与单倍体造血干细胞移植后单用环磷酰胺相比,移植后单用环磷酰胺联合抗胸腺细胞球蛋白可降低血清IL-6水平。

IF 2.8 Q2 HEMATOLOGY
Jeong Suk Koh, Myung-Won Lee, Thi Thuy Duong Pham, Bu Yeon Heo, Suyoung Choi, Sang-Woo Lee, Wonhyoung Seo, Sora Kang, Seul Bi Lee, Chul Hee Kim, Hyewon Ryu, Hyuk Soo Eun, Hyo-Jin Lee, Hwan-Jung Yun, Deog-Yeon Jo, Ik-Chan Song
{"title":"与单倍体造血干细胞移植后单用环磷酰胺相比,移植后单用环磷酰胺联合抗胸腺细胞球蛋白可降低血清IL-6水平。","authors":"Jeong Suk Koh, Myung-Won Lee, Thi Thuy Duong Pham, Bu Yeon Heo, Suyoung Choi, Sang-Woo Lee, Wonhyoung Seo, Sora Kang, Seul Bi Lee, Chul Hee Kim, Hyewon Ryu, Hyuk Soo Eun, Hyo-Jin Lee, Hwan-Jung Yun, Deog-Yeon Jo, Ik-Chan Song","doi":"10.1007/s44313-024-00049-z","DOIUrl":null,"url":null,"abstract":"<p><strong>Background: </strong>Post-transplantation cyclophosphamide (PTCy) and anti-thymocyte globulin (ATG) are common prophylactic strategies for graft-versus-host disease (GVHD) after haploidentical hematopoietic stem cell transplantation (haplo-HSCT). Interleukin (IL)-6 is a surrogate marker for cytokine release syndrome (CRS) and acute GVHD.</p><p><strong>Method: </strong>The clinical outcomes and complications of haplo-HSCT with PTCy plus ATG versus PTCy monotherapy were compared according to serum IL-6 levels at Chungnam National University Hospital (Daejeon, South Korea) from January 2019 to February 2023.</p><p><strong>Results: </strong>Forty patients who underwent haplo-HSCT were analyzed. A significant difference in IL-6 levels was observed between the PTCy plus ATG and PTCy alone groups (7.47 ± 10.55 vs. 117.65 ± 127.67; p = 0.003). More patients in the PTCy plus ATG group had a CRS grade of 0 than in the PTCy alone group (p < 0.001). Serum IL-6 levels were associated with grades II-IV acute GVHD (r = 0.547, p < 0.001). The cumulative incidence (CI) of grades II-IV acute GVHD was significantly higher in the PTCy alone group (67.9% vs. 4.8%; p < 0.001). No significant difference in the CI for chronic GVHD was detected between the PTCy plus ATG and PTCy alone groups (72.1% vs. 82.0%; p = 0.730). The CI of 1-year non-relapse mortality was significantly higher in the PTCy alone group than in the PTCy plus ATG group (42.2% vs. 15.9%; p = 0.022). The 1-year overall survival (OS) was significantly better in the PTCy plus ATG group (75.9% vs. 35.3%; p = 0.011). The 1-year GVHD-free, relapse-free survival rate was 29.4% in the PTCy alone group and 54.0% in the PTCy plus ATG group (p = 0.038).</p><p><strong>Conclusion: </strong>Serum IL-6 levels were higher in the PTCy alone group than in the PTCy plus ATG group. The addition of ATG before stem cell infusion affected IL-6 levels and reduced the incidences of CRS and grade II-IV acute GVHD in haplo-HSCT patients. This study suggests that PTCy plus ATG as GVHD prophylaxis in haplo-HSCT is beneficial in terms of clinical outcomes and complications of HSCT.</p>","PeriodicalId":46224,"journal":{"name":"Blood Research","volume":"60 1","pages":"5"},"PeriodicalIF":2.8000,"publicationDate":"2025-01-15","publicationTypes":"Journal Article","fieldsOfStudy":null,"isOpenAccess":false,"openAccessPdf":"https://www.ncbi.nlm.nih.gov/pmc/articles/PMC11735700/pdf/","citationCount":"0","resultStr":"{\"title\":\"Post-transplant cyclophosphamide plus anti-thymocyte globulin decreased serum IL-6 levels when compared with post-transplant cyclophosphamide alone after haploidentical hematopoietic stem cell transplantation.\",\"authors\":\"Jeong Suk Koh, Myung-Won Lee, Thi Thuy Duong Pham, Bu Yeon Heo, Suyoung Choi, Sang-Woo Lee, Wonhyoung Seo, Sora Kang, Seul Bi Lee, Chul Hee Kim, Hyewon Ryu, Hyuk Soo Eun, Hyo-Jin Lee, Hwan-Jung Yun, Deog-Yeon Jo, Ik-Chan Song\",\"doi\":\"10.1007/s44313-024-00049-z\",\"DOIUrl\":null,\"url\":null,\"abstract\":\"<p><strong>Background: </strong>Post-transplantation cyclophosphamide (PTCy) and anti-thymocyte globulin (ATG) are common prophylactic strategies for graft-versus-host disease (GVHD) after haploidentical hematopoietic stem cell transplantation (haplo-HSCT). Interleukin (IL)-6 is a surrogate marker for cytokine release syndrome (CRS) and acute GVHD.</p><p><strong>Method: </strong>The clinical outcomes and complications of haplo-HSCT with PTCy plus ATG versus PTCy monotherapy were compared according to serum IL-6 levels at Chungnam National University Hospital (Daejeon, South Korea) from January 2019 to February 2023.</p><p><strong>Results: </strong>Forty patients who underwent haplo-HSCT were analyzed. A significant difference in IL-6 levels was observed between the PTCy plus ATG and PTCy alone groups (7.47 ± 10.55 vs. 117.65 ± 127.67; p = 0.003). More patients in the PTCy plus ATG group had a CRS grade of 0 than in the PTCy alone group (p < 0.001). Serum IL-6 levels were associated with grades II-IV acute GVHD (r = 0.547, p < 0.001). The cumulative incidence (CI) of grades II-IV acute GVHD was significantly higher in the PTCy alone group (67.9% vs. 4.8%; p < 0.001). No significant difference in the CI for chronic GVHD was detected between the PTCy plus ATG and PTCy alone groups (72.1% vs. 82.0%; p = 0.730). The CI of 1-year non-relapse mortality was significantly higher in the PTCy alone group than in the PTCy plus ATG group (42.2% vs. 15.9%; p = 0.022). The 1-year overall survival (OS) was significantly better in the PTCy plus ATG group (75.9% vs. 35.3%; p = 0.011). The 1-year GVHD-free, relapse-free survival rate was 29.4% in the PTCy alone group and 54.0% in the PTCy plus ATG group (p = 0.038).</p><p><strong>Conclusion: </strong>Serum IL-6 levels were higher in the PTCy alone group than in the PTCy plus ATG group. The addition of ATG before stem cell infusion affected IL-6 levels and reduced the incidences of CRS and grade II-IV acute GVHD in haplo-HSCT patients. This study suggests that PTCy plus ATG as GVHD prophylaxis in haplo-HSCT is beneficial in terms of clinical outcomes and complications of HSCT.</p>\",\"PeriodicalId\":46224,\"journal\":{\"name\":\"Blood Research\",\"volume\":\"60 1\",\"pages\":\"5\"},\"PeriodicalIF\":2.8000,\"publicationDate\":\"2025-01-15\",\"publicationTypes\":\"Journal Article\",\"fieldsOfStudy\":null,\"isOpenAccess\":false,\"openAccessPdf\":\"https://www.ncbi.nlm.nih.gov/pmc/articles/PMC11735700/pdf/\",\"citationCount\":\"0\",\"resultStr\":null,\"platform\":\"Semanticscholar\",\"paperid\":null,\"PeriodicalName\":\"Blood Research\",\"FirstCategoryId\":\"1085\",\"ListUrlMain\":\"https://doi.org/10.1007/s44313-024-00049-z\",\"RegionNum\":0,\"RegionCategory\":null,\"ArticlePicture\":[],\"TitleCN\":null,\"AbstractTextCN\":null,\"PMCID\":null,\"EPubDate\":\"\",\"PubModel\":\"\",\"JCR\":\"Q2\",\"JCRName\":\"HEMATOLOGY\",\"Score\":null,\"Total\":0}","platform":"Semanticscholar","paperid":null,"PeriodicalName":"Blood Research","FirstCategoryId":"1085","ListUrlMain":"https://doi.org/10.1007/s44313-024-00049-z","RegionNum":0,"RegionCategory":null,"ArticlePicture":[],"TitleCN":null,"AbstractTextCN":null,"PMCID":null,"EPubDate":"","PubModel":"","JCR":"Q2","JCRName":"HEMATOLOGY","Score":null,"Total":0}
引用次数: 0

摘要

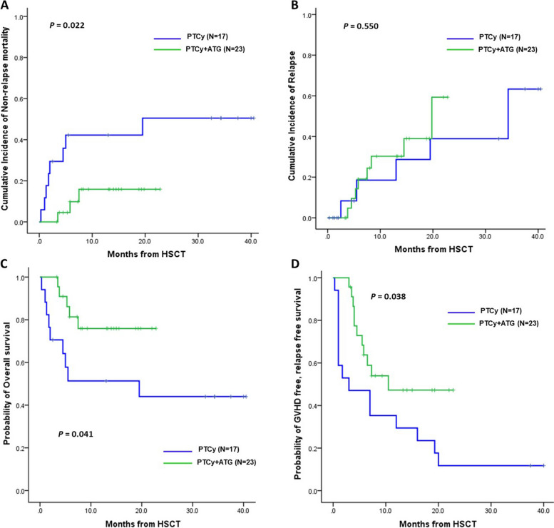
背景:移植后环磷酰胺(PTCy)和抗胸腺细胞球蛋白(ATG)是预防单倍体造血干细胞移植(haploo - hsct)后移植物抗宿主病(GVHD)的常用策略。白细胞介素(IL)-6是细胞因子释放综合征(CRS)和急性GVHD的替代标志物。方法:根据2019年1月至2023年2月韩国大田忠南国立大学医院血清IL-6水平,比较PTCy + ATG单倍hsct与PTCy单倍hsct的临床结局和并发症。结果:我们分析了40例接受单倍造血干细胞移植的患者。IL-6水平在PTCy + ATG组和PTCy单独组之间存在显著差异(7.47±10.55 vs. 117.65±127.67;p = 0.003)。结论:PTCy联合ATG组患者血清IL-6水平高于PTCy联合ATG组。干细胞输注前添加ATG可影响IL-6水平,降低单倍造血干细胞移植患者CRS和II-IV级急性GVHD的发生率。本研究表明,PTCy + ATG作为单倍HSCT的GVHD预防在临床结果和HSCT并发症方面是有益的。
本文章由计算机程序翻译,如有差异,请以英文原文为准。

Post-transplant cyclophosphamide plus anti-thymocyte globulin decreased serum IL-6 levels when compared with post-transplant cyclophosphamide alone after haploidentical hematopoietic stem cell transplantation.

Post-transplant cyclophosphamide plus anti-thymocyte globulin decreased serum IL-6 levels when compared with post-transplant cyclophosphamide alone after haploidentical hematopoietic stem cell transplantation.

Post-transplant cyclophosphamide plus anti-thymocyte globulin decreased serum IL-6 levels when compared with post-transplant cyclophosphamide alone after haploidentical hematopoietic stem cell transplantation.

Post-transplant cyclophosphamide plus anti-thymocyte globulin decreased serum IL-6 levels when compared with post-transplant cyclophosphamide alone after haploidentical hematopoietic stem cell transplantation.

Background: Post-transplantation cyclophosphamide (PTCy) and anti-thymocyte globulin (ATG) are common prophylactic strategies for graft-versus-host disease (GVHD) after haploidentical hematopoietic stem cell transplantation (haplo-HSCT). Interleukin (IL)-6 is a surrogate marker for cytokine release syndrome (CRS) and acute GVHD.

Method: The clinical outcomes and complications of haplo-HSCT with PTCy plus ATG versus PTCy monotherapy were compared according to serum IL-6 levels at Chungnam National University Hospital (Daejeon, South Korea) from January 2019 to February 2023.

Results: Forty patients who underwent haplo-HSCT were analyzed. A significant difference in IL-6 levels was observed between the PTCy plus ATG and PTCy alone groups (7.47 ± 10.55 vs. 117.65 ± 127.67; p = 0.003). More patients in the PTCy plus ATG group had a CRS grade of 0 than in the PTCy alone group (p < 0.001). Serum IL-6 levels were associated with grades II-IV acute GVHD (r = 0.547, p < 0.001). The cumulative incidence (CI) of grades II-IV acute GVHD was significantly higher in the PTCy alone group (67.9% vs. 4.8%; p < 0.001). No significant difference in the CI for chronic GVHD was detected between the PTCy plus ATG and PTCy alone groups (72.1% vs. 82.0%; p = 0.730). The CI of 1-year non-relapse mortality was significantly higher in the PTCy alone group than in the PTCy plus ATG group (42.2% vs. 15.9%; p = 0.022). The 1-year overall survival (OS) was significantly better in the PTCy plus ATG group (75.9% vs. 35.3%; p = 0.011). The 1-year GVHD-free, relapse-free survival rate was 29.4% in the PTCy alone group and 54.0% in the PTCy plus ATG group (p = 0.038).

Conclusion: Serum IL-6 levels were higher in the PTCy alone group than in the PTCy plus ATG group. The addition of ATG before stem cell infusion affected IL-6 levels and reduced the incidences of CRS and grade II-IV acute GVHD in haplo-HSCT patients. This study suggests that PTCy plus ATG as GVHD prophylaxis in haplo-HSCT is beneficial in terms of clinical outcomes and complications of HSCT.

求助全文
通过发布文献求助,成功后即可免费获取论文全文。 去求助
来源期刊
Blood Research
Blood Research HEMATOLOGY-
CiteScore
3.70
自引率
0.00%
发文量
64
×
引用
GB/T 7714-2015
复制
MLA
复制
APA
复制
导出至
BibTeX EndNote RefMan NoteFirst NoteExpress
×
提示
您的信息不完整,为了账户安全,请先补充。
现在去补充
×
提示
您因"违规操作"
具体请查看互助需知
我知道了
×
提示
确定
请完成安全验证×
copy
已复制链接
快去分享给好友吧!
我知道了
右上角分享
点击右上角分享
0
联系我们:info@booksci.cn Book学术提供免费学术资源搜索服务,方便国内外学者检索中英文文献。致力于提供最便捷和优质的服务体验。 Copyright © 2023 布克学术 All rights reserved.
京ICP备2023020795号-1
ghs 京公网安备 11010802042870号
Book学术文献互助
Book学术文献互助群
群 号:604180095
Book学术官方微信