心理学研究中权力分析实践演变的系统回顾。

IF 2.6 4区 心理学 Q1 PSYCHOLOGY, MULTIDISCIPLINARY
Psychologica Belgica Pub Date : 2025-01-09 eCollection Date: 2025-01-01 DOI:10.5334/pb.1318
Lara Vankelecom, Ole Schacht, Nathan Laroy, Tom Loeys, Beatrijs Moerkerke
{"title":"心理学研究中权力分析实践演变的系统回顾。","authors":"Lara Vankelecom, Ole Schacht, Nathan Laroy, Tom Loeys, Beatrijs Moerkerke","doi":"10.5334/pb.1318","DOIUrl":null,"url":null,"abstract":"<p><p>Performing hypothesis tests with adequate statistical power is indispensable for psychological research. In response to several large-scale replication projects following the replication crisis, concerns about the root causes of this crisis - such as questionable research practices (QRPs) - have grown. While initial efforts primarily addressed the inflation of the type I error rate of research due to QRPs, recent attention has shifted to the adverse consequences of low statistical power. In this paper we first argue how underpowered studies, in combination with publication bias, contribute to a literature rife with false positive results and overestimated effect sizes. We then examine whether the prevalence of power analyses in psychological research has effectively increased over time in response to the increased awareness regarding these phenomena. To address this, we conducted a systematic review of 903 published empirical articles across four APA-disciplines, comparing 453 papers published in 2015-2016, with 450 papers from 2020-2021. Although the prevalence of power analysis across different domains in psychology has increased over time (from 9.5% to 30%), it remains insufficient overall. We conclude by discussing the implications of these findings and elaborating on some alternative methods to <i>a priori</i> power analysis that can help ensure sufficient statistical power.</p>","PeriodicalId":46662,"journal":{"name":"Psychologica Belgica","volume":"65 1","pages":"17-37"},"PeriodicalIF":2.6000,"publicationDate":"2025-01-09","publicationTypes":"Journal Article","fieldsOfStudy":null,"isOpenAccess":false,"openAccessPdf":"https://www.ncbi.nlm.nih.gov/pmc/articles/PMC11720577/pdf/","citationCount":"0","resultStr":"{\"title\":\"A Systematic Review on the Evolution of Power Analysis Practices in Psychological Research.\",\"authors\":\"Lara Vankelecom, Ole Schacht, Nathan Laroy, Tom Loeys, Beatrijs Moerkerke\",\"doi\":\"10.5334/pb.1318\",\"DOIUrl\":null,\"url\":null,\"abstract\":\"<p><p>Performing hypothesis tests with adequate statistical power is indispensable for psychological research. In response to several large-scale replication projects following the replication crisis, concerns about the root causes of this crisis - such as questionable research practices (QRPs) - have grown. While initial efforts primarily addressed the inflation of the type I error rate of research due to QRPs, recent attention has shifted to the adverse consequences of low statistical power. In this paper we first argue how underpowered studies, in combination with publication bias, contribute to a literature rife with false positive results and overestimated effect sizes. We then examine whether the prevalence of power analyses in psychological research has effectively increased over time in response to the increased awareness regarding these phenomena. To address this, we conducted a systematic review of 903 published empirical articles across four APA-disciplines, comparing 453 papers published in 2015-2016, with 450 papers from 2020-2021. Although the prevalence of power analysis across different domains in psychology has increased over time (from 9.5% to 30%), it remains insufficient overall. We conclude by discussing the implications of these findings and elaborating on some alternative methods to <i>a priori</i> power analysis that can help ensure sufficient statistical power.</p>\",\"PeriodicalId\":46662,\"journal\":{\"name\":\"Psychologica Belgica\",\"volume\":\"65 1\",\"pages\":\"17-37\"},\"PeriodicalIF\":2.6000,\"publicationDate\":\"2025-01-09\",\"publicationTypes\":\"Journal Article\",\"fieldsOfStudy\":null,\"isOpenAccess\":false,\"openAccessPdf\":\"https://www.ncbi.nlm.nih.gov/pmc/articles/PMC11720577/pdf/\",\"citationCount\":\"0\",\"resultStr\":null,\"platform\":\"Semanticscholar\",\"paperid\":null,\"PeriodicalName\":\"Psychologica Belgica\",\"FirstCategoryId\":\"102\",\"ListUrlMain\":\"https://doi.org/10.5334/pb.1318\",\"RegionNum\":4,\"RegionCategory\":\"心理学\",\"ArticlePicture\":[],\"TitleCN\":null,\"AbstractTextCN\":null,\"PMCID\":null,\"EPubDate\":\"2025/1/1 0:00:00\",\"PubModel\":\"eCollection\",\"JCR\":\"Q1\",\"JCRName\":\"PSYCHOLOGY, MULTIDISCIPLINARY\",\"Score\":null,\"Total\":0}","platform":"Semanticscholar","paperid":null,"PeriodicalName":"Psychologica Belgica","FirstCategoryId":"102","ListUrlMain":"https://doi.org/10.5334/pb.1318","RegionNum":4,"RegionCategory":"心理学","ArticlePicture":[],"TitleCN":null,"AbstractTextCN":null,"PMCID":null,"EPubDate":"2025/1/1 0:00:00","PubModel":"eCollection","JCR":"Q1","JCRName":"PSYCHOLOGY, MULTIDISCIPLINARY","Score":null,"Total":0}
引用次数: 0

摘要

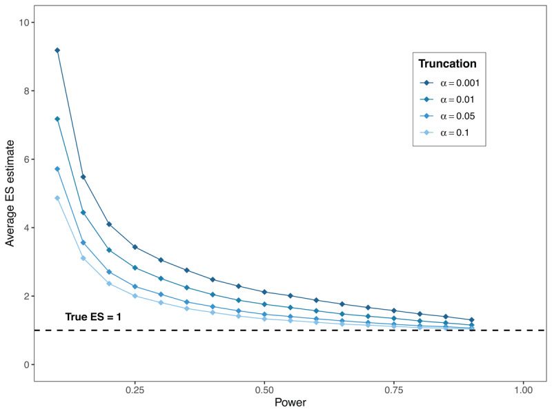
进行具有足够统计力的假设检验对于心理学研究是必不可少的。作为对复制危机之后的几个大规模复制项目的回应,人们对这一危机的根本原因——比如有问题的研究实践(qrp)——的担忧有所增加。虽然最初的努力主要是解决由于qrp导致的第一类研究错误率的膨胀,但最近的注意力已经转移到低统计能力的不利后果上。在这篇论文中,我们首先讨论了研究力度不足,加上发表偏倚,是如何导致文献中充斥着假阳性结果和高估效应量的。然后,我们检查了权力分析在心理学研究中的流行是否随着时间的推移而有效地增加了对这些现象的认识。为了解决这个问题,我们对四个apa学科的903篇已发表的实证文章进行了系统回顾,比较了2015-2016年发表的453篇论文和2020-2021年发表的450篇论文。尽管权力分析在心理学不同领域的流行程度随着时间的推移而增加(从9.5%到30%),但总体上仍然不足。最后,我们讨论了这些发现的含义,并详细阐述了一些替代方法,以先验能力分析,可以帮助确保足够的统计能力。
本文章由计算机程序翻译,如有差异,请以英文原文为准。

A Systematic Review on the Evolution of Power Analysis Practices in Psychological Research.

A Systematic Review on the Evolution of Power Analysis Practices in Psychological Research.

A Systematic Review on the Evolution of Power Analysis Practices in Psychological Research.

A Systematic Review on the Evolution of Power Analysis Practices in Psychological Research.

Performing hypothesis tests with adequate statistical power is indispensable for psychological research. In response to several large-scale replication projects following the replication crisis, concerns about the root causes of this crisis - such as questionable research practices (QRPs) - have grown. While initial efforts primarily addressed the inflation of the type I error rate of research due to QRPs, recent attention has shifted to the adverse consequences of low statistical power. In this paper we first argue how underpowered studies, in combination with publication bias, contribute to a literature rife with false positive results and overestimated effect sizes. We then examine whether the prevalence of power analyses in psychological research has effectively increased over time in response to the increased awareness regarding these phenomena. To address this, we conducted a systematic review of 903 published empirical articles across four APA-disciplines, comparing 453 papers published in 2015-2016, with 450 papers from 2020-2021. Although the prevalence of power analysis across different domains in psychology has increased over time (from 9.5% to 30%), it remains insufficient overall. We conclude by discussing the implications of these findings and elaborating on some alternative methods to a priori power analysis that can help ensure sufficient statistical power.

求助全文
通过发布文献求助,成功后即可免费获取论文全文。 去求助
来源期刊
Psychologica Belgica
Psychologica Belgica PSYCHOLOGY, MULTIDISCIPLINARY-
CiteScore
4.00
自引率
5.00%
发文量
22
审稿时长
4 weeks
×
引用
GB/T 7714-2015
复制
MLA
复制
APA
复制
导出至
BibTeX EndNote RefMan NoteFirst NoteExpress
×
提示
您的信息不完整,为了账户安全,请先补充。
现在去补充
×
提示
您因"违规操作"
具体请查看互助需知
我知道了
×
提示
确定
请完成安全验证×
copy
已复制链接
快去分享给好友吧!
我知道了
右上角分享
点击右上角分享
0
联系我们:info@booksci.cn Book学术提供免费学术资源搜索服务,方便国内外学者检索中英文文献。致力于提供最便捷和优质的服务体验。 Copyright © 2023 布克学术 All rights reserved.
京ICP备2023020795号-1
ghs 京公网安备 11010802042870号
Book学术文献互助
Book学术文献互助群
群 号:604180095
Book学术官方微信