁路手术(RYGB)后的亚理想体重减轻。本研究旨在建立一个术前预测图,用于早期预测中国患者减肥手术后体重减轻不足(IWL)或体重恢复(WR)。方法:回顾性研究187例接受腹腔镜RYGB治疗的肥胖合并2型糖尿病患者,每年随访3年。次优减重包括IWL和WR。IWL的定义是术后3年总体重下降20%。采用多变量logistic回归来确定独立的预测因子,并建立方差图来预测次优减肥的发生。结果:多因素logistic回归显示,男性(OR 4.268, 95% CI: 1.413-12.890)、体重指数(OR 0.816, 95% CI: 0.705-0.946)和糖化血红蛋白(OR 1.493, 95% CI: 1.049-2.126)是IWL/WR的独立预测因子。由上述三个因素构建的nomogram AUC值为0.781。Hosmer-Lemeshow检验表明模型拟合良好(p = 0.143)。图的标定曲线接近于理想对角线。此外,决策曲线分析表明,该模型具有良好的净效益。结论:基于术前因素的nomogram预测术后IWL/WR。这提供了一个方便和有用的工具来预测手术前的体重下降。
本文章由计算机程序翻译,如有差异,请以英文原文为准。

Nomogram for Predicting Suboptimal Weight Loss at Three Years after Roux-en-Y Gastric Bypass Surgery in Chinese Patients with Obesity and Type 2 Diabetes.

Nomogram for Predicting Suboptimal Weight Loss at Three Years after Roux-en-Y Gastric Bypass Surgery in Chinese Patients with Obesity and Type 2 Diabetes.

Nomogram for Predicting Suboptimal Weight Loss at Three Years after Roux-en-Y Gastric Bypass Surgery in Chinese Patients with Obesity and Type 2 Diabetes.

Nomogram for Predicting Suboptimal Weight Loss at Three Years after Roux-en-Y Gastric Bypass Surgery in Chinese Patients with Obesity and Type 2 Diabetes.

Introduction: Strategies to address suboptimal weight loss after Roux-en-Y gastric bypass (RYGB) can be developed if at-risk patients are identified in advance. This study aimed to build a pre-surgery prediction nomogram for early prediction of insufficient weight loss (IWL) or weight regain (WR) after bariatric surgery in Chinese patients.

Methods: In this retrospective study, 187 patients with obesity and type 2 diabetes who underwent laparoscopic RYGB were followed yearly for 3 years. Suboptimal weight loss included IWL and WR. IWL was defined as a total weight loss percentage of <25% at 1 year postoperatively, and WR was defined as a maximum weight loss percentage of >20% at 3 years postoperatively. Multivariate logistic regression was performed to identify independent predictors and to establish a nomogram to predict the occurrence of suboptimal weight loss.

Results: Multivariate logistic regression revealed that male sex (OR 4.268, 95% CI: 1.413-12.890), body mass index (OR 0.816, 95% CI: 0.705-0.946), and glycated hemoglobin (OR 1.493, 95% CI: 1.049-2.126) were independent predictors of IWL/WR. The AUC value of the nomogram constructed from the above three factors was 0.781. The Hosmer-Lemeshow test showed that the model had a good fit (p = 0.143). The calibration curve of the nomogram is close to an ideal diagonal line. Furthermore, the decision curve analysis demonstrated the good net benefits of the model.

Conclusions: A nomogram based on pre-surgery factors was developed to predict postoperative IWL/WR. This provides a convenient and useful tool for predicting suboptimal weight loss before surgery.

求助全文
通过发布文献求助,成功后即可免费获取论文全文。 去求助
来源期刊
Obesity Facts
Obesity Facts 医学-内分泌学与代谢
CiteScore
6.80
自引率
5.60%
发文量
77
审稿时长
6-12 weeks
期刊介绍: ''Obesity Facts'' publishes articles covering all aspects of obesity, in particular epidemiology, etiology and pathogenesis, treatment, and the prevention of adiposity. As obesity is related to many disease processes, the journal is also dedicated to all topics pertaining to comorbidity and covers psychological and sociocultural aspects as well as influences of nutrition and exercise on body weight. The editors carefully select papers to present only the most recent findings in clinical practice and research. All professionals concerned with obesity issues will find this journal a most valuable update to keep them abreast of the latest scientific developments.
×
引用
GB/T 7714-2015
复制
MLA
复制
APA
复制
导出至
BibTeX EndNote RefMan NoteFirst NoteExpress
×
提示
您的信息不完整,为了账户安全,请先补充。
现在去补充
×
提示
您因"违规操作"
具体请查看互助需知
我知道了
×
提示
确定
请完成安全验证×
copy
已复制链接
快去分享给好友吧!
我知道了
右上角分享
点击右上角分享
0
联系我们:info@booksci.cn Book学术提供免费学术资源搜索服务,方便国内外学者检索中英文文献。致力于提供最便捷和优质的服务体验。 Copyright © 2023 布克学术 All rights reserved.
京ICP备2023020795号-1
ghs 京公网安备 11010802042870号
Book学术文献互助
Book学术文献互助群
群 号:604180095
Book学术官方微信