扫描路径对全弓口内扫描精度的影响。

IF 2.5 3区 医学 Q1 DENTISTRY, ORAL SURGERY & MEDICINE
Journal of Advanced Prosthodontics Pub Date : 2024-12-01 Epub Date: 2024-12-19 DOI:10.4047/jap.2024.16.6.319
Eui-Jun Choi, Kyung-Ho Ko, Yoon-Hyuk Huh, Chan-Jin Park, Lee-Ra Cho
{"title":"扫描路径对全弓口内扫描精度的影响。","authors":"Eui-Jun Choi, Kyung-Ho Ko, Yoon-Hyuk Huh, Chan-Jin Park, Lee-Ra Cho","doi":"10.4047/jap.2024.16.6.319","DOIUrl":null,"url":null,"abstract":"<p><strong>Purpose: </strong>This study aimed to compare the accuracy of an alternative scan path with that of traditional scan paths to obtain a more accurate method for complete arch scans.</p><p><strong>Materials and methods: </strong>A mandibular stone cast, including tooth preparations for the inlay, crown, and fixed prosthesis, was scanned 10 times using four different scan paths (A, B, C, and D). The scans were converted into stereolithography files, resized, and superimposed onto a control file obtained from a desktop scanner. The scan time, total surface deviation, and local deviation of the mandibular teeth were measured. One-way analysis of variance (ANOVA) and Welch ANOVA were used for statistical analyses (α = .05). The relative standard deviation and standard error of the mean were calculated to evaluate accuracy.</p><p><strong>Results: </strong>The total surface deviation differed significantly according to the scanning path despite a similar scan time. Path D had the highest accuracy and the most uniform color maps, showing minimal deformation of the digital model. Meanwhile, no significant differences were found in the local deviations in the individual tooth assessments, likely owing to issues with the superimposition method.</p><p><strong>Conclusion: </strong>Among all scan paths, the scan path with the shortest distance from the starting point to the end point showed the smallest total surface deviation and the highest accuracy. No differences were observed in the deviations of specific teeth based on the scan path.</p>","PeriodicalId":51291,"journal":{"name":"Journal of Advanced Prosthodontics","volume":"16 6","pages":"319-327"},"PeriodicalIF":2.5000,"publicationDate":"2024-12-01","publicationTypes":"Journal Article","fieldsOfStudy":null,"isOpenAccess":false,"openAccessPdf":"https://www.ncbi.nlm.nih.gov/pmc/articles/PMC11711450/pdf/","citationCount":"0","resultStr":"{\"title\":\"Effect of scan path on accuracy of complete arch intraoral scan.\",\"authors\":\"Eui-Jun Choi, Kyung-Ho Ko, Yoon-Hyuk Huh, Chan-Jin Park, Lee-Ra Cho\",\"doi\":\"10.4047/jap.2024.16.6.319\",\"DOIUrl\":null,\"url\":null,\"abstract\":\"<p><strong>Purpose: </strong>This study aimed to compare the accuracy of an alternative scan path with that of traditional scan paths to obtain a more accurate method for complete arch scans.</p><p><strong>Materials and methods: </strong>A mandibular stone cast, including tooth preparations for the inlay, crown, and fixed prosthesis, was scanned 10 times using four different scan paths (A, B, C, and D). The scans were converted into stereolithography files, resized, and superimposed onto a control file obtained from a desktop scanner. The scan time, total surface deviation, and local deviation of the mandibular teeth were measured. One-way analysis of variance (ANOVA) and Welch ANOVA were used for statistical analyses (α = .05). The relative standard deviation and standard error of the mean were calculated to evaluate accuracy.</p><p><strong>Results: </strong>The total surface deviation differed significantly according to the scanning path despite a similar scan time. Path D had the highest accuracy and the most uniform color maps, showing minimal deformation of the digital model. Meanwhile, no significant differences were found in the local deviations in the individual tooth assessments, likely owing to issues with the superimposition method.</p><p><strong>Conclusion: </strong>Among all scan paths, the scan path with the shortest distance from the starting point to the end point showed the smallest total surface deviation and the highest accuracy. No differences were observed in the deviations of specific teeth based on the scan path.</p>\",\"PeriodicalId\":51291,\"journal\":{\"name\":\"Journal of Advanced Prosthodontics\",\"volume\":\"16 6\",\"pages\":\"319-327\"},\"PeriodicalIF\":2.5000,\"publicationDate\":\"2024-12-01\",\"publicationTypes\":\"Journal Article\",\"fieldsOfStudy\":null,\"isOpenAccess\":false,\"openAccessPdf\":\"https://www.ncbi.nlm.nih.gov/pmc/articles/PMC11711450/pdf/\",\"citationCount\":\"0\",\"resultStr\":null,\"platform\":\"Semanticscholar\",\"paperid\":null,\"PeriodicalName\":\"Journal of Advanced Prosthodontics\",\"FirstCategoryId\":\"3\",\"ListUrlMain\":\"https://doi.org/10.4047/jap.2024.16.6.319\",\"RegionNum\":3,\"RegionCategory\":\"医学\",\"ArticlePicture\":[],\"TitleCN\":null,\"AbstractTextCN\":null,\"PMCID\":null,\"EPubDate\":\"2024/12/19 0:00:00\",\"PubModel\":\"Epub\",\"JCR\":\"Q1\",\"JCRName\":\"DENTISTRY, ORAL SURGERY & MEDICINE\",\"Score\":null,\"Total\":0}","platform":"Semanticscholar","paperid":null,"PeriodicalName":"Journal of Advanced Prosthodontics","FirstCategoryId":"3","ListUrlMain":"https://doi.org/10.4047/jap.2024.16.6.319","RegionNum":3,"RegionCategory":"医学","ArticlePicture":[],"TitleCN":null,"AbstractTextCN":null,"PMCID":null,"EPubDate":"2024/12/19 0:00:00","PubModel":"Epub","JCR":"Q1","JCRName":"DENTISTRY, ORAL SURGERY & MEDICINE","Score":null,"Total":0}
引用次数: 0

摘要

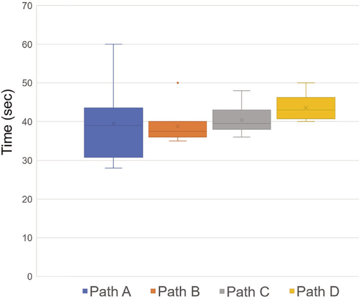
目的:本研究旨在比较替代扫描路径与传统扫描路径的准确性,以获得更准确的全弓扫描方法。材料和方法:使用四种不同的扫描路径(A、B、C和D)对下颌石铸体进行10次扫描,包括嵌体、冠和固定假体的牙齿准备。扫描结果转换为立体光刻文件,调整大小,并叠加到从桌面扫描仪获得的对照文件上。测量扫描时间、下颌牙面总偏差和局部偏差。采用单因素方差分析(ANOVA)和Welch方差分析(Welch ANOVA)进行统计学分析(α = 0.05)。计算平均值的相对标准偏差和标准误差以评价准确性。结果:尽管扫描时间相似,但不同扫描路径的总表面偏差差异显著。路径D具有最高的精度和最均匀的颜色地图,显示最小的变形的数字模型。同时,个别牙齿评估的局部偏差没有发现显著差异,可能是由于叠加方法的问题。结论:在所有扫描路径中,从起点到终点距离最短的扫描路径,总表面偏差最小,精度最高。基于扫描路径的特定牙齿偏差无差异。
本文章由计算机程序翻译,如有差异,请以英文原文为准。

Effect of scan path on accuracy of complete arch intraoral scan.

Effect of scan path on accuracy of complete arch intraoral scan.

Effect of scan path on accuracy of complete arch intraoral scan.

Effect of scan path on accuracy of complete arch intraoral scan.

Purpose: This study aimed to compare the accuracy of an alternative scan path with that of traditional scan paths to obtain a more accurate method for complete arch scans.

Materials and methods: A mandibular stone cast, including tooth preparations for the inlay, crown, and fixed prosthesis, was scanned 10 times using four different scan paths (A, B, C, and D). The scans were converted into stereolithography files, resized, and superimposed onto a control file obtained from a desktop scanner. The scan time, total surface deviation, and local deviation of the mandibular teeth were measured. One-way analysis of variance (ANOVA) and Welch ANOVA were used for statistical analyses (α = .05). The relative standard deviation and standard error of the mean were calculated to evaluate accuracy.

Results: The total surface deviation differed significantly according to the scanning path despite a similar scan time. Path D had the highest accuracy and the most uniform color maps, showing minimal deformation of the digital model. Meanwhile, no significant differences were found in the local deviations in the individual tooth assessments, likely owing to issues with the superimposition method.

Conclusion: Among all scan paths, the scan path with the shortest distance from the starting point to the end point showed the smallest total surface deviation and the highest accuracy. No differences were observed in the deviations of specific teeth based on the scan path.

求助全文
通过发布文献求助,成功后即可免费获取论文全文。 去求助
来源期刊
Journal of Advanced Prosthodontics
Journal of Advanced Prosthodontics DENTISTRY, ORAL SURGERY & MEDICINE-
CiteScore
4.70
自引率
3.80%
发文量
25
期刊介绍: This journal aims to convey scientific and clinical progress in the field of prosthodontics and its related areas to many dental communities concerned with esthetic and functional restorations, occlusion, implants, prostheses, and biomaterials related to prosthodontics. This journal publishes • Original research data of high scientific merit in the field of diagnosis, function, esthetics and stomatognathic physiology related to prosthodontic rehabilitation, physiology and mechanics of occlusion, mechanical and biologic aspects of prosthodontic materials including dental implants. • Review articles by experts on controversies and new developments in prosthodontics. • Case reports if they provide or document new fundamental knowledge.
×
引用
GB/T 7714-2015
复制
MLA
复制
APA
复制
导出至
BibTeX EndNote RefMan NoteFirst NoteExpress
×
提示
您的信息不完整,为了账户安全,请先补充。
现在去补充
×
提示
您因"违规操作"
具体请查看互助需知
我知道了
×
提示
确定
请完成安全验证×
copy
已复制链接
快去分享给好友吧!
我知道了
右上角分享
点击右上角分享
0
联系我们:info@booksci.cn Book学术提供免费学术资源搜索服务,方便国内外学者检索中英文文献。致力于提供最便捷和优质的服务体验。 Copyright © 2023 布克学术 All rights reserved.
京ICP备2023020795号-1
ghs 京公网安备 11010802042870号
Book学术文献互助
Book学术文献互助群
群 号:604180095
Book学术官方微信