甲基苯胺和卡比多的相互作用:模拟费托合成的一个基本步骤

IF 16.9 1区 化学 Q1 CHEMISTRY, MULTIDISCIPLINARY
Dr. Liam K. Burt, Prof. Dr. Anthony F. Hill
{"title":"甲基苯胺和卡比多的相互作用:模拟费托合成的一个基本步骤","authors":"Dr. Liam K. Burt,&nbsp;Prof. Dr. Anthony F. Hill","doi":"10.1002/anie.202424699","DOIUrl":null,"url":null,"abstract":"<p>Heterobimetallic μ-methylidyne complexes [WPt(μ<sub>2</sub>-CH)(CO)<sub>2</sub>L<sub>2</sub>(Tp*)], where L<sub>2</sub>=(PPh<sub>3</sub>)<sub>2</sub>, (PPh<sub>3</sub>)(CO), (dppe), (PPh<sub>3</sub>)(CNC<sub>6</sub>H<sub>2</sub>Me<sub>3</sub>), have been obtained via the intermediacy of transient hydrido-μ-carbido complexes that undergo carbido-hydrido coupling to model a fundamental step in the proposed mechanism for Fischer–Tropsch synthesis.</p>","PeriodicalId":125,"journal":{"name":"Angewandte Chemie International Edition","volume":"64 9","pages":""},"PeriodicalIF":16.9000,"publicationDate":"2025-01-20","publicationTypes":"Journal Article","fieldsOfStudy":null,"isOpenAccess":false,"openAccessPdf":"https://onlinelibrary.wiley.com/doi/epdf/10.1002/anie.202424699","citationCount":"0","resultStr":"{\"title\":\"The Interplay of Methylidyne and Carbido Species: Modeling a Fundamental Step in the Fischer–Tropsch Synthesis\",\"authors\":\"Dr. Liam K. Burt,&nbsp;Prof. Dr. Anthony F. Hill\",\"doi\":\"10.1002/anie.202424699\",\"DOIUrl\":null,\"url\":null,\"abstract\":\"<p>Heterobimetallic μ-methylidyne complexes [WPt(μ<sub>2</sub>-CH)(CO)<sub>2</sub>L<sub>2</sub>(Tp*)], where L<sub>2</sub>=(PPh<sub>3</sub>)<sub>2</sub>, (PPh<sub>3</sub>)(CO), (dppe), (PPh<sub>3</sub>)(CNC<sub>6</sub>H<sub>2</sub>Me<sub>3</sub>), have been obtained via the intermediacy of transient hydrido-μ-carbido complexes that undergo carbido-hydrido coupling to model a fundamental step in the proposed mechanism for Fischer–Tropsch synthesis.</p>\",\"PeriodicalId\":125,\"journal\":{\"name\":\"Angewandte Chemie International Edition\",\"volume\":\"64 9\",\"pages\":\"\"},\"PeriodicalIF\":16.9000,\"publicationDate\":\"2025-01-20\",\"publicationTypes\":\"Journal Article\",\"fieldsOfStudy\":null,\"isOpenAccess\":false,\"openAccessPdf\":\"https://onlinelibrary.wiley.com/doi/epdf/10.1002/anie.202424699\",\"citationCount\":\"0\",\"resultStr\":null,\"platform\":\"Semanticscholar\",\"paperid\":null,\"PeriodicalName\":\"Angewandte Chemie International Edition\",\"FirstCategoryId\":\"92\",\"ListUrlMain\":\"https://onlinelibrary.wiley.com/doi/10.1002/anie.202424699\",\"RegionNum\":1,\"RegionCategory\":\"化学\",\"ArticlePicture\":[],\"TitleCN\":null,\"AbstractTextCN\":null,\"PMCID\":null,\"EPubDate\":\"\",\"PubModel\":\"\",\"JCR\":\"Q1\",\"JCRName\":\"CHEMISTRY, MULTIDISCIPLINARY\",\"Score\":null,\"Total\":0}","platform":"Semanticscholar","paperid":null,"PeriodicalName":"Angewandte Chemie International Edition","FirstCategoryId":"92","ListUrlMain":"https://onlinelibrary.wiley.com/doi/10.1002/anie.202424699","RegionNum":1,"RegionCategory":"化学","ArticlePicture":[],"TitleCN":null,"AbstractTextCN":null,"PMCID":null,"EPubDate":"","PubModel":"","JCR":"Q1","JCRName":"CHEMISTRY, MULTIDISCIPLINARY","Score":null,"Total":0}
引用次数: 0

摘要

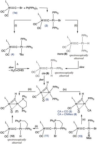
通过过渡氢化物-μ-卡比多配合物进行卡比多-氢偶联,得到了异双金属μ-甲基炔配合物[WPt(μ - ch)(CO)2L2(Tp*)],其中L2 = (PPh3)2, (PPh3)(CO), (dppe), (PPh3)(CNC6H2Me3),模拟了所提出的费托合成机制的一个基本步骤。
本文章由计算机程序翻译,如有差异,请以英文原文为准。

The Interplay of Methylidyne and Carbido Species: Modeling a Fundamental Step in the Fischer–Tropsch Synthesis

The Interplay of Methylidyne and Carbido Species: Modeling a Fundamental Step in the Fischer–Tropsch Synthesis

Heterobimetallic μ-methylidyne complexes [WPt(μ2-CH)(CO)2L2(Tp*)], where L2=(PPh3)2, (PPh3)(CO), (dppe), (PPh3)(CNC6H2Me3), have been obtained via the intermediacy of transient hydrido-μ-carbido complexes that undergo carbido-hydrido coupling to model a fundamental step in the proposed mechanism for Fischer–Tropsch synthesis.

求助全文
通过发布文献求助,成功后即可免费获取论文全文。 去求助
来源期刊
CiteScore
26.60
自引率
6.60%
发文量
3549
审稿时长
1.5 months
期刊介绍: Angewandte Chemie, a journal of the German Chemical Society (GDCh), maintains a leading position among scholarly journals in general chemistry with an impressive Impact Factor of 16.6 (2022 Journal Citation Reports, Clarivate, 2023). Published weekly in a reader-friendly format, it features new articles almost every day. Established in 1887, Angewandte Chemie is a prominent chemistry journal, offering a dynamic blend of Review-type articles, Highlights, Communications, and Research Articles on a weekly basis, making it unique in the field.
×
引用
GB/T 7714-2015
复制
MLA
复制
APA
复制
导出至
BibTeX EndNote RefMan NoteFirst NoteExpress
×
提示
您的信息不完整,为了账户安全,请先补充。
现在去补充
×
提示
您因"违规操作"
具体请查看互助需知
我知道了
×
提示
确定
请完成安全验证×
copy
已复制链接
快去分享给好友吧!
我知道了
右上角分享
点击右上角分享
0
联系我们:info@booksci.cn Book学术提供免费学术资源搜索服务,方便国内外学者检索中英文文献。致力于提供最便捷和优质的服务体验。 Copyright © 2023 布克学术 All rights reserved.
京ICP备2023020795号-1
ghs 京公网安备 11010802042870号
Book学术文献互助
Book学术文献互助群
群 号:604180095
Book学术官方微信