球囊肺血管成形术治疗慢性血栓栓塞性肺动脉高压患者:来自巴西队列的短期和长期结果

IF 3 4区 医学 Q2 RESPIRATORY SYSTEM
Jornal Brasileiro De Pneumologia Pub Date : 2025-01-13 eCollection Date: 2025-01-01 DOI:10.36416/1806-3756/e20240147
Fabio Solano de Freitas Souza, Marcelo Gottschald Ferreira, Iury Andrade Melo, Marta Ferreira Leite de Sá, Camila Melo Coelho Loureiro, Rosalvo Abreu, Paulo Henrique Alves de Carvalho, Mateus Dos Santos Viana, Valdemar Oliveira, Luiz Eduardo Fonteles Ritt
{"title":"球囊肺血管成形术治疗慢性血栓栓塞性肺动脉高压患者:来自巴西队列的短期和长期结果","authors":"Fabio Solano de Freitas Souza, Marcelo Gottschald Ferreira, Iury Andrade Melo, Marta Ferreira Leite de Sá, Camila Melo Coelho Loureiro, Rosalvo Abreu, Paulo Henrique Alves de Carvalho, Mateus Dos Santos Viana, Valdemar Oliveira, Luiz Eduardo Fonteles Ritt","doi":"10.36416/1806-3756/e20240147","DOIUrl":null,"url":null,"abstract":"<p><strong>Objective: </strong>A significant number of patients with chronic thromboembolic pulmonary hypertension (CTEPH) are not eligible for pulmonary endarterectomy and may be treated with balloon pulmonary angioplasty (BPA). Although BPA programs have recently been developed in Brazil, no results have yet been published. The objective of this study was to assess the clinical and hemodynamic progression of the first patients treated with BPA at our center.</p><p><strong>Methods: </strong>This was an observational study of 23 patients with CTEPH enrolled in the BPA program of a specialized center in Brazil between 2015 and 2020.</p><p><strong>Results: </strong>After a mean of 5.6 ± 1.3 sessions and 11 ± 2.8 treated segments/patient (at a mean of 6.7 ± 2.9 months post-BPA), there was a 26% decrease in mean pulmonary artery pressure (51 ± 11 vs. 38 ± 11 mmHg; p < 0.0001), a 43% decrease in pulmonary vascular resistance (10 ± 3.7 vs. 5.7 ± 3.3 WU; p < 0.0001), and a 22.5% increase in the cardiac index (2.38 ± 0.6 vs. 2.95 ± 0.6 L/min/m2; p < 0.0001). There was an increase in the six-minute walk distance and an improvement in functional class. Acute lung injury with clinical manifestations was observed after 7% of the BPA sessions. None of the patients required intubation. During a mean outpatient follow-up period of 38 ± 22 months, two patients were referred for additional BPA sessions due to clinical worsening and new hospitalizations. Two deaths were recorded (due to CTEPH progression and gastrointestinal bleeding, respectively).</p><p><strong>Conclusions: </strong>Among this first group of patients treated with BPA in Brazil, there was significant short- and long-term clinical improvement, together with a low frequency of complications.</p>","PeriodicalId":14845,"journal":{"name":"Jornal Brasileiro De Pneumologia","volume":"50 6","pages":"e20240147"},"PeriodicalIF":3.0000,"publicationDate":"2025-01-13","publicationTypes":"Journal Article","fieldsOfStudy":null,"isOpenAccess":false,"openAccessPdf":"https://www.ncbi.nlm.nih.gov/pmc/articles/PMC11665283/pdf/","citationCount":"0","resultStr":"{\"title\":\"Balloon pulmonary angioplasty in patients with chronic thromboembolic pulmonary hypertension: short- and long-term results from a cohort in Brazil.\",\"authors\":\"Fabio Solano de Freitas Souza, Marcelo Gottschald Ferreira, Iury Andrade Melo, Marta Ferreira Leite de Sá, Camila Melo Coelho Loureiro, Rosalvo Abreu, Paulo Henrique Alves de Carvalho, Mateus Dos Santos Viana, Valdemar Oliveira, Luiz Eduardo Fonteles Ritt\",\"doi\":\"10.36416/1806-3756/e20240147\",\"DOIUrl\":null,\"url\":null,\"abstract\":\"<p><strong>Objective: </strong>A significant number of patients with chronic thromboembolic pulmonary hypertension (CTEPH) are not eligible for pulmonary endarterectomy and may be treated with balloon pulmonary angioplasty (BPA). Although BPA programs have recently been developed in Brazil, no results have yet been published. The objective of this study was to assess the clinical and hemodynamic progression of the first patients treated with BPA at our center.</p><p><strong>Methods: </strong>This was an observational study of 23 patients with CTEPH enrolled in the BPA program of a specialized center in Brazil between 2015 and 2020.</p><p><strong>Results: </strong>After a mean of 5.6 ± 1.3 sessions and 11 ± 2.8 treated segments/patient (at a mean of 6.7 ± 2.9 months post-BPA), there was a 26% decrease in mean pulmonary artery pressure (51 ± 11 vs. 38 ± 11 mmHg; p < 0.0001), a 43% decrease in pulmonary vascular resistance (10 ± 3.7 vs. 5.7 ± 3.3 WU; p < 0.0001), and a 22.5% increase in the cardiac index (2.38 ± 0.6 vs. 2.95 ± 0.6 L/min/m2; p < 0.0001). There was an increase in the six-minute walk distance and an improvement in functional class. Acute lung injury with clinical manifestations was observed after 7% of the BPA sessions. None of the patients required intubation. During a mean outpatient follow-up period of 38 ± 22 months, two patients were referred for additional BPA sessions due to clinical worsening and new hospitalizations. Two deaths were recorded (due to CTEPH progression and gastrointestinal bleeding, respectively).</p><p><strong>Conclusions: </strong>Among this first group of patients treated with BPA in Brazil, there was significant short- and long-term clinical improvement, together with a low frequency of complications.</p>\",\"PeriodicalId\":14845,\"journal\":{\"name\":\"Jornal Brasileiro De Pneumologia\",\"volume\":\"50 6\",\"pages\":\"e20240147\"},\"PeriodicalIF\":3.0000,\"publicationDate\":\"2025-01-13\",\"publicationTypes\":\"Journal Article\",\"fieldsOfStudy\":null,\"isOpenAccess\":false,\"openAccessPdf\":\"https://www.ncbi.nlm.nih.gov/pmc/articles/PMC11665283/pdf/\",\"citationCount\":\"0\",\"resultStr\":null,\"platform\":\"Semanticscholar\",\"paperid\":null,\"PeriodicalName\":\"Jornal Brasileiro De Pneumologia\",\"FirstCategoryId\":\"3\",\"ListUrlMain\":\"https://doi.org/10.36416/1806-3756/e20240147\",\"RegionNum\":4,\"RegionCategory\":\"医学\",\"ArticlePicture\":[],\"TitleCN\":null,\"AbstractTextCN\":null,\"PMCID\":null,\"EPubDate\":\"2025/1/1 0:00:00\",\"PubModel\":\"eCollection\",\"JCR\":\"Q2\",\"JCRName\":\"RESPIRATORY SYSTEM\",\"Score\":null,\"Total\":0}","platform":"Semanticscholar","paperid":null,"PeriodicalName":"Jornal Brasileiro De Pneumologia","FirstCategoryId":"3","ListUrlMain":"https://doi.org/10.36416/1806-3756/e20240147","RegionNum":4,"RegionCategory":"医学","ArticlePicture":[],"TitleCN":null,"AbstractTextCN":null,"PMCID":null,"EPubDate":"2025/1/1 0:00:00","PubModel":"eCollection","JCR":"Q2","JCRName":"RESPIRATORY SYSTEM","Score":null,"Total":0}
引用次数: 0

摘要

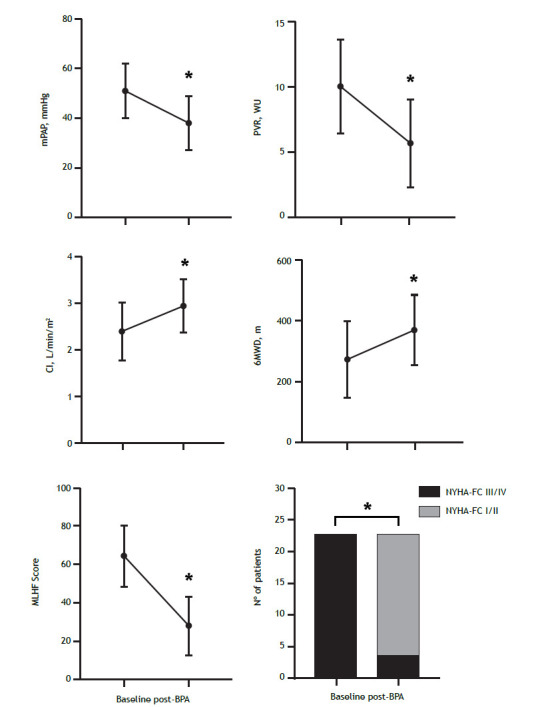
目的:大量慢性血栓栓塞性肺动脉高压(CTEPH)患者不适合肺动脉内膜切除术,可采用球囊肺血管成形术(BPA)治疗。尽管BPA项目最近在巴西开展,但尚未公布任何结果。本研究的目的是评估本中心第一批接受双酚a治疗的患者的临床和血流动力学进展。方法:这是一项观察性研究,纳入了2015年至2020年间巴西一家专业中心BPA项目的23例CTEPH患者。结果:在平均5.6±1.3个疗程和11±2.8个治疗节段/患者后(bpa后平均6.7±2.9个月),平均肺动脉压下降26%(51±11比38±11 mmHg;p < 0.0001),肺血管阻力降低43%(10±3.7 vs 5.7±3.3 WU;p < 0.0001),心脏指数增加22.5%(2.38±0.6 vs. 2.95±0.6 L/min/m2;P < 0.0001)。6分钟的步行距离增加了,功能课程也有所改善。有7%的双酚a疗程后出现急性肺损伤,并有临床表现。没有患者需要插管。在平均38±22个月的门诊随访期间,2例患者因临床恶化和新住院而被转介进行额外的BPA治疗。记录了2例死亡(分别因CTEPH进展和胃肠道出血)。结论:在巴西接受BPA治疗的第一组患者中,有显著的短期和长期临床改善,并发症发生率低。
本文章由计算机程序翻译,如有差异,请以英文原文为准。

Balloon pulmonary angioplasty in patients with chronic thromboembolic pulmonary hypertension: short- and long-term results from a cohort in Brazil.

Balloon pulmonary angioplasty in patients with chronic thromboembolic pulmonary hypertension: short- and long-term results from a cohort in Brazil.

Balloon pulmonary angioplasty in patients with chronic thromboembolic pulmonary hypertension: short- and long-term results from a cohort in Brazil.

Balloon pulmonary angioplasty in patients with chronic thromboembolic pulmonary hypertension: short- and long-term results from a cohort in Brazil.

Objective: A significant number of patients with chronic thromboembolic pulmonary hypertension (CTEPH) are not eligible for pulmonary endarterectomy and may be treated with balloon pulmonary angioplasty (BPA). Although BPA programs have recently been developed in Brazil, no results have yet been published. The objective of this study was to assess the clinical and hemodynamic progression of the first patients treated with BPA at our center.

Methods: This was an observational study of 23 patients with CTEPH enrolled in the BPA program of a specialized center in Brazil between 2015 and 2020.

Results: After a mean of 5.6 ± 1.3 sessions and 11 ± 2.8 treated segments/patient (at a mean of 6.7 ± 2.9 months post-BPA), there was a 26% decrease in mean pulmonary artery pressure (51 ± 11 vs. 38 ± 11 mmHg; p < 0.0001), a 43% decrease in pulmonary vascular resistance (10 ± 3.7 vs. 5.7 ± 3.3 WU; p < 0.0001), and a 22.5% increase in the cardiac index (2.38 ± 0.6 vs. 2.95 ± 0.6 L/min/m2; p < 0.0001). There was an increase in the six-minute walk distance and an improvement in functional class. Acute lung injury with clinical manifestations was observed after 7% of the BPA sessions. None of the patients required intubation. During a mean outpatient follow-up period of 38 ± 22 months, two patients were referred for additional BPA sessions due to clinical worsening and new hospitalizations. Two deaths were recorded (due to CTEPH progression and gastrointestinal bleeding, respectively).

Conclusions: Among this first group of patients treated with BPA in Brazil, there was significant short- and long-term clinical improvement, together with a low frequency of complications.

求助全文
通过发布文献求助,成功后即可免费获取论文全文。 去求助
来源期刊
Jornal Brasileiro De Pneumologia
Jornal Brasileiro De Pneumologia RESPIRATORY SYSTEM-
CiteScore
3.50
自引率
14.80%
发文量
118
审稿时长
20 weeks
期刊介绍: The Brazilian Journal of Pulmonology publishes scientific articles that contribute to the improvement of knowledge in the field of the lung diseases and related areas.
×
引用
GB/T 7714-2015
复制
MLA
复制
APA
复制
导出至
BibTeX EndNote RefMan NoteFirst NoteExpress
×
提示
您的信息不完整,为了账户安全,请先补充。
现在去补充
×
提示
您因"违规操作"
具体请查看互助需知
我知道了
×
提示
确定
请完成安全验证×
copy
已复制链接
快去分享给好友吧!
我知道了
右上角分享
点击右上角分享
0
联系我们:info@booksci.cn Book学术提供免费学术资源搜索服务,方便国内外学者检索中英文文献。致力于提供最便捷和优质的服务体验。 Copyright © 2023 布克学术 All rights reserved.
京ICP备2023020795号-1
ghs 京公网安备 11010802042870号
Book学术文献互助
Book学术文献互助群
群 号:604180095
Book学术官方微信