农业田间的活动螨是否值得关注?

IF 1.7 2区 农林科学 Q2 ENTOMOLOGY
Veronika Gergócs-Winkler, Norbert Flórián, Zsolt Tóth, László Sipőcz, Miklós Dombos
{"title":"农业田间的活动螨是否值得关注?","authors":"Veronika Gergócs-Winkler, Norbert Flórián, Zsolt Tóth, László Sipőcz, Miklós Dombos","doi":"10.1007/s10493-024-00981-w","DOIUrl":null,"url":null,"abstract":"<p><p>Agricultural management increases the seasonal dynamics of soil-dwelling organisms compared to natural habitats. Our knowledge is very poor about the relationship between seasonal changes of soil microorganisms and the microbivorous soil arthropods. To reveal these connections, we have to know more about the seasonal changes of soil-dwelling microarthropods in croplands. Actinedid mites are rarely the subject of synecological studies, however, this group regularly reaches the dominant part of mite assemblages in agro-ecosystems. In this study, we investigated the seasonal density changes of actinedid mites from two independent studies of agricultural fields. Soil samples were taken from maize and wheat fields for two years, and from newly established meadows for one year in summer and autumn in Hungary. Soil-dwelling mites were enumerated and identified at the suborder level and soil parameters were measured. Actinedid mites dominated most of our soil samples. The density of Endeostigmata was the highest in the summer and the density of Heterostigmata was the highest in the autumn within one year among different crop species, soil types, and years. Endeostigmatid mites had negative relationships with soil nitrogen parameters and positive with soil moisture. Heterostigmatid mites had various relationships with soil moisture. The ecology of actinedid mites is under-examined but their high number in agricultural fields may justify the fact that they should receive more attention. We assume that Actinedida, mainly Endeostigmata and Heterostigmata are worth to investigate in croplands as a starting point to reveal the connection between the seasonality of soil mites and soil microbiota.</p>","PeriodicalId":12088,"journal":{"name":"Experimental and Applied Acarology","volume":"94 2","pages":"26"},"PeriodicalIF":1.7000,"publicationDate":"2025-01-16","publicationTypes":"Journal Article","fieldsOfStudy":null,"isOpenAccess":false,"openAccessPdf":"https://www.ncbi.nlm.nih.gov/pmc/articles/PMC11739278/pdf/","citationCount":"0","resultStr":"{\"title\":\"Is it worth paying attention to actinedid mites in agricultural fields?\",\"authors\":\"Veronika Gergócs-Winkler, Norbert Flórián, Zsolt Tóth, László Sipőcz, Miklós Dombos\",\"doi\":\"10.1007/s10493-024-00981-w\",\"DOIUrl\":null,\"url\":null,\"abstract\":\"<p><p>Agricultural management increases the seasonal dynamics of soil-dwelling organisms compared to natural habitats. Our knowledge is very poor about the relationship between seasonal changes of soil microorganisms and the microbivorous soil arthropods. To reveal these connections, we have to know more about the seasonal changes of soil-dwelling microarthropods in croplands. Actinedid mites are rarely the subject of synecological studies, however, this group regularly reaches the dominant part of mite assemblages in agro-ecosystems. In this study, we investigated the seasonal density changes of actinedid mites from two independent studies of agricultural fields. Soil samples were taken from maize and wheat fields for two years, and from newly established meadows for one year in summer and autumn in Hungary. Soil-dwelling mites were enumerated and identified at the suborder level and soil parameters were measured. Actinedid mites dominated most of our soil samples. The density of Endeostigmata was the highest in the summer and the density of Heterostigmata was the highest in the autumn within one year among different crop species, soil types, and years. Endeostigmatid mites had negative relationships with soil nitrogen parameters and positive with soil moisture. Heterostigmatid mites had various relationships with soil moisture. The ecology of actinedid mites is under-examined but their high number in agricultural fields may justify the fact that they should receive more attention. We assume that Actinedida, mainly Endeostigmata and Heterostigmata are worth to investigate in croplands as a starting point to reveal the connection between the seasonality of soil mites and soil microbiota.</p>\",\"PeriodicalId\":12088,\"journal\":{\"name\":\"Experimental and Applied Acarology\",\"volume\":\"94 2\",\"pages\":\"26\"},\"PeriodicalIF\":1.7000,\"publicationDate\":\"2025-01-16\",\"publicationTypes\":\"Journal Article\",\"fieldsOfStudy\":null,\"isOpenAccess\":false,\"openAccessPdf\":\"https://www.ncbi.nlm.nih.gov/pmc/articles/PMC11739278/pdf/\",\"citationCount\":\"0\",\"resultStr\":null,\"platform\":\"Semanticscholar\",\"paperid\":null,\"PeriodicalName\":\"Experimental and Applied Acarology\",\"FirstCategoryId\":\"97\",\"ListUrlMain\":\"https://doi.org/10.1007/s10493-024-00981-w\",\"RegionNum\":2,\"RegionCategory\":\"农林科学\",\"ArticlePicture\":[],\"TitleCN\":null,\"AbstractTextCN\":null,\"PMCID\":null,\"EPubDate\":\"\",\"PubModel\":\"\",\"JCR\":\"Q2\",\"JCRName\":\"ENTOMOLOGY\",\"Score\":null,\"Total\":0}","platform":"Semanticscholar","paperid":null,"PeriodicalName":"Experimental and Applied Acarology","FirstCategoryId":"97","ListUrlMain":"https://doi.org/10.1007/s10493-024-00981-w","RegionNum":2,"RegionCategory":"农林科学","ArticlePicture":[],"TitleCN":null,"AbstractTextCN":null,"PMCID":null,"EPubDate":"","PubModel":"","JCR":"Q2","JCRName":"ENTOMOLOGY","Score":null,"Total":0}
引用次数: 0

摘要

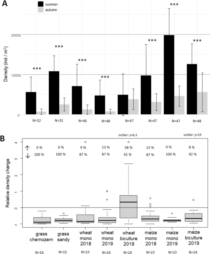
与自然栖息地相比,农业管理增加了土壤生物的季节性动态。我们对土壤微生物季节变化与微生物食性土壤节肢动物之间的关系了解甚少。为了揭示这些联系,我们必须更多地了解农田土壤微节肢动物的季节变化。针状螨很少作为协同研究的对象,但在农业生态系统中,针状螨是螨类的主要组成部分。在本研究中,我们通过两个独立的农田调查,调查了actiinedid螨的季节性密度变化。土壤样本在匈牙利的玉米和小麦地里采集了两年,在夏季和秋季从新建立的草地上采集了一年。在亚目水平上对土栖螨进行了枚举和鉴定,并测量了土壤参数。在我们的土壤样本中,活动螨占多数。一年内,不同作物种类、土壤类型和年份的内生柱头密度均以夏季最高,异花柱头密度以秋季最高。线虫与土壤氮参数呈负相关,与土壤水分呈正相关。异柱头螨与土壤湿度有多种关系。对动螨的生态学研究尚不充分,但它们在农业领域的高数量可能证明它们应该得到更多的关注。我们认为,作为揭示土壤螨类季节性与土壤微生物群关系的起点,值得在农田中开展以内生柱头门和异源柱头门为主的Actinedida调查。
本文章由计算机程序翻译,如有差异,请以英文原文为准。

Is it worth paying attention to actinedid mites in agricultural fields?

Is it worth paying attention to actinedid mites in agricultural fields?

Is it worth paying attention to actinedid mites in agricultural fields?

Is it worth paying attention to actinedid mites in agricultural fields?

Agricultural management increases the seasonal dynamics of soil-dwelling organisms compared to natural habitats. Our knowledge is very poor about the relationship between seasonal changes of soil microorganisms and the microbivorous soil arthropods. To reveal these connections, we have to know more about the seasonal changes of soil-dwelling microarthropods in croplands. Actinedid mites are rarely the subject of synecological studies, however, this group regularly reaches the dominant part of mite assemblages in agro-ecosystems. In this study, we investigated the seasonal density changes of actinedid mites from two independent studies of agricultural fields. Soil samples were taken from maize and wheat fields for two years, and from newly established meadows for one year in summer and autumn in Hungary. Soil-dwelling mites were enumerated and identified at the suborder level and soil parameters were measured. Actinedid mites dominated most of our soil samples. The density of Endeostigmata was the highest in the summer and the density of Heterostigmata was the highest in the autumn within one year among different crop species, soil types, and years. Endeostigmatid mites had negative relationships with soil nitrogen parameters and positive with soil moisture. Heterostigmatid mites had various relationships with soil moisture. The ecology of actinedid mites is under-examined but their high number in agricultural fields may justify the fact that they should receive more attention. We assume that Actinedida, mainly Endeostigmata and Heterostigmata are worth to investigate in croplands as a starting point to reveal the connection between the seasonality of soil mites and soil microbiota.

求助全文
通过发布文献求助,成功后即可免费获取论文全文。 去求助
来源期刊
CiteScore
3.90
自引率
9.10%
发文量
81
审稿时长
4-8 weeks
期刊介绍: Experimental and Applied Acarology publishes peer-reviewed original papers describing advances in basic and applied research on mites and ticks. Coverage encompasses all Acari, including those of environmental, agricultural, medical and veterinary importance, and all the ways in which they interact with other organisms (plants, arthropods and other animals). The subject matter draws upon a wide variety of disciplines, including evolutionary biology, ecology, epidemiology, physiology, biochemistry, toxicology, immunology, genetics, molecular biology and pest management sciences.
×
引用
GB/T 7714-2015
复制
MLA
复制
APA
复制
导出至
BibTeX EndNote RefMan NoteFirst NoteExpress
×
提示
您的信息不完整,为了账户安全,请先补充。
现在去补充
×
提示
您因"违规操作"
具体请查看互助需知
我知道了
×
提示
确定
请完成安全验证×
copy
已复制链接
快去分享给好友吧!
我知道了
右上角分享
点击右上角分享
0
联系我们:info@booksci.cn Book学术提供免费学术资源搜索服务,方便国内外学者检索中英文文献。致力于提供最便捷和优质的服务体验。 Copyright © 2023 布克学术 All rights reserved.
京ICP备2023020795号-1
ghs 京公网安备 11010802042870号
Book学术文献互助
Book学术文献互助群
群 号:604180095
Book学术官方微信