妊娠期糖尿病与心理健康:GEMS随机试验数据的纵向分析

IF 2.7 3区 医学 Q2 PSYCHIATRY
Phyllis Ohene-Agyei, Greg D. Gamble, Thach Tran, Jane E. Harding, Caroline A. Crowther
{"title":"妊娠期糖尿病与心理健康:GEMS随机试验数据的纵向分析","authors":"Phyllis Ohene-Agyei,&nbsp;Greg D. Gamble,&nbsp;Thach Tran,&nbsp;Jane E. Harding,&nbsp;Caroline A. Crowther","doi":"10.1007/s00737-024-01551-0","DOIUrl":null,"url":null,"abstract":"<div><h3>Purpose</h3><p>There is limited high-quality evidence about perinatal mental health among women with gestational diabetes. We aimed to assess the risks and longitudinal changes in anxiety, depression, and health-related quality of life comparing women with gestational diabetes and those without among a contemporary cohort of pregnant women.</p><h3>Methods</h3><p>Prospective cohort study of participants in the GEMS Trial. Women with a singleton pregnancy were eligible if they had a 75-g diagnostic oral glucose-tolerance test between 24 and 32 weeks’ gestation, provided written informed consent, and completed questionnaires about anxiety, depression, and health-related quality of life at the study time points.</p><h3>Results</h3><p>There were no differences in risk for anxiety (RR 1.13, 95% CI 0.86, 1.49; <i>p</i> = 0.39) or depression (RR 1.08, 95% CI 0.78, 1.50; <i>p</i> = 0.64) between the two groups at 36 weeks’ gestation or 6 months postpartum [anxiety: (RR 1.21, 95% CI 0.90, 1.63; <i>p</i> = 0.21); depression: (RR 0.84, 95% CI 0.55, 1.28; <i>p</i> = 0.43]. However, at 36 weeks’ gestation participants with gestational diabetes reported better physical functioning, and at 6 months postpartum, better mental functioning (mean difference (MD) in scores 1.28, 95% CI 0.25, 2.30; <i>p</i> = 0.01) although worse physical functioning (MD -2.99, 95% CI -3.90, -2.07; p = &lt; 0.001) compared to participants without.</p><h3>Conclusion</h3><p>The risk for poor mental health during the perinatal period does not differ importantly among women diagnosed and treated for gestational diabetes compared to the general pregnant population.</p></div>","PeriodicalId":8369,"journal":{"name":"Archives of Women's Mental Health","volume":"28 4","pages":"819 - 830"},"PeriodicalIF":2.7000,"publicationDate":"2025-01-15","publicationTypes":"Journal Article","fieldsOfStudy":null,"isOpenAccess":false,"openAccessPdf":"https://www.ncbi.nlm.nih.gov/pmc/articles/PMC12283774/pdf/","citationCount":"0","resultStr":"{\"title\":\"Gestational diabetes and mental health: longitudinal analysis of data from the GEMS randomized trial\",\"authors\":\"Phyllis Ohene-Agyei,&nbsp;Greg D. Gamble,&nbsp;Thach Tran,&nbsp;Jane E. Harding,&nbsp;Caroline A. Crowther\",\"doi\":\"10.1007/s00737-024-01551-0\",\"DOIUrl\":null,\"url\":null,\"abstract\":\"<div><h3>Purpose</h3><p>There is limited high-quality evidence about perinatal mental health among women with gestational diabetes. We aimed to assess the risks and longitudinal changes in anxiety, depression, and health-related quality of life comparing women with gestational diabetes and those without among a contemporary cohort of pregnant women.</p><h3>Methods</h3><p>Prospective cohort study of participants in the GEMS Trial. Women with a singleton pregnancy were eligible if they had a 75-g diagnostic oral glucose-tolerance test between 24 and 32 weeks’ gestation, provided written informed consent, and completed questionnaires about anxiety, depression, and health-related quality of life at the study time points.</p><h3>Results</h3><p>There were no differences in risk for anxiety (RR 1.13, 95% CI 0.86, 1.49; <i>p</i> = 0.39) or depression (RR 1.08, 95% CI 0.78, 1.50; <i>p</i> = 0.64) between the two groups at 36 weeks’ gestation or 6 months postpartum [anxiety: (RR 1.21, 95% CI 0.90, 1.63; <i>p</i> = 0.21); depression: (RR 0.84, 95% CI 0.55, 1.28; <i>p</i> = 0.43]. However, at 36 weeks’ gestation participants with gestational diabetes reported better physical functioning, and at 6 months postpartum, better mental functioning (mean difference (MD) in scores 1.28, 95% CI 0.25, 2.30; <i>p</i> = 0.01) although worse physical functioning (MD -2.99, 95% CI -3.90, -2.07; p = &lt; 0.001) compared to participants without.</p><h3>Conclusion</h3><p>The risk for poor mental health during the perinatal period does not differ importantly among women diagnosed and treated for gestational diabetes compared to the general pregnant population.</p></div>\",\"PeriodicalId\":8369,\"journal\":{\"name\":\"Archives of Women's Mental Health\",\"volume\":\"28 4\",\"pages\":\"819 - 830\"},\"PeriodicalIF\":2.7000,\"publicationDate\":\"2025-01-15\",\"publicationTypes\":\"Journal Article\",\"fieldsOfStudy\":null,\"isOpenAccess\":false,\"openAccessPdf\":\"https://www.ncbi.nlm.nih.gov/pmc/articles/PMC12283774/pdf/\",\"citationCount\":\"0\",\"resultStr\":null,\"platform\":\"Semanticscholar\",\"paperid\":null,\"PeriodicalName\":\"Archives of Women's Mental Health\",\"FirstCategoryId\":\"3\",\"ListUrlMain\":\"https://link.springer.com/article/10.1007/s00737-024-01551-0\",\"RegionNum\":3,\"RegionCategory\":\"医学\",\"ArticlePicture\":[],\"TitleCN\":null,\"AbstractTextCN\":null,\"PMCID\":null,\"EPubDate\":\"\",\"PubModel\":\"\",\"JCR\":\"Q2\",\"JCRName\":\"PSYCHIATRY\",\"Score\":null,\"Total\":0}","platform":"Semanticscholar","paperid":null,"PeriodicalName":"Archives of Women's Mental Health","FirstCategoryId":"3","ListUrlMain":"https://link.springer.com/article/10.1007/s00737-024-01551-0","RegionNum":3,"RegionCategory":"医学","ArticlePicture":[],"TitleCN":null,"AbstractTextCN":null,"PMCID":null,"EPubDate":"","PubModel":"","JCR":"Q2","JCRName":"PSYCHIATRY","Score":null,"Total":0}
引用次数: 0

摘要

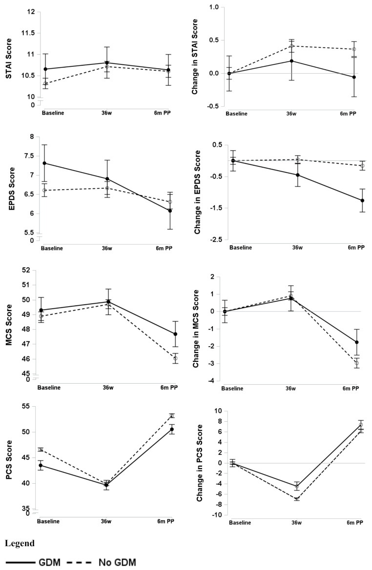
目的:关于妊娠糖尿病妇女围产期心理健康的高质量证据有限。我们的目的是评估在当代孕妇队列中,比较妊娠期糖尿病妇女和无妊娠糖尿病妇女在焦虑、抑郁和健康相关生活质量方面的风险和纵向变化。方法:对GEMS试验参与者进行前瞻性队列研究。单胎妊娠妇女如果在妊娠24至32周期间进行75克诊断性口服葡萄糖耐量试验,提供书面知情同意,并在研究时间点完成关于焦虑、抑郁和健康相关生活质量的问卷调查,则符合条件。结果:两组患者焦虑风险无差异(RR 1.13, 95% CI 0.86, 1.49;p = 0.39)或抑郁(RR 1.08, 95% CI 0.78, 1.50;p = 0.64),两组在妊娠36周或产后6个月的焦虑差异(RR 1.21, 95% CI 0.90, 1.63;p = 0.21);抑郁:(RR 0.84, 95% CI 0.55, 1.28;p = 0.43]。然而,在妊娠36周时,患有妊娠糖尿病的参与者报告了更好的身体功能,在产后6个月时,报告了更好的心理功能(平均差异(MD)评分1.28,95% CI 0.25, 2.30;p = 0.01),但身体功能较差(MD -2.99, 95% CI -3.90, -2.07;p =结论:在诊断和治疗过妊娠糖尿病的妇女中,围产期心理健康状况不佳的风险与一般妊娠人群相比没有显著差异。
本文章由计算机程序翻译,如有差异,请以英文原文为准。

Gestational diabetes and mental health: longitudinal analysis of data from the GEMS randomized trial

Gestational diabetes and mental health: longitudinal analysis of data from the GEMS randomized trial

Purpose

There is limited high-quality evidence about perinatal mental health among women with gestational diabetes. We aimed to assess the risks and longitudinal changes in anxiety, depression, and health-related quality of life comparing women with gestational diabetes and those without among a contemporary cohort of pregnant women.

Methods

Prospective cohort study of participants in the GEMS Trial. Women with a singleton pregnancy were eligible if they had a 75-g diagnostic oral glucose-tolerance test between 24 and 32 weeks’ gestation, provided written informed consent, and completed questionnaires about anxiety, depression, and health-related quality of life at the study time points.

Results

There were no differences in risk for anxiety (RR 1.13, 95% CI 0.86, 1.49; p = 0.39) or depression (RR 1.08, 95% CI 0.78, 1.50; p = 0.64) between the two groups at 36 weeks’ gestation or 6 months postpartum [anxiety: (RR 1.21, 95% CI 0.90, 1.63; p = 0.21); depression: (RR 0.84, 95% CI 0.55, 1.28; p = 0.43]. However, at 36 weeks’ gestation participants with gestational diabetes reported better physical functioning, and at 6 months postpartum, better mental functioning (mean difference (MD) in scores 1.28, 95% CI 0.25, 2.30; p = 0.01) although worse physical functioning (MD -2.99, 95% CI -3.90, -2.07; p = < 0.001) compared to participants without.

Conclusion

The risk for poor mental health during the perinatal period does not differ importantly among women diagnosed and treated for gestational diabetes compared to the general pregnant population.

求助全文
通过发布文献求助,成功后即可免费获取论文全文。 去求助
来源期刊
Archives of Women's Mental Health
Archives of Women's Mental Health 医学-精神病学
CiteScore
8.00
自引率
4.40%
发文量
83
审稿时长
6-12 weeks
期刊介绍: Archives of Women’s Mental Health is the official journal of the International Association for Women''s Mental Health, Marcé Society and the North American Society for Psychosocial Obstetrics and Gynecology (NASPOG). The exchange of knowledge between psychiatrists and obstetrician-gynecologists is one of the major aims of the journal. Its international scope includes psychodynamics, social and biological aspects of all psychiatric and psychosomatic disorders in women. The editors especially welcome interdisciplinary studies, focussing on the interface between psychiatry, psychosomatics, obstetrics and gynecology. Archives of Women’s Mental Health publishes rigorously reviewed research papers, short communications, case reports, review articles, invited editorials, historical perspectives, book reviews, letters to the editor, as well as conference abstracts. Only contributions written in English will be accepted. The journal assists clinicians, teachers and researchers to incorporate knowledge of all aspects of women’s mental health into current and future clinical care and research.
×
引用
GB/T 7714-2015
复制
MLA
复制
APA
复制
导出至
BibTeX EndNote RefMan NoteFirst NoteExpress
×
提示
您的信息不完整,为了账户安全,请先补充。
现在去补充
×
提示
您因"违规操作"
具体请查看互助需知
我知道了
×
提示
确定
请完成安全验证×
copy
已复制链接
快去分享给好友吧!
我知道了
右上角分享
点击右上角分享
0
联系我们:info@booksci.cn Book学术提供免费学术资源搜索服务,方便国内外学者检索中英文文献。致力于提供最便捷和优质的服务体验。 Copyright © 2023 布克学术 All rights reserved.
京ICP备2023020795号-1
ghs 京公网安备 11010802042870号
Book学术文献互助
Book学术文献互助群
群 号:604180095
Book学术官方微信