预测实体器官移植受者严重感染的新常规免疫评分(RIS2020)

IF 1.4 4区 医学 Q3 SURGERY
Elizabeth Sarmiento, Ikram Ezzahouri, Maricela Jimenez-Lopez, Kristofer M Limay Carré, Rocio Alonso, Carlos Ortiz-Bautista, Magdalena Salcedo Plaza, Maria Luisa Rodríguez-Ferrero, Pedro Martin Padilla-Machaca, Ana Cerron, Jose Carlos Chaman, Ana P Vionnet Salvo, Javier Carbone
{"title":"预测实体器官移植受者严重感染的新常规免疫评分(RIS2020)","authors":"Elizabeth Sarmiento, Ikram Ezzahouri, Maricela Jimenez-Lopez, Kristofer M Limay Carré, Rocio Alonso, Carlos Ortiz-Bautista, Magdalena Salcedo Plaza, Maria Luisa Rodríguez-Ferrero, Pedro Martin Padilla-Machaca, Ana Cerron, Jose Carlos Chaman, Ana P Vionnet Salvo, Javier Carbone","doi":"10.12659/AOT.946233","DOIUrl":null,"url":null,"abstract":"<p><p>BACKGROUND Infection is a cause of morbidity and mortality in solid-organ transplantation (SOT). We evaluated a new score that is applied during the first month after transplantation. The score comprises biomarkers of innate and acquired immunity to predict infections in SOT. MATERIAL AND METHODS Prospectively collected blood samples from 377 heart, liver, or kidney recipients were analyzed at 2 centers in Madrid (Spain) and Lima (Peru). Biomarkers were tested before transplantation and at days 7 and 30 after transplantation. During the first 6 months after transplantation, 183 (48.5%) patients developed severe infections (bacterial infections and/or CMV disease). Risk for severe infection was assessed using logistic regression analysis. We designed a score, the routine immunity score (RIS2020), which is based on the sum of the hazard ratios (HRs) of each biomarker. RESULTS The risk factors for severe infection were as follows: Moderate IgG hypogammaglobulinemia (IgG <600 mg/dL at days 7 or 30, HR 2.07, 95% CI 1.37-3.12, p=0.0005, 2 points), CD4 <400 cells/uL at day 30 (HR 1.76, 95% CI 1.03-3.04, p=0.039, 2 points), C3 <80 mg/dL at day 30 (HR 2.18, 95%CI 1.16-4.06, p=0.014, 2 points), and CRP >3 mg/dL at day 30 (HR 2.11, 95% CI 1.12-3.97, p=0.02, 2 points). In patients with ≥4 points, the HR for infection was 5.18 (95% CI 3.06-8.75; p<0.001). RIS2020 was an independent predictor of severe infection in multivariate models. CONCLUSIONS An immunological score combining moderate IgG hypogammaglobulinemia and other parameters of innate and acquired immunity could better identify the risk for severe infection in SOT.</p>","PeriodicalId":7935,"journal":{"name":"Annals of Transplantation","volume":"30 ","pages":"e946233"},"PeriodicalIF":1.4000,"publicationDate":"2025-01-21","publicationTypes":"Journal Article","fieldsOfStudy":null,"isOpenAccess":false,"openAccessPdf":"https://www.ncbi.nlm.nih.gov/pmc/articles/PMC11760188/pdf/","citationCount":"0","resultStr":"{\"title\":\"A New Routine Immunity Score (RIS2020) to Predict Severe Infection in Solid-Organ Transplant Recipients.\",\"authors\":\"Elizabeth Sarmiento, Ikram Ezzahouri, Maricela Jimenez-Lopez, Kristofer M Limay Carré, Rocio Alonso, Carlos Ortiz-Bautista, Magdalena Salcedo Plaza, Maria Luisa Rodríguez-Ferrero, Pedro Martin Padilla-Machaca, Ana Cerron, Jose Carlos Chaman, Ana P Vionnet Salvo, Javier Carbone\",\"doi\":\"10.12659/AOT.946233\",\"DOIUrl\":null,\"url\":null,\"abstract\":\"<p><p>BACKGROUND Infection is a cause of morbidity and mortality in solid-organ transplantation (SOT). We evaluated a new score that is applied during the first month after transplantation. The score comprises biomarkers of innate and acquired immunity to predict infections in SOT. MATERIAL AND METHODS Prospectively collected blood samples from 377 heart, liver, or kidney recipients were analyzed at 2 centers in Madrid (Spain) and Lima (Peru). Biomarkers were tested before transplantation and at days 7 and 30 after transplantation. During the first 6 months after transplantation, 183 (48.5%) patients developed severe infections (bacterial infections and/or CMV disease). Risk for severe infection was assessed using logistic regression analysis. We designed a score, the routine immunity score (RIS2020), which is based on the sum of the hazard ratios (HRs) of each biomarker. RESULTS The risk factors for severe infection were as follows: Moderate IgG hypogammaglobulinemia (IgG <600 mg/dL at days 7 or 30, HR 2.07, 95% CI 1.37-3.12, p=0.0005, 2 points), CD4 <400 cells/uL at day 30 (HR 1.76, 95% CI 1.03-3.04, p=0.039, 2 points), C3 <80 mg/dL at day 30 (HR 2.18, 95%CI 1.16-4.06, p=0.014, 2 points), and CRP >3 mg/dL at day 30 (HR 2.11, 95% CI 1.12-3.97, p=0.02, 2 points). In patients with ≥4 points, the HR for infection was 5.18 (95% CI 3.06-8.75; p<0.001). RIS2020 was an independent predictor of severe infection in multivariate models. CONCLUSIONS An immunological score combining moderate IgG hypogammaglobulinemia and other parameters of innate and acquired immunity could better identify the risk for severe infection in SOT.</p>\",\"PeriodicalId\":7935,\"journal\":{\"name\":\"Annals of Transplantation\",\"volume\":\"30 \",\"pages\":\"e946233\"},\"PeriodicalIF\":1.4000,\"publicationDate\":\"2025-01-21\",\"publicationTypes\":\"Journal Article\",\"fieldsOfStudy\":null,\"isOpenAccess\":false,\"openAccessPdf\":\"https://www.ncbi.nlm.nih.gov/pmc/articles/PMC11760188/pdf/\",\"citationCount\":\"0\",\"resultStr\":null,\"platform\":\"Semanticscholar\",\"paperid\":null,\"PeriodicalName\":\"Annals of Transplantation\",\"FirstCategoryId\":\"3\",\"ListUrlMain\":\"https://doi.org/10.12659/AOT.946233\",\"RegionNum\":4,\"RegionCategory\":\"医学\",\"ArticlePicture\":[],\"TitleCN\":null,\"AbstractTextCN\":null,\"PMCID\":null,\"EPubDate\":\"\",\"PubModel\":\"\",\"JCR\":\"Q3\",\"JCRName\":\"SURGERY\",\"Score\":null,\"Total\":0}","platform":"Semanticscholar","paperid":null,"PeriodicalName":"Annals of Transplantation","FirstCategoryId":"3","ListUrlMain":"https://doi.org/10.12659/AOT.946233","RegionNum":4,"RegionCategory":"医学","ArticlePicture":[],"TitleCN":null,"AbstractTextCN":null,"PMCID":null,"EPubDate":"","PubModel":"","JCR":"Q3","JCRName":"SURGERY","Score":null,"Total":0}
引用次数: 0

摘要

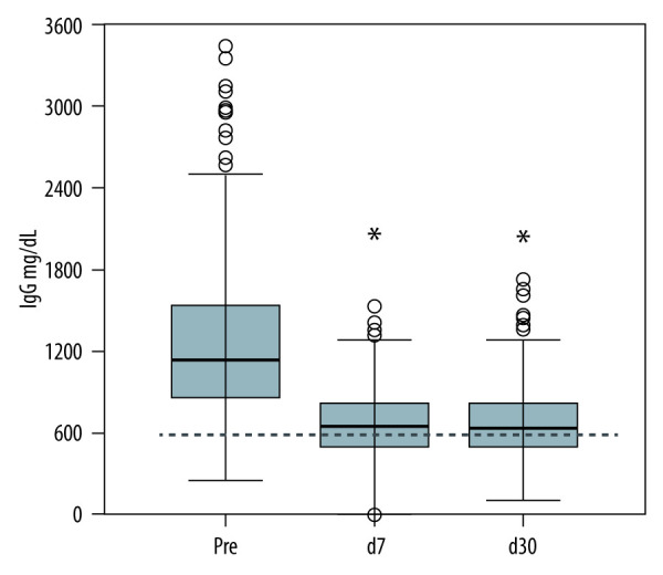
背景:感染是实体器官移植(SOT)发病和死亡的原因之一。我们评估了移植后第一个月应用的新评分。该评分包括先天免疫和获得性免疫的生物标志物,以预测SOT的感染。材料和方法在马德里(西班牙)和利马(秘鲁)的2个中心对377名心脏、肝脏或肾脏受体的前瞻性血液样本进行分析。在移植前、移植后第7天和第30天检测生物标志物。在移植后的前6个月,183例(48.5%)患者发生严重感染(细菌感染和/或巨细胞病毒疾病)。采用logistic回归分析评估严重感染的风险。我们设计了一个评分,即常规免疫评分(RIS2020),该评分基于每个生物标志物的风险比(hr)的总和。结果严重感染的危险因素为:中度IgG低丙种球蛋白血症(IgG 3 mg/dL),第30天(HR 2.11, 95% CI 1.12 ~ 3.97, p=0.02, 2点);在≥4分的患者中,感染的HR为5.18 (95% CI 3.06-8.75;p
本文章由计算机程序翻译,如有差异,请以英文原文为准。

A New Routine Immunity Score (RIS2020) to Predict Severe Infection in Solid-Organ Transplant Recipients.

A New Routine Immunity Score (RIS2020) to Predict Severe Infection in Solid-Organ Transplant Recipients.

A New Routine Immunity Score (RIS2020) to Predict Severe Infection in Solid-Organ Transplant Recipients.

A New Routine Immunity Score (RIS2020) to Predict Severe Infection in Solid-Organ Transplant Recipients.

BACKGROUND Infection is a cause of morbidity and mortality in solid-organ transplantation (SOT). We evaluated a new score that is applied during the first month after transplantation. The score comprises biomarkers of innate and acquired immunity to predict infections in SOT. MATERIAL AND METHODS Prospectively collected blood samples from 377 heart, liver, or kidney recipients were analyzed at 2 centers in Madrid (Spain) and Lima (Peru). Biomarkers were tested before transplantation and at days 7 and 30 after transplantation. During the first 6 months after transplantation, 183 (48.5%) patients developed severe infections (bacterial infections and/or CMV disease). Risk for severe infection was assessed using logistic regression analysis. We designed a score, the routine immunity score (RIS2020), which is based on the sum of the hazard ratios (HRs) of each biomarker. RESULTS The risk factors for severe infection were as follows: Moderate IgG hypogammaglobulinemia (IgG <600 mg/dL at days 7 or 30, HR 2.07, 95% CI 1.37-3.12, p=0.0005, 2 points), CD4 <400 cells/uL at day 30 (HR 1.76, 95% CI 1.03-3.04, p=0.039, 2 points), C3 <80 mg/dL at day 30 (HR 2.18, 95%CI 1.16-4.06, p=0.014, 2 points), and CRP >3 mg/dL at day 30 (HR 2.11, 95% CI 1.12-3.97, p=0.02, 2 points). In patients with ≥4 points, the HR for infection was 5.18 (95% CI 3.06-8.75; p<0.001). RIS2020 was an independent predictor of severe infection in multivariate models. CONCLUSIONS An immunological score combining moderate IgG hypogammaglobulinemia and other parameters of innate and acquired immunity could better identify the risk for severe infection in SOT.

求助全文
通过发布文献求助,成功后即可免费获取论文全文。 去求助
来源期刊
CiteScore
2.50
自引率
0.00%
发文量
79
审稿时长
>12 weeks
期刊介绍: Annals of Transplantation is one of the fast-developing journals open to all scientists and fields of transplant medicine and related research. The journal is published quarterly and provides extensive coverage of the most important advances in transplantation. Using an electronic on-line submission and peer review tracking system, Annals of Transplantation is committed to rapid review and publication. The average time to first decision is around 3-4 weeks. Time to publication of accepted manuscripts continues to be shortened, with the Editorial team committed to a goal of 3 months from acceptance to publication. Expert reseachers and clinicians from around the world contribute original Articles, Review Papers, Case Reports and Special Reports in every pertinent specialty, providing a lot of arguments for discussion of exciting developments and controversies in the field.
×
引用
GB/T 7714-2015
复制
MLA
复制
APA
复制
导出至
BibTeX EndNote RefMan NoteFirst NoteExpress
×
提示
您的信息不完整,为了账户安全,请先补充。
现在去补充
×
提示
您因"违规操作"
具体请查看互助需知
我知道了
×
提示
确定
请完成安全验证×
copy
已复制链接
快去分享给好友吧!
我知道了
右上角分享
点击右上角分享
0
联系我们:info@booksci.cn Book学术提供免费学术资源搜索服务,方便国内外学者检索中英文文献。致力于提供最便捷和优质的服务体验。 Copyright © 2023 布克学术 All rights reserved.
京ICP备2023020795号-1
ghs 京公网安备 11010802042870号
Book学术文献互助
Book学术文献互助群
群 号:604180095
Book学术官方微信