通过大机械应变降低单层二硫化钼的热导率,实现有效的热管理。

IF 3.9 2区 综合性期刊 Q1 MULTIDISCIPLINARY SCIENCES
Jun Liu, Mengqi Fang, Eui-Hyeok Yang, Xian Zhang
{"title":"通过大机械应变降低单层二硫化钼的热导率,实现有效的热管理。","authors":"Jun Liu, Mengqi Fang, Eui-Hyeok Yang, Xian Zhang","doi":"10.1038/s41598-024-85060-1","DOIUrl":null,"url":null,"abstract":"<p><p>Two-dimensional (2D) materials such as graphene and transition metal dichalcogenides (TMDC) have received extensive research interests and investigations in the past decade. In this research, we report the first experimental measurement of the in-plane thermal conductivity of MoS<sub>2</sub> monolayer under a large mechanical strain using optothermal Raman technique. This measurement technique is direct without additional processing to the material, and MoS<sub>2</sub>'s absorption coefficient is discovered during the measurement process to further increase this technique's precision. Tunable uniaxial tensile strains are applied on the MoS<sub>2</sub> monolayer by stretching a flexible substrate it sits on. Experimental results demonstrate that, the thermal conductivity is substantially suppressed by tensile strains: under the tensile strain of 6.3%, the thermal conductivity of the MoS<sub>2</sub> monolayer drops approximately by 62%. A serious of thermal transport properties at a group of mechanical strains are also reported, presenting a strain-dependent trend. It is the first and original study of 2D materials' thermal transport properties under a large mechanical strain (> 1%), and provides important information that the thermal transport of MoS<sub>2</sub> will significantly decrease at a large mechanical strain. This finding provides the key information for flexible and wearable electronics thermal management and designs.</p>","PeriodicalId":21811,"journal":{"name":"Scientific Reports","volume":"15 1","pages":"1976"},"PeriodicalIF":3.9000,"publicationDate":"2025-01-15","publicationTypes":"Journal Article","fieldsOfStudy":null,"isOpenAccess":false,"openAccessPdf":"https://www.ncbi.nlm.nih.gov/pmc/articles/PMC11733124/pdf/","citationCount":"0","resultStr":"{\"title\":\"Reduction in thermal conductivity of monolayer MoS<sub>2</sub> by large mechanical strains for efficient thermal management.\",\"authors\":\"Jun Liu, Mengqi Fang, Eui-Hyeok Yang, Xian Zhang\",\"doi\":\"10.1038/s41598-024-85060-1\",\"DOIUrl\":null,\"url\":null,\"abstract\":\"<p><p>Two-dimensional (2D) materials such as graphene and transition metal dichalcogenides (TMDC) have received extensive research interests and investigations in the past decade. In this research, we report the first experimental measurement of the in-plane thermal conductivity of MoS<sub>2</sub> monolayer under a large mechanical strain using optothermal Raman technique. This measurement technique is direct without additional processing to the material, and MoS<sub>2</sub>'s absorption coefficient is discovered during the measurement process to further increase this technique's precision. Tunable uniaxial tensile strains are applied on the MoS<sub>2</sub> monolayer by stretching a flexible substrate it sits on. Experimental results demonstrate that, the thermal conductivity is substantially suppressed by tensile strains: under the tensile strain of 6.3%, the thermal conductivity of the MoS<sub>2</sub> monolayer drops approximately by 62%. A serious of thermal transport properties at a group of mechanical strains are also reported, presenting a strain-dependent trend. It is the first and original study of 2D materials' thermal transport properties under a large mechanical strain (> 1%), and provides important information that the thermal transport of MoS<sub>2</sub> will significantly decrease at a large mechanical strain. This finding provides the key information for flexible and wearable electronics thermal management and designs.</p>\",\"PeriodicalId\":21811,\"journal\":{\"name\":\"Scientific Reports\",\"volume\":\"15 1\",\"pages\":\"1976\"},\"PeriodicalIF\":3.9000,\"publicationDate\":\"2025-01-15\",\"publicationTypes\":\"Journal Article\",\"fieldsOfStudy\":null,\"isOpenAccess\":false,\"openAccessPdf\":\"https://www.ncbi.nlm.nih.gov/pmc/articles/PMC11733124/pdf/\",\"citationCount\":\"0\",\"resultStr\":null,\"platform\":\"Semanticscholar\",\"paperid\":null,\"PeriodicalName\":\"Scientific Reports\",\"FirstCategoryId\":\"103\",\"ListUrlMain\":\"https://doi.org/10.1038/s41598-024-85060-1\",\"RegionNum\":2,\"RegionCategory\":\"综合性期刊\",\"ArticlePicture\":[],\"TitleCN\":null,\"AbstractTextCN\":null,\"PMCID\":null,\"EPubDate\":\"\",\"PubModel\":\"\",\"JCR\":\"Q1\",\"JCRName\":\"MULTIDISCIPLINARY SCIENCES\",\"Score\":null,\"Total\":0}","platform":"Semanticscholar","paperid":null,"PeriodicalName":"Scientific Reports","FirstCategoryId":"103","ListUrlMain":"https://doi.org/10.1038/s41598-024-85060-1","RegionNum":2,"RegionCategory":"综合性期刊","ArticlePicture":[],"TitleCN":null,"AbstractTextCN":null,"PMCID":null,"EPubDate":"","PubModel":"","JCR":"Q1","JCRName":"MULTIDISCIPLINARY SCIENCES","Score":null,"Total":0}
引用次数: 0

摘要

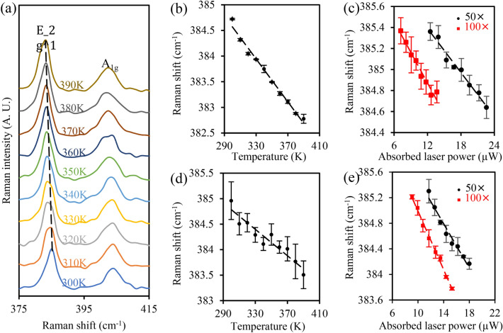
在过去的十年中,二维(2D)材料如石墨烯和过渡金属二硫族化合物(TMDC)得到了广泛的研究兴趣和研究。在本研究中,我们首次利用光热拉曼技术测量了MoS2单层在大机械应变下的面内热导率。该测量技术直接测量,无需对材料进行额外处理,并且在测量过程中发现了MoS2的吸收系数,进一步提高了该技术的精度。通过拉伸其所在的柔性衬底,将可调谐的单轴拉伸应变应用于二硫化钼单层。实验结果表明,拉伸应变对MoS2单层的导热系数有明显的抑制作用,在拉伸应变为6.3%时,MoS2单层的导热系数下降了约62%。在一组机械应变下的一系列热输运性质也被报道,呈现出应变依赖的趋势。这是第一次也是第一次研究大机械应变下二维材料的热输运特性,并提供了MoS2在大机械应变下热输运会显著降低的重要信息。这一发现为柔性和可穿戴电子热管理和设计提供了关键信息。
本文章由计算机程序翻译,如有差异,请以英文原文为准。

Reduction in thermal conductivity of monolayer MoS<sub>2</sub> by large mechanical strains for efficient thermal management.

Reduction in thermal conductivity of monolayer MoS<sub>2</sub> by large mechanical strains for efficient thermal management.

Reduction in thermal conductivity of monolayer MoS<sub>2</sub> by large mechanical strains for efficient thermal management.

Reduction in thermal conductivity of monolayer MoS2 by large mechanical strains for efficient thermal management.

Two-dimensional (2D) materials such as graphene and transition metal dichalcogenides (TMDC) have received extensive research interests and investigations in the past decade. In this research, we report the first experimental measurement of the in-plane thermal conductivity of MoS2 monolayer under a large mechanical strain using optothermal Raman technique. This measurement technique is direct without additional processing to the material, and MoS2's absorption coefficient is discovered during the measurement process to further increase this technique's precision. Tunable uniaxial tensile strains are applied on the MoS2 monolayer by stretching a flexible substrate it sits on. Experimental results demonstrate that, the thermal conductivity is substantially suppressed by tensile strains: under the tensile strain of 6.3%, the thermal conductivity of the MoS2 monolayer drops approximately by 62%. A serious of thermal transport properties at a group of mechanical strains are also reported, presenting a strain-dependent trend. It is the first and original study of 2D materials' thermal transport properties under a large mechanical strain (> 1%), and provides important information that the thermal transport of MoS2 will significantly decrease at a large mechanical strain. This finding provides the key information for flexible and wearable electronics thermal management and designs.

求助全文
通过发布文献求助,成功后即可免费获取论文全文。 去求助
来源期刊
Scientific Reports
Scientific Reports Natural Science Disciplines-
CiteScore
7.50
自引率
4.30%
发文量
19567
审稿时长
3.9 months
期刊介绍: We publish original research from all areas of the natural sciences, psychology, medicine and engineering. You can learn more about what we publish by browsing our specific scientific subject areas below or explore Scientific Reports by browsing all articles and collections. Scientific Reports has a 2-year impact factor: 4.380 (2021), and is the 6th most-cited journal in the world, with more than 540,000 citations in 2020 (Clarivate Analytics, 2021). •Engineering Engineering covers all aspects of engineering, technology, and applied science. It plays a crucial role in the development of technologies to address some of the world''s biggest challenges, helping to save lives and improve the way we live. •Physical sciences Physical sciences are those academic disciplines that aim to uncover the underlying laws of nature — often written in the language of mathematics. It is a collective term for areas of study including astronomy, chemistry, materials science and physics. •Earth and environmental sciences Earth and environmental sciences cover all aspects of Earth and planetary science and broadly encompass solid Earth processes, surface and atmospheric dynamics, Earth system history, climate and climate change, marine and freshwater systems, and ecology. It also considers the interactions between humans and these systems. •Biological sciences Biological sciences encompass all the divisions of natural sciences examining various aspects of vital processes. The concept includes anatomy, physiology, cell biology, biochemistry and biophysics, and covers all organisms from microorganisms, animals to plants. •Health sciences The health sciences study health, disease and healthcare. This field of study aims to develop knowledge, interventions and technology for use in healthcare to improve the treatment of patients.
×
引用
GB/T 7714-2015
复制
MLA
复制
APA
复制
导出至
BibTeX EndNote RefMan NoteFirst NoteExpress
×
提示
您的信息不完整,为了账户安全,请先补充。
现在去补充
×
提示
您因"违规操作"
具体请查看互助需知
我知道了
×
提示
确定
请完成安全验证×
copy
已复制链接
快去分享给好友吧!
我知道了
右上角分享
点击右上角分享
0
联系我们:info@booksci.cn Book学术提供免费学术资源搜索服务,方便国内外学者检索中英文文献。致力于提供最便捷和优质的服务体验。 Copyright © 2023 布克学术 All rights reserved.
京ICP备2023020795号-1
ghs 京公网安备 11010802042870号
Book学术文献互助
Book学术文献互助群
群 号:604180095
Book学术官方微信