甲状腺癌患者骨质疏松性骨折的风险:一项全国性人群队列研究

IF 4.2 3区 医学 Q2 ENDOCRINOLOGY & METABOLISM
Endocrinology and Metabolism Pub Date : 2025-04-01 Epub Date: 2025-01-15 DOI:10.3803/EnM.2024.2101
Eu Jeong Ku, Won Sang Yoo, Yu Been Hwang, Subin Jang, Jooyoung Lee, Shinje Moon, Eun Kyung Lee, Hwa Young Ahn
{"title":"甲状腺癌患者骨质疏松性骨折的风险:一项全国性人群队列研究","authors":"Eu Jeong Ku, Won Sang Yoo, Yu Been Hwang, Subin Jang, Jooyoung Lee, Shinje Moon, Eun Kyung Lee, Hwa Young Ahn","doi":"10.3803/EnM.2024.2101","DOIUrl":null,"url":null,"abstract":"<p><strong>Backgruound: </strong>The associations between thyroid cancer and skeletal outcomes have not been thoroughly investigated. We aimed to investigate the risk of osteoporotic fractures in patients with thyroid cancer compared to that in a matched control group.</p><p><strong>Methods: </strong>This retrospective cohort study included 2,514 patients with thyroid cancer and 75,420 matched controls from the Korean National Health Insurance Service-National Sample Cohort (NHIS-NSC, 2006-2019). The rates of osteoporotic fractures were analyzed, and associations with the levothyroxine dose were evaluated.</p><p><strong>Results: </strong>Patients with thyroid cancer had a significantly lower risk of fracture than did the control group (hazard ratio [HR], 0.81; 95% confidence interval [CI], 0.69 to 0.94; P=0.006). Patients diagnosed with thyroid cancer after the age of 50 years (older cancer group) had a significantly lower risk of fracture than did those in the control group (HR, 0.72; 95% CI, 0.6 to 0.85; P<0.001), especially those diagnosed with spinal fractures (HR, 0.66; 95% CI, 0.51 to 0.85; P=0.001). Patients in the older cancer group started osteoporosis treatment earlier than did those in the control group (65.5±7.5 years vs. 67.3±7.6 years, P<0.001). Additionally, a lower dose of levothyroxine was associated with a reduced risk of fractures.</p><p><strong>Conclusion: </strong>In the clinical setting, the risk of fracture in women diagnosed with thyroid cancer after the age of 50 years was lower than that in the control group, which was caused by more proactive osteoporosis treatment in postmenopausal women with thyroid cancer.</p>","PeriodicalId":11636,"journal":{"name":"Endocrinology and Metabolism","volume":" ","pages":"225-235"},"PeriodicalIF":4.2000,"publicationDate":"2025-04-01","publicationTypes":"Journal Article","fieldsOfStudy":null,"isOpenAccess":false,"openAccessPdf":"https://www.ncbi.nlm.nih.gov/pmc/articles/PMC12061740/pdf/","citationCount":"0","resultStr":"{\"title\":\"Risk of Osteoporotic Fractures among Patients with Thyroid Cancer: A Nationwide Population-Based Cohort Study.\",\"authors\":\"Eu Jeong Ku, Won Sang Yoo, Yu Been Hwang, Subin Jang, Jooyoung Lee, Shinje Moon, Eun Kyung Lee, Hwa Young Ahn\",\"doi\":\"10.3803/EnM.2024.2101\",\"DOIUrl\":null,\"url\":null,\"abstract\":\"<p><strong>Backgruound: </strong>The associations between thyroid cancer and skeletal outcomes have not been thoroughly investigated. We aimed to investigate the risk of osteoporotic fractures in patients with thyroid cancer compared to that in a matched control group.</p><p><strong>Methods: </strong>This retrospective cohort study included 2,514 patients with thyroid cancer and 75,420 matched controls from the Korean National Health Insurance Service-National Sample Cohort (NHIS-NSC, 2006-2019). The rates of osteoporotic fractures were analyzed, and associations with the levothyroxine dose were evaluated.</p><p><strong>Results: </strong>Patients with thyroid cancer had a significantly lower risk of fracture than did the control group (hazard ratio [HR], 0.81; 95% confidence interval [CI], 0.69 to 0.94; P=0.006). Patients diagnosed with thyroid cancer after the age of 50 years (older cancer group) had a significantly lower risk of fracture than did those in the control group (HR, 0.72; 95% CI, 0.6 to 0.85; P<0.001), especially those diagnosed with spinal fractures (HR, 0.66; 95% CI, 0.51 to 0.85; P=0.001). Patients in the older cancer group started osteoporosis treatment earlier than did those in the control group (65.5±7.5 years vs. 67.3±7.6 years, P<0.001). Additionally, a lower dose of levothyroxine was associated with a reduced risk of fractures.</p><p><strong>Conclusion: </strong>In the clinical setting, the risk of fracture in women diagnosed with thyroid cancer after the age of 50 years was lower than that in the control group, which was caused by more proactive osteoporosis treatment in postmenopausal women with thyroid cancer.</p>\",\"PeriodicalId\":11636,\"journal\":{\"name\":\"Endocrinology and Metabolism\",\"volume\":\" \",\"pages\":\"225-235\"},\"PeriodicalIF\":4.2000,\"publicationDate\":\"2025-04-01\",\"publicationTypes\":\"Journal Article\",\"fieldsOfStudy\":null,\"isOpenAccess\":false,\"openAccessPdf\":\"https://www.ncbi.nlm.nih.gov/pmc/articles/PMC12061740/pdf/\",\"citationCount\":\"0\",\"resultStr\":null,\"platform\":\"Semanticscholar\",\"paperid\":null,\"PeriodicalName\":\"Endocrinology and Metabolism\",\"FirstCategoryId\":\"3\",\"ListUrlMain\":\"https://doi.org/10.3803/EnM.2024.2101\",\"RegionNum\":3,\"RegionCategory\":\"医学\",\"ArticlePicture\":[],\"TitleCN\":null,\"AbstractTextCN\":null,\"PMCID\":null,\"EPubDate\":\"2025/1/15 0:00:00\",\"PubModel\":\"Epub\",\"JCR\":\"Q2\",\"JCRName\":\"ENDOCRINOLOGY & METABOLISM\",\"Score\":null,\"Total\":0}","platform":"Semanticscholar","paperid":null,"PeriodicalName":"Endocrinology and Metabolism","FirstCategoryId":"3","ListUrlMain":"https://doi.org/10.3803/EnM.2024.2101","RegionNum":3,"RegionCategory":"医学","ArticlePicture":[],"TitleCN":null,"AbstractTextCN":null,"PMCID":null,"EPubDate":"2025/1/15 0:00:00","PubModel":"Epub","JCR":"Q2","JCRName":"ENDOCRINOLOGY & METABOLISM","Score":null,"Total":0}
引用次数: 0

摘要

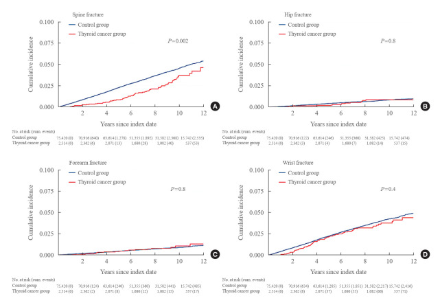
背景:甲状腺癌与骨骼预后之间的关系尚未被彻底研究。我们的目的是研究甲状腺癌患者发生骨质疏松性骨折的风险,并与对照组进行比较。方法:本回顾性队列研究包括2514名甲状腺癌患者和75420名匹配对照,来自韩国国民健康保险服务-国家样本队列(NHIS-NSC, 2006-2019)。分析骨质疏松性骨折的发生率,并评估其与左旋甲状腺素剂量的关系。结果:甲状腺癌患者发生骨折的风险明显低于对照组(危险比[HR], 0.81;95%置信区间[CI], 0.69 ~ 0.94;P = 0.006)。50岁以后诊断为甲状腺癌的患者(老年癌症组)发生骨折的风险明显低于对照组(HR, 0.72;95% CI, 0.6 ~ 0.85;结论:在临床中,50岁以后诊断为甲状腺癌的女性发生骨折的风险低于对照组,这是由于绝经后甲状腺癌女性更积极的骨质疏松治疗所致。
本文章由计算机程序翻译,如有差异,请以英文原文为准。

Risk of Osteoporotic Fractures among Patients with Thyroid Cancer: A Nationwide Population-Based Cohort Study.

Risk of Osteoporotic Fractures among Patients with Thyroid Cancer: A Nationwide Population-Based Cohort Study.

Risk of Osteoporotic Fractures among Patients with Thyroid Cancer: A Nationwide Population-Based Cohort Study.

Risk of Osteoporotic Fractures among Patients with Thyroid Cancer: A Nationwide Population-Based Cohort Study.

Backgruound: The associations between thyroid cancer and skeletal outcomes have not been thoroughly investigated. We aimed to investigate the risk of osteoporotic fractures in patients with thyroid cancer compared to that in a matched control group.

Methods: This retrospective cohort study included 2,514 patients with thyroid cancer and 75,420 matched controls from the Korean National Health Insurance Service-National Sample Cohort (NHIS-NSC, 2006-2019). The rates of osteoporotic fractures were analyzed, and associations with the levothyroxine dose were evaluated.

Results: Patients with thyroid cancer had a significantly lower risk of fracture than did the control group (hazard ratio [HR], 0.81; 95% confidence interval [CI], 0.69 to 0.94; P=0.006). Patients diagnosed with thyroid cancer after the age of 50 years (older cancer group) had a significantly lower risk of fracture than did those in the control group (HR, 0.72; 95% CI, 0.6 to 0.85; P<0.001), especially those diagnosed with spinal fractures (HR, 0.66; 95% CI, 0.51 to 0.85; P=0.001). Patients in the older cancer group started osteoporosis treatment earlier than did those in the control group (65.5±7.5 years vs. 67.3±7.6 years, P<0.001). Additionally, a lower dose of levothyroxine was associated with a reduced risk of fractures.

Conclusion: In the clinical setting, the risk of fracture in women diagnosed with thyroid cancer after the age of 50 years was lower than that in the control group, which was caused by more proactive osteoporosis treatment in postmenopausal women with thyroid cancer.

求助全文
通过发布文献求助,成功后即可免费获取论文全文。 去求助
来源期刊
Endocrinology and Metabolism
Endocrinology and Metabolism Medicine-Endocrinology, Diabetes and Metabolism
CiteScore
6.60
自引率
5.90%
发文量
145
审稿时长
24 weeks
期刊介绍: The aim of this journal is to set high standards of medical care by providing a forum for discussion for basic, clinical, and translational researchers and clinicians on new findings in the fields of endocrinology and metabolism. Endocrinology and Metabolism reports new findings and developments in all aspects of endocrinology and metabolism. The topics covered by this journal include bone and mineral metabolism, cytokines, developmental endocrinology, diagnostic endocrinology, endocrine research, dyslipidemia, endocrine regulation, genetic endocrinology, growth factors, hormone receptors, hormone action and regulation, management of endocrine diseases, clinical trials, epidemiology, molecular endocrinology, neuroendocrinology, neuropeptides, neurotransmitters, obesity, pediatric endocrinology, reproductive endocrinology, signal transduction, the anatomy and physiology of endocrine organs (i.e., the pituitary, thyroid, parathyroid, and adrenal glands, and the gonads), and endocrine diseases (diabetes, nutrition, osteoporosis, etc.).
×
引用
GB/T 7714-2015
复制
MLA
复制
APA
复制
导出至
BibTeX EndNote RefMan NoteFirst NoteExpress
×
提示
您的信息不完整,为了账户安全,请先补充。
现在去补充
×
提示
您因"违规操作"
具体请查看互助需知
我知道了
×
提示
确定
请完成安全验证×
copy
已复制链接
快去分享给好友吧!
我知道了
右上角分享
点击右上角分享
0
联系我们:info@booksci.cn Book学术提供免费学术资源搜索服务,方便国内外学者检索中英文文献。致力于提供最便捷和优质的服务体验。 Copyright © 2023 布克学术 All rights reserved.
京ICP备2023020795号-1
ghs 京公网安备 11010802042870号
Book学术文献互助
Book学术文献互助群
群 号:604180095
Book学术官方微信