多发性骨关节结核的流行病学和骨关节受累部位特征:一个范围综述。

IF 2.2 4区 医学 Q3 INFECTIOUS DISEASES
Jian Zhou, Xuanjie Yang, Yong Hu, Shijun Li
{"title":"多发性骨关节结核的流行病学和骨关节受累部位特征:一个范围综述。","authors":"Jian Zhou, Xuanjie Yang, Yong Hu, Shijun Li","doi":"10.1017/S095026882400150X","DOIUrl":null,"url":null,"abstract":"<p><p>Multiple osteoarticular tuberculosis (MOT) represents an uncommon yet severe form of tuberculosis, characterized by a lack of systematic analysis and comprehension. Our objective was to delineate MOT's epidemiological characteristics and establish a scientific foundation for prevention and treatment. We conducted searches across eight databases to identify relevant articles. Pearson's chi-square test (Fisher's exact test) and Bonferroni method were employed to assess osteoarticular involvement among patients of varying age and gender (α = 0.05). The study comprised 98 articles, encompassing 151 cases from 22 countries, with China and India collectively contributing 67.55% of cases. MOT predominantly affected individuals aged 0-30 years (58.94%). Pulmonary tuberculosis was evident in 16.55% of cases, with spinal involvement prevalent (57.62%). Significant differences were noted in trunk, spine, thoracic, and lumbar vertebrae involvement, as well as type I lesions across age groups, increasing with age. Moreover, significant differences were observed in upper limb bone involvement and type II lesions across age groups, decreasing with age. Gender differences were not significant. MOT primarily manifests in China and India, predominantly among younger individuals, indicating age-related variations in osteoarticular involvement. Enhanced clinical awareness is crucial for accurate MOT diagnosis, mitigating missed diagnoses and misdiagnoses.</p>","PeriodicalId":11721,"journal":{"name":"Epidemiology and Infection","volume":" ","pages":"e26"},"PeriodicalIF":2.2000,"publicationDate":"2025-01-21","publicationTypes":"Journal Article","fieldsOfStudy":null,"isOpenAccess":false,"openAccessPdf":"https://www.ncbi.nlm.nih.gov/pmc/articles/PMC11869084/pdf/","citationCount":"0","resultStr":"{\"title\":\"Epidemiological and osteoarticular involvement sites' characteristics of multiple osteoarticular tuberculosis: a scoping review.\",\"authors\":\"Jian Zhou, Xuanjie Yang, Yong Hu, Shijun Li\",\"doi\":\"10.1017/S095026882400150X\",\"DOIUrl\":null,\"url\":null,\"abstract\":\"<p><p>Multiple osteoarticular tuberculosis (MOT) represents an uncommon yet severe form of tuberculosis, characterized by a lack of systematic analysis and comprehension. Our objective was to delineate MOT's epidemiological characteristics and establish a scientific foundation for prevention and treatment. We conducted searches across eight databases to identify relevant articles. Pearson's chi-square test (Fisher's exact test) and Bonferroni method were employed to assess osteoarticular involvement among patients of varying age and gender (α = 0.05). The study comprised 98 articles, encompassing 151 cases from 22 countries, with China and India collectively contributing 67.55% of cases. MOT predominantly affected individuals aged 0-30 years (58.94%). Pulmonary tuberculosis was evident in 16.55% of cases, with spinal involvement prevalent (57.62%). Significant differences were noted in trunk, spine, thoracic, and lumbar vertebrae involvement, as well as type I lesions across age groups, increasing with age. Moreover, significant differences were observed in upper limb bone involvement and type II lesions across age groups, decreasing with age. Gender differences were not significant. MOT primarily manifests in China and India, predominantly among younger individuals, indicating age-related variations in osteoarticular involvement. Enhanced clinical awareness is crucial for accurate MOT diagnosis, mitigating missed diagnoses and misdiagnoses.</p>\",\"PeriodicalId\":11721,\"journal\":{\"name\":\"Epidemiology and Infection\",\"volume\":\" \",\"pages\":\"e26\"},\"PeriodicalIF\":2.2000,\"publicationDate\":\"2025-01-21\",\"publicationTypes\":\"Journal Article\",\"fieldsOfStudy\":null,\"isOpenAccess\":false,\"openAccessPdf\":\"https://www.ncbi.nlm.nih.gov/pmc/articles/PMC11869084/pdf/\",\"citationCount\":\"0\",\"resultStr\":null,\"platform\":\"Semanticscholar\",\"paperid\":null,\"PeriodicalName\":\"Epidemiology and Infection\",\"FirstCategoryId\":\"3\",\"ListUrlMain\":\"https://doi.org/10.1017/S095026882400150X\",\"RegionNum\":4,\"RegionCategory\":\"医学\",\"ArticlePicture\":[],\"TitleCN\":null,\"AbstractTextCN\":null,\"PMCID\":null,\"EPubDate\":\"\",\"PubModel\":\"\",\"JCR\":\"Q3\",\"JCRName\":\"INFECTIOUS DISEASES\",\"Score\":null,\"Total\":0}","platform":"Semanticscholar","paperid":null,"PeriodicalName":"Epidemiology and Infection","FirstCategoryId":"3","ListUrlMain":"https://doi.org/10.1017/S095026882400150X","RegionNum":4,"RegionCategory":"医学","ArticlePicture":[],"TitleCN":null,"AbstractTextCN":null,"PMCID":null,"EPubDate":"","PubModel":"","JCR":"Q3","JCRName":"INFECTIOUS DISEASES","Score":null,"Total":0}
引用次数: 0

摘要

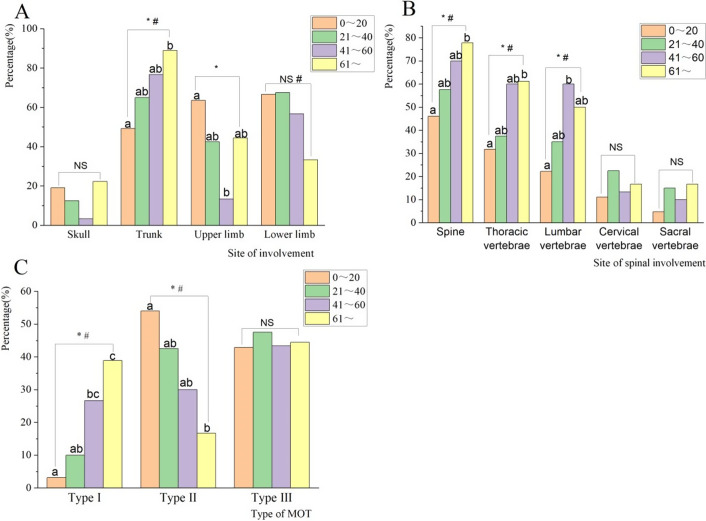
多发性骨关节结核(MOT)是一种罕见但严重的结核病,其特点是缺乏系统的分析和理解。我们的目的是描述MOT的流行病学特征,为预防和治疗奠定科学基础。我们在8个数据库中进行了搜索,以确定相关文章。采用Pearson卡方检验(Fisher精确检验)和Bonferroni方法评估不同年龄和性别患者的骨关节受损伤(α = 0.05)。该研究包括98篇文章,涵盖了来自22个国家的151例病例,中国和印度总共贡献了67.55%的病例。MOT主要发生在0-30岁(58.94%)。16.55%的病例有明显的肺结核,以累及脊柱为主(57.62%)。不同年龄组的躯干、脊柱、胸椎和腰椎受累以及I型病变存在显著差异,且随年龄增长而增加。此外,上肢骨受累和II型病变在不同年龄组中观察到显著差异,随着年龄的增长而降低。性别差异不显著。MOT主要表现在中国和印度,主要发生在年轻人中,表明骨关节受累的年龄相关变化。提高临床意识对MOT的准确诊断、减少漏诊和误诊至关重要。
本文章由计算机程序翻译,如有差异,请以英文原文为准。

Epidemiological and osteoarticular involvement sites' characteristics of multiple osteoarticular tuberculosis: a scoping review.

Epidemiological and osteoarticular involvement sites' characteristics of multiple osteoarticular tuberculosis: a scoping review.

Epidemiological and osteoarticular involvement sites' characteristics of multiple osteoarticular tuberculosis: a scoping review.

Epidemiological and osteoarticular involvement sites' characteristics of multiple osteoarticular tuberculosis: a scoping review.

Multiple osteoarticular tuberculosis (MOT) represents an uncommon yet severe form of tuberculosis, characterized by a lack of systematic analysis and comprehension. Our objective was to delineate MOT's epidemiological characteristics and establish a scientific foundation for prevention and treatment. We conducted searches across eight databases to identify relevant articles. Pearson's chi-square test (Fisher's exact test) and Bonferroni method were employed to assess osteoarticular involvement among patients of varying age and gender (α = 0.05). The study comprised 98 articles, encompassing 151 cases from 22 countries, with China and India collectively contributing 67.55% of cases. MOT predominantly affected individuals aged 0-30 years (58.94%). Pulmonary tuberculosis was evident in 16.55% of cases, with spinal involvement prevalent (57.62%). Significant differences were noted in trunk, spine, thoracic, and lumbar vertebrae involvement, as well as type I lesions across age groups, increasing with age. Moreover, significant differences were observed in upper limb bone involvement and type II lesions across age groups, decreasing with age. Gender differences were not significant. MOT primarily manifests in China and India, predominantly among younger individuals, indicating age-related variations in osteoarticular involvement. Enhanced clinical awareness is crucial for accurate MOT diagnosis, mitigating missed diagnoses and misdiagnoses.

求助全文
通过发布文献求助,成功后即可免费获取论文全文。 去求助
来源期刊
Epidemiology and Infection
Epidemiology and Infection 医学-传染病学
CiteScore
4.10
自引率
2.40%
发文量
366
审稿时长
3-6 weeks
期刊介绍: Epidemiology & Infection publishes original reports and reviews on all aspects of infection in humans and animals. Particular emphasis is given to the epidemiology, prevention and control of infectious diseases. The scope covers the zoonoses, outbreaks, food hygiene, vaccine studies, statistics and the clinical, social and public-health aspects of infectious disease, as well as some tropical infections. It has become the key international periodical in which to find the latest reports on recently discovered infections and new technology. For those concerned with policy and planning for the control of infections, the papers on mathematical modelling of epidemics caused by historical, current and emergent infections are of particular value.
×
引用
GB/T 7714-2015
复制
MLA
复制
APA
复制
导出至
BibTeX EndNote RefMan NoteFirst NoteExpress
×
提示
您的信息不完整,为了账户安全,请先补充。
现在去补充
×
提示
您因"违规操作"
具体请查看互助需知
我知道了
×
提示
确定
请完成安全验证×
copy
已复制链接
快去分享给好友吧!
我知道了
右上角分享
点击右上角分享
0
联系我们:info@booksci.cn Book学术提供免费学术资源搜索服务,方便国内外学者检索中英文文献。致力于提供最便捷和优质的服务体验。 Copyright © 2023 布克学术 All rights reserved.
京ICP备2023020795号-1
ghs 京公网安备 11010802042870号
Book学术文献互助
Book学术文献互助群
群 号:604180095
Book学术官方微信