nafld相关snp对颈动脉粥样硬化发展的影响一项为期五年的前瞻性观察研究。

IF 2.1 Q3 PERIPHERAL VASCULAR DISEASE
Hiroaki Ikezaki , Ryoko Nakashima , Yuji Matsumoto , Azusa Ohta , Sho Yamasaki , Satoshi Hiramine , Koji Takayama , Eiichi Ogawa , Masayuki Murata , Norihiro Furusyo , Jun Hayashi , Nobuyuki Shimono , Ernst J. Schaefer
{"title":"nafld相关snp对颈动脉粥样硬化发展的影响一项为期五年的前瞻性观察研究。","authors":"Hiroaki Ikezaki ,&nbsp;Ryoko Nakashima ,&nbsp;Yuji Matsumoto ,&nbsp;Azusa Ohta ,&nbsp;Sho Yamasaki ,&nbsp;Satoshi Hiramine ,&nbsp;Koji Takayama ,&nbsp;Eiichi Ogawa ,&nbsp;Masayuki Murata ,&nbsp;Norihiro Furusyo ,&nbsp;Jun Hayashi ,&nbsp;Nobuyuki Shimono ,&nbsp;Ernst J. Schaefer","doi":"10.1016/j.athplu.2024.12.003","DOIUrl":null,"url":null,"abstract":"<div><h3>Background and aims</h3><div>The prevalence of metabolic dysfunction associated steatotic liver disease (MASLD), formerly known as nonalcoholic fatty liver disease (NAFLD), has become a significant public health concern with an increased atherosclerotic cardiovascular disease risk. This study investigates the impact of NAFLD-related single nucleotide polymorphisms (SNPs) on carotid atherosclerosis development in a Japanese population without diabetes, dyslipidemia, and hypertension.</div></div><div><h3>Methods</h3><div>The prospective observational study, part of the Kyushu and Okinawa Population Study (KOPS), included 945 participants (median age 55 [47, 63]) without carotid atherosclerosis, increased alcohol intake, diabetes, dyslipidemia, hypertension, or chronic hepatitis at baseline. NAFLD-related SNPs (<em>GCKR</em>, <em>NCAN</em>, <em>and PNPLA3</em>) were genotyped, and carotid intima-media thickness (cIMT) was measured using ultrasonography. Univariate and multivariate regression analyses were performed to assess the association of NAFLD-related SNPs on newly developed carotid atherosclerosis over five years.</div></div><div><h3>Results</h3><div>After five years, 125 (13.2 %) participants developed carotid atherosclerosis. The <em>NCAN</em> (rs2228603) T allele was associated with a lower incidence rate of carotid atherosclerosis (4.7 % in <em>NCAN</em> CT/TT genotype vs. 13.9 % in CC genotype; p = 0.04), and <em>NCAN</em> T allele carriers exhibited a favorable lipid profile. These associations were not altered by either recruiting area or obese. The <em>GCKR</em> T allele and <em>PNPLA3</em> C allele were associated with low carotid atherosclerosis development rates but were not significant.</div></div><div><h3>Conclusions</h3><div>Our results suggested that some NAFLD-related SNPs may influence atherosclerosis through lipid metabolism among Japanese individuals without metabolic syndrome.</div></div>","PeriodicalId":72324,"journal":{"name":"Atherosclerosis plus","volume":"59 ","pages":"Pages 10-17"},"PeriodicalIF":2.1000,"publicationDate":"2024-12-14","publicationTypes":"Journal Article","fieldsOfStudy":null,"isOpenAccess":false,"openAccessPdf":"https://www.ncbi.nlm.nih.gov/pmc/articles/PMC11719292/pdf/","citationCount":"0","resultStr":"{\"title\":\"Impact of NAFLD-related SNPs on the carotid atherosclerosis development; a five-year prospective observational study\",\"authors\":\"Hiroaki Ikezaki ,&nbsp;Ryoko Nakashima ,&nbsp;Yuji Matsumoto ,&nbsp;Azusa Ohta ,&nbsp;Sho Yamasaki ,&nbsp;Satoshi Hiramine ,&nbsp;Koji Takayama ,&nbsp;Eiichi Ogawa ,&nbsp;Masayuki Murata ,&nbsp;Norihiro Furusyo ,&nbsp;Jun Hayashi ,&nbsp;Nobuyuki Shimono ,&nbsp;Ernst J. Schaefer\",\"doi\":\"10.1016/j.athplu.2024.12.003\",\"DOIUrl\":null,\"url\":null,\"abstract\":\"<div><h3>Background and aims</h3><div>The prevalence of metabolic dysfunction associated steatotic liver disease (MASLD), formerly known as nonalcoholic fatty liver disease (NAFLD), has become a significant public health concern with an increased atherosclerotic cardiovascular disease risk. This study investigates the impact of NAFLD-related single nucleotide polymorphisms (SNPs) on carotid atherosclerosis development in a Japanese population without diabetes, dyslipidemia, and hypertension.</div></div><div><h3>Methods</h3><div>The prospective observational study, part of the Kyushu and Okinawa Population Study (KOPS), included 945 participants (median age 55 [47, 63]) without carotid atherosclerosis, increased alcohol intake, diabetes, dyslipidemia, hypertension, or chronic hepatitis at baseline. NAFLD-related SNPs (<em>GCKR</em>, <em>NCAN</em>, <em>and PNPLA3</em>) were genotyped, and carotid intima-media thickness (cIMT) was measured using ultrasonography. Univariate and multivariate regression analyses were performed to assess the association of NAFLD-related SNPs on newly developed carotid atherosclerosis over five years.</div></div><div><h3>Results</h3><div>After five years, 125 (13.2 %) participants developed carotid atherosclerosis. The <em>NCAN</em> (rs2228603) T allele was associated with a lower incidence rate of carotid atherosclerosis (4.7 % in <em>NCAN</em> CT/TT genotype vs. 13.9 % in CC genotype; p = 0.04), and <em>NCAN</em> T allele carriers exhibited a favorable lipid profile. These associations were not altered by either recruiting area or obese. The <em>GCKR</em> T allele and <em>PNPLA3</em> C allele were associated with low carotid atherosclerosis development rates but were not significant.</div></div><div><h3>Conclusions</h3><div>Our results suggested that some NAFLD-related SNPs may influence atherosclerosis through lipid metabolism among Japanese individuals without metabolic syndrome.</div></div>\",\"PeriodicalId\":72324,\"journal\":{\"name\":\"Atherosclerosis plus\",\"volume\":\"59 \",\"pages\":\"Pages 10-17\"},\"PeriodicalIF\":2.1000,\"publicationDate\":\"2024-12-14\",\"publicationTypes\":\"Journal Article\",\"fieldsOfStudy\":null,\"isOpenAccess\":false,\"openAccessPdf\":\"https://www.ncbi.nlm.nih.gov/pmc/articles/PMC11719292/pdf/\",\"citationCount\":\"0\",\"resultStr\":null,\"platform\":\"Semanticscholar\",\"paperid\":null,\"PeriodicalName\":\"Atherosclerosis plus\",\"FirstCategoryId\":\"1085\",\"ListUrlMain\":\"https://www.sciencedirect.com/science/article/pii/S2667089524000555\",\"RegionNum\":0,\"RegionCategory\":null,\"ArticlePicture\":[],\"TitleCN\":null,\"AbstractTextCN\":null,\"PMCID\":null,\"EPubDate\":\"\",\"PubModel\":\"\",\"JCR\":\"Q3\",\"JCRName\":\"PERIPHERAL VASCULAR DISEASE\",\"Score\":null,\"Total\":0}","platform":"Semanticscholar","paperid":null,"PeriodicalName":"Atherosclerosis plus","FirstCategoryId":"1085","ListUrlMain":"https://www.sciencedirect.com/science/article/pii/S2667089524000555","RegionNum":0,"RegionCategory":null,"ArticlePicture":[],"TitleCN":null,"AbstractTextCN":null,"PMCID":null,"EPubDate":"","PubModel":"","JCR":"Q3","JCRName":"PERIPHERAL VASCULAR DISEASE","Score":null,"Total":0}
引用次数: 0

摘要

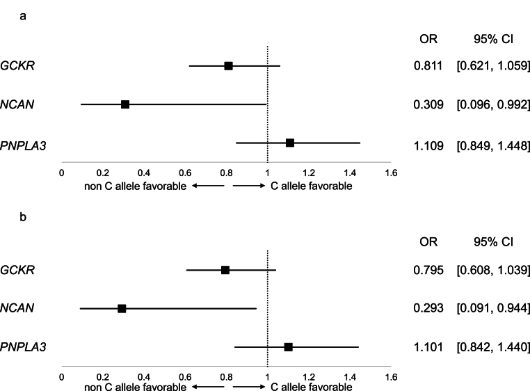
背景和目的:代谢功能障碍相关性脂肪性肝病(MASLD),以前称为非酒精性脂肪肝(NAFLD),其发病率已成为一个重要的公共卫生问题,并增加了动脉粥样硬化性心血管疾病的风险。本研究调查了在没有糖尿病、血脂异常和高血压的日本人群中,非酒精性脂肪肝相关单核苷酸多态性(SNPs)对颈动脉粥样硬化发展的影响:这项前瞻性观察研究是九州和冲绳人口研究(KOPS)的一部分,共纳入了 945 名参与者(中位年龄 55 [47, 63]),他们基线时没有颈动脉粥样硬化、酒精摄入增加、糖尿病、血脂异常、高血压或慢性肝炎。对非酒精性脂肪肝相关的 SNPs(GCKR、NCAN 和 PNPLA3)进行了基因分型,并使用超声波测量了颈动脉内膜中层厚度(cIMT)。通过单变量和多变量回归分析,评估非酒精性脂肪肝相关SNPs与五年内新发颈动脉粥样硬化的关系:结果:五年后,125名参与者(13.2%)出现了颈动脉粥样硬化。NCAN(rs2228603)T等位基因与较低的颈动脉粥样硬化发病率相关(NCAN CT/TT基因型为4.7%,CC基因型为13.9%;P = 0.04),NCAN T等位基因携带者的血脂状况良好。这些关联并不因招募地区或肥胖而改变。GCKR T等位基因和PNPLA3 C等位基因与低颈动脉粥样硬化发病率相关,但不显著:我们的研究结果表明,在没有代谢综合征的日本人中,一些与非酒精性脂肪肝相关的 SNPs 可能会通过脂质代谢影响动脉粥样硬化。
本文章由计算机程序翻译,如有差异,请以英文原文为准。

Impact of NAFLD-related SNPs on the carotid atherosclerosis development; a five-year prospective observational study

Impact of NAFLD-related SNPs on the carotid atherosclerosis development; a five-year prospective observational study

Impact of NAFLD-related SNPs on the carotid atherosclerosis development; a five-year prospective observational study

Impact of NAFLD-related SNPs on the carotid atherosclerosis development; a five-year prospective observational study

Background and aims

The prevalence of metabolic dysfunction associated steatotic liver disease (MASLD), formerly known as nonalcoholic fatty liver disease (NAFLD), has become a significant public health concern with an increased atherosclerotic cardiovascular disease risk. This study investigates the impact of NAFLD-related single nucleotide polymorphisms (SNPs) on carotid atherosclerosis development in a Japanese population without diabetes, dyslipidemia, and hypertension.

Methods

The prospective observational study, part of the Kyushu and Okinawa Population Study (KOPS), included 945 participants (median age 55 [47, 63]) without carotid atherosclerosis, increased alcohol intake, diabetes, dyslipidemia, hypertension, or chronic hepatitis at baseline. NAFLD-related SNPs (GCKR, NCAN, and PNPLA3) were genotyped, and carotid intima-media thickness (cIMT) was measured using ultrasonography. Univariate and multivariate regression analyses were performed to assess the association of NAFLD-related SNPs on newly developed carotid atherosclerosis over five years.

Results

After five years, 125 (13.2 %) participants developed carotid atherosclerosis. The NCAN (rs2228603) T allele was associated with a lower incidence rate of carotid atherosclerosis (4.7 % in NCAN CT/TT genotype vs. 13.9 % in CC genotype; p = 0.04), and NCAN T allele carriers exhibited a favorable lipid profile. These associations were not altered by either recruiting area or obese. The GCKR T allele and PNPLA3 C allele were associated with low carotid atherosclerosis development rates but were not significant.

Conclusions

Our results suggested that some NAFLD-related SNPs may influence atherosclerosis through lipid metabolism among Japanese individuals without metabolic syndrome.
求助全文
通过发布文献求助,成功后即可免费获取论文全文。 去求助
来源期刊
Atherosclerosis plus
Atherosclerosis plus Cardiology and Cardiovascular Medicine
CiteScore
2.60
自引率
0.00%
发文量
0
审稿时长
66 days
×
引用
GB/T 7714-2015
复制
MLA
复制
APA
复制
导出至
BibTeX EndNote RefMan NoteFirst NoteExpress
×
提示
您的信息不完整,为了账户安全,请先补充。
现在去补充
×
提示
您因"违规操作"
具体请查看互助需知
我知道了
×
提示
确定
请完成安全验证×
copy
已复制链接
快去分享给好友吧!
我知道了
右上角分享
点击右上角分享
0
联系我们:info@booksci.cn Book学术提供免费学术资源搜索服务,方便国内外学者检索中英文文献。致力于提供最便捷和优质的服务体验。 Copyright © 2023 布克学术 All rights reserved.
京ICP备2023020795号-1
ghs 京公网安备 11010802042870号
Book学术文献互助
Book学术文献互助群
群 号:604180095
Book学术官方微信