慢性肾病和冠状动脉疾病患者肝纤维化标志物与死亡率结局的关联:来自NHANES 1999-2018数据的见解

IF 2.9 4区 医学 Q2 CARDIAC & CARDIOVASCULAR SYSTEMS
Cardiorenal Medicine Pub Date : 2025-01-01 Epub Date: 2025-01-21 DOI:10.1159/000543500
Zixiang Ye, Enmin Xie, Ziyu Guo, Yanxiang Gao, Zhongwei Han, Kefei Dou, Jingang Zheng
{"title":"慢性肾病和冠状动脉疾病患者肝纤维化标志物与死亡率结局的关联:来自NHANES 1999-2018数据的见解","authors":"Zixiang Ye, Enmin Xie, Ziyu Guo, Yanxiang Gao, Zhongwei Han, Kefei Dou, Jingang Zheng","doi":"10.1159/000543500","DOIUrl":null,"url":null,"abstract":"<p><strong>Introduction: </strong>The objective of this research was to explore the possible link between markers of liver fibrosis and survival rates in a group of adults who have been diagnosed with both chronic kidney disease (CKD) and coronary artery disease (CAD).</p><p><strong>Methods: </strong>The National Health and Nutrition Examination Survey (NHANES) data (1999-2018) for participants with both CAD and CKD were analyzed. The fibrosis-4 index (FIB-4), Nonalcoholic Fatty Liver Score (NFS), Forns index, and aspartate aminotransferase/alanine aminotransferase (AST/ALT) ratio were identified as crucial biomarkers. All-cause and cardiovascular disease (CVD) mortality were primary outcomes, assessed using Cox models, Kaplan-Meier curves, and receiver operating characteristic (ROC) analysis.</p><p><strong>Results: </strong>A total of 1,192 CKD and CAD patients were included. The Cox regression analysis revealed substantial correlations between elevated FIB-4, NFS, Forns index, and AST/ALT levels and a heightened risk of all-cause (hazard ratio [HR]: 1.188, 95% confidence interval [CI]: 1.108-1.274; HR: 1.145, 95% CI: 1.069-1.227; HR: 1.142, 95% CI: 1.081-1.201; HR: 1.316, 95% CI: 1.056-1.639, respectively) and CVD mortality (HR: 1.133, 95% CI: 1.007-1.275; HR: 1.155, 95% CI: 1.024-1.303; HR: 1.208, 95% CI: 1.109-1.316 and HR: 1.636, 95% CI: 1.203-2.224, respectively). The ROC analysis indicated comparable predictive accuracy for all three biomarkers, with AST/ALT showing slightly superior performance.</p><p><strong>Conclusion: </strong>Liver fibrosis markers, including AST/ALT, NFS, Forns index and FIB-4, are significant mortality predictors in CAD-CKD patients. The AST/ALT ratio, being easily measurable, may serve as an effective predictive tool for risk stratification in this population.</p>","PeriodicalId":9584,"journal":{"name":"Cardiorenal Medicine","volume":" ","pages":"153-163"},"PeriodicalIF":2.9000,"publicationDate":"2025-01-01","publicationTypes":"Journal Article","fieldsOfStudy":null,"isOpenAccess":false,"openAccessPdf":"https://www.ncbi.nlm.nih.gov/pmc/articles/PMC11844702/pdf/","citationCount":"0","resultStr":"{\"title\":\"Association of Liver Fibrosis Markers with Mortality Outcomes in Patients with Chronic Kidney Disease and Coronary Artery Disease: Insights from the NHANES 1999-2018 Data.\",\"authors\":\"Zixiang Ye, Enmin Xie, Ziyu Guo, Yanxiang Gao, Zhongwei Han, Kefei Dou, Jingang Zheng\",\"doi\":\"10.1159/000543500\",\"DOIUrl\":null,\"url\":null,\"abstract\":\"<p><strong>Introduction: </strong>The objective of this research was to explore the possible link between markers of liver fibrosis and survival rates in a group of adults who have been diagnosed with both chronic kidney disease (CKD) and coronary artery disease (CAD).</p><p><strong>Methods: </strong>The National Health and Nutrition Examination Survey (NHANES) data (1999-2018) for participants with both CAD and CKD were analyzed. The fibrosis-4 index (FIB-4), Nonalcoholic Fatty Liver Score (NFS), Forns index, and aspartate aminotransferase/alanine aminotransferase (AST/ALT) ratio were identified as crucial biomarkers. All-cause and cardiovascular disease (CVD) mortality were primary outcomes, assessed using Cox models, Kaplan-Meier curves, and receiver operating characteristic (ROC) analysis.</p><p><strong>Results: </strong>A total of 1,192 CKD and CAD patients were included. The Cox regression analysis revealed substantial correlations between elevated FIB-4, NFS, Forns index, and AST/ALT levels and a heightened risk of all-cause (hazard ratio [HR]: 1.188, 95% confidence interval [CI]: 1.108-1.274; HR: 1.145, 95% CI: 1.069-1.227; HR: 1.142, 95% CI: 1.081-1.201; HR: 1.316, 95% CI: 1.056-1.639, respectively) and CVD mortality (HR: 1.133, 95% CI: 1.007-1.275; HR: 1.155, 95% CI: 1.024-1.303; HR: 1.208, 95% CI: 1.109-1.316 and HR: 1.636, 95% CI: 1.203-2.224, respectively). The ROC analysis indicated comparable predictive accuracy for all three biomarkers, with AST/ALT showing slightly superior performance.</p><p><strong>Conclusion: </strong>Liver fibrosis markers, including AST/ALT, NFS, Forns index and FIB-4, are significant mortality predictors in CAD-CKD patients. The AST/ALT ratio, being easily measurable, may serve as an effective predictive tool for risk stratification in this population.</p>\",\"PeriodicalId\":9584,\"journal\":{\"name\":\"Cardiorenal Medicine\",\"volume\":\" \",\"pages\":\"153-163\"},\"PeriodicalIF\":2.9000,\"publicationDate\":\"2025-01-01\",\"publicationTypes\":\"Journal Article\",\"fieldsOfStudy\":null,\"isOpenAccess\":false,\"openAccessPdf\":\"https://www.ncbi.nlm.nih.gov/pmc/articles/PMC11844702/pdf/\",\"citationCount\":\"0\",\"resultStr\":null,\"platform\":\"Semanticscholar\",\"paperid\":null,\"PeriodicalName\":\"Cardiorenal Medicine\",\"FirstCategoryId\":\"3\",\"ListUrlMain\":\"https://doi.org/10.1159/000543500\",\"RegionNum\":4,\"RegionCategory\":\"医学\",\"ArticlePicture\":[],\"TitleCN\":null,\"AbstractTextCN\":null,\"PMCID\":null,\"EPubDate\":\"2025/1/21 0:00:00\",\"PubModel\":\"Epub\",\"JCR\":\"Q2\",\"JCRName\":\"CARDIAC & CARDIOVASCULAR SYSTEMS\",\"Score\":null,\"Total\":0}","platform":"Semanticscholar","paperid":null,"PeriodicalName":"Cardiorenal Medicine","FirstCategoryId":"3","ListUrlMain":"https://doi.org/10.1159/000543500","RegionNum":4,"RegionCategory":"医学","ArticlePicture":[],"TitleCN":null,"AbstractTextCN":null,"PMCID":null,"EPubDate":"2025/1/21 0:00:00","PubModel":"Epub","JCR":"Q2","JCRName":"CARDIAC & CARDIOVASCULAR SYSTEMS","Score":null,"Total":0}
引用次数: 0

摘要

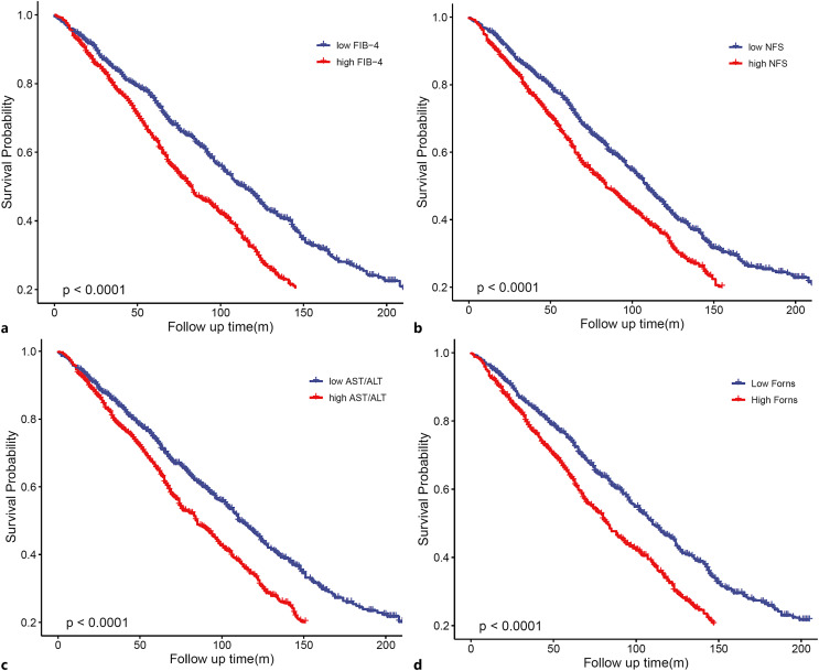
本研究的目的是探讨一组被诊断为慢性肾脏疾病(CKD)和冠状动脉疾病(CAD)的成年人肝纤维化标志物与生存率之间的可能联系。方法:对CAD和CKD参与者的1999-2018年国家健康与营养调查(NHANES)数据进行分析。纤维化-4指数(FIB-4)、非酒精性脂肪肝评分(NFS)、Forns指数和天冬氨酸转氨酶/丙氨酸转氨酶(AST/ALT)比值被确定为关键的生物标志物。全因死亡率和心血管疾病(CVD)死亡率是主要结局,采用Cox模型、Kaplan-Meier曲线和ROC分析进行评估。结果:共纳入1192例CKD和CAD患者。Cox回归分析显示FIB-4、NFS、Forns指数和AST/ALT水平升高与全因风险升高之间存在显著相关性(HR 1.188, 95%CI 1.108-1.274;Hr 1.145, 95%ci 1.069-1.227;Hr 1.142, 95%ci 1.081 ~ 1.201;HR 1.316, 95%CI 1.056-1.639)和CVD死亡率(HR 1.133, 95%CI 1.007-1.275;Hr 1.155, 95%ci 1.024-1.303;HR为1.208,95%CI为1.109-1.316;HR为1.636,95%CI为1.203-2.224)。ROC分析显示,所有三种生物标志物的预测准确性相当,AST/ALT表现出稍好的表现。结论:肝纤维化指标包括AST/ALT、NFS、Forns指数和FIB-4是CAD-CKD患者死亡率的重要预测指标。AST/ALT比值易于测量,可作为该人群风险分层的有效预测工具。
本文章由计算机程序翻译,如有差异,请以英文原文为准。

Association of Liver Fibrosis Markers with Mortality Outcomes in Patients with Chronic Kidney Disease and Coronary Artery Disease: Insights from the NHANES 1999-2018 Data.

Association of Liver Fibrosis Markers with Mortality Outcomes in Patients with Chronic Kidney Disease and Coronary Artery Disease: Insights from the NHANES 1999-2018 Data.

Association of Liver Fibrosis Markers with Mortality Outcomes in Patients with Chronic Kidney Disease and Coronary Artery Disease: Insights from the NHANES 1999-2018 Data.

Association of Liver Fibrosis Markers with Mortality Outcomes in Patients with Chronic Kidney Disease and Coronary Artery Disease: Insights from the NHANES 1999-2018 Data.

Introduction: The objective of this research was to explore the possible link between markers of liver fibrosis and survival rates in a group of adults who have been diagnosed with both chronic kidney disease (CKD) and coronary artery disease (CAD).

Methods: The National Health and Nutrition Examination Survey (NHANES) data (1999-2018) for participants with both CAD and CKD were analyzed. The fibrosis-4 index (FIB-4), Nonalcoholic Fatty Liver Score (NFS), Forns index, and aspartate aminotransferase/alanine aminotransferase (AST/ALT) ratio were identified as crucial biomarkers. All-cause and cardiovascular disease (CVD) mortality were primary outcomes, assessed using Cox models, Kaplan-Meier curves, and receiver operating characteristic (ROC) analysis.

Results: A total of 1,192 CKD and CAD patients were included. The Cox regression analysis revealed substantial correlations between elevated FIB-4, NFS, Forns index, and AST/ALT levels and a heightened risk of all-cause (hazard ratio [HR]: 1.188, 95% confidence interval [CI]: 1.108-1.274; HR: 1.145, 95% CI: 1.069-1.227; HR: 1.142, 95% CI: 1.081-1.201; HR: 1.316, 95% CI: 1.056-1.639, respectively) and CVD mortality (HR: 1.133, 95% CI: 1.007-1.275; HR: 1.155, 95% CI: 1.024-1.303; HR: 1.208, 95% CI: 1.109-1.316 and HR: 1.636, 95% CI: 1.203-2.224, respectively). The ROC analysis indicated comparable predictive accuracy for all three biomarkers, with AST/ALT showing slightly superior performance.

Conclusion: Liver fibrosis markers, including AST/ALT, NFS, Forns index and FIB-4, are significant mortality predictors in CAD-CKD patients. The AST/ALT ratio, being easily measurable, may serve as an effective predictive tool for risk stratification in this population.

求助全文
通过发布文献求助,成功后即可免费获取论文全文。 去求助
来源期刊
Cardiorenal Medicine
Cardiorenal Medicine CARDIAC & CARDIOVASCULAR SYSTEMS-UROLOGY & NEPHROLOGY
CiteScore
5.40
自引率
2.60%
发文量
25
审稿时长
>12 weeks
期刊介绍: The journal ''Cardiorenal Medicine'' explores the mechanisms by which obesity and other metabolic abnormalities promote the pathogenesis and progression of heart and kidney disease (cardiorenal metabolic syndrome). It provides an interdisciplinary platform for the advancement of research and clinical practice, focussing on translational issues.
×
引用
GB/T 7714-2015
复制
MLA
复制
APA
复制
导出至
BibTeX EndNote RefMan NoteFirst NoteExpress
×
提示
您的信息不完整,为了账户安全,请先补充。
现在去补充
×
提示
您因"违规操作"
具体请查看互助需知
我知道了
×
提示
确定
请完成安全验证×
copy
已复制链接
快去分享给好友吧!
我知道了
右上角分享
点击右上角分享
0
联系我们:info@booksci.cn Book学术提供免费学术资源搜索服务,方便国内外学者检索中英文文献。致力于提供最便捷和优质的服务体验。 Copyright © 2023 布克学术 All rights reserved.
京ICP备2023020795号-1
ghs 京公网安备 11010802042870号
Book学术文献互助
Book学术文献互助群
群 号:604180095
Book学术官方微信