基于互联网的社交焦虑症认知行为疗法中的活性成分:随机全因子试验。

IF 17.4 1区 医学 Q1 PSYCHIATRY
Psychotherapy and Psychosomatics Pub Date : 2025-01-01 Epub Date: 2025-01-10 DOI:10.1159/000542425
Dajana Šipka, Rodrigo Lopes, Tobias Krieger, Jan Philipp Klein, Thomas Berger
{"title":"基于互联网的社交焦虑症认知行为疗法中的活性成分:随机全因子试验。","authors":"Dajana Šipka, Rodrigo Lopes, Tobias Krieger, Jan Philipp Klein, Thomas Berger","doi":"10.1159/000542425","DOIUrl":null,"url":null,"abstract":"<p><strong>Introduction: </strong>Many studies have demonstrated that social anxiety disorder (SAD) can be effectively treated with psychotherapy, particularly cognitive-behavioral therapy (CBT), including internet-based CBT (ICBT). Despite evidence-based treatments, many individuals do not sufficiently benefit from them. Identifying the active components could help improve the effectiveness of SAD treatment. This study tested the effects of four treatment components (psychoeducation, cognitive restructuring, attention training, and exposure) within ICBT for SAD to investigate its active components.</p><p><strong>Methods: </strong>This randomized full factorial trial consisted of four factors (i.e., treatment components) and 16 conditions. A total of 464 adults with a diagnosed SAD were recruited from the community. The primary outcome was SAD symptoms at 8 weeks (post-assessment). Secondary outcomes included SAD diagnosis, SAD symptoms at follow-up (4 months after post), depression and anxiety symptoms, quality of life, client satisfaction, and adverse effects.</p><p><strong>Results: </strong>Conditions including psychoeducation and exposure were significantly more effective in reducing SAD symptoms at post compared to conditions without these components. Conditions including cognitive restructuring and attention training did not show superiority over conditions without them at post. However, all treatment conditions significantly reduced symptoms compared to the condition without a treatment component. At follow-up, the superiority of psychoeducation and exposure was not significant anymore due to the version without the respective components catching up.</p><p><strong>Conclusion: </strong>The findings suggest that while all treatment components of ICBT for SAD are beneficial compared to no treatment, psychoeducation and exposure include specific active components that significantly improve treatment outcomes more quickly in ICBT for SAD.</p><p><strong>Introduction: </strong>Many studies have demonstrated that social anxiety disorder (SAD) can be effectively treated with psychotherapy, particularly cognitive-behavioral therapy (CBT), including internet-based CBT (ICBT). Despite evidence-based treatments, many individuals do not sufficiently benefit from them. Identifying the active components could help improve the effectiveness of SAD treatment. This study tested the effects of four treatment components (psychoeducation, cognitive restructuring, attention training, and exposure) within ICBT for SAD to investigate its active components.</p><p><strong>Methods: </strong>This randomized full factorial trial consisted of four factors (i.e., treatment components) and 16 conditions. A total of 464 adults with a diagnosed SAD were recruited from the community. The primary outcome was SAD symptoms at 8 weeks (post-assessment). Secondary outcomes included SAD diagnosis, SAD symptoms at follow-up (4 months after post), depression and anxiety symptoms, quality of life, client satisfaction, and adverse effects.</p><p><strong>Results: </strong>Conditions including psychoeducation and exposure were significantly more effective in reducing SAD symptoms at post compared to conditions without these components. Conditions including cognitive restructuring and attention training did not show superiority over conditions without them at post. However, all treatment conditions significantly reduced symptoms compared to the condition without a treatment component. At follow-up, the superiority of psychoeducation and exposure was not significant anymore due to the version without the respective components catching up.</p><p><strong>Conclusion: </strong>The findings suggest that while all treatment components of ICBT for SAD are beneficial compared to no treatment, psychoeducation and exposure include specific active components that significantly improve treatment outcomes more quickly in ICBT for SAD.</p>","PeriodicalId":20744,"journal":{"name":"Psychotherapy and Psychosomatics","volume":" ","pages":"40-59"},"PeriodicalIF":17.4000,"publicationDate":"2025-01-01","publicationTypes":"Journal Article","fieldsOfStudy":null,"isOpenAccess":false,"openAccessPdf":"https://www.ncbi.nlm.nih.gov/pmc/articles/PMC11797955/pdf/","citationCount":"0","resultStr":"{\"title\":\"Active Components in Internet-Based Cognitive-Behavioral Therapy for Social Anxiety Disorder: A Randomized Full Factorial Trial.\",\"authors\":\"Dajana Šipka, Rodrigo Lopes, Tobias Krieger, Jan Philipp Klein, Thomas Berger\",\"doi\":\"10.1159/000542425\",\"DOIUrl\":null,\"url\":null,\"abstract\":\"<p><strong>Introduction: </strong>Many studies have demonstrated that social anxiety disorder (SAD) can be effectively treated with psychotherapy, particularly cognitive-behavioral therapy (CBT), including internet-based CBT (ICBT). Despite evidence-based treatments, many individuals do not sufficiently benefit from them. Identifying the active components could help improve the effectiveness of SAD treatment. This study tested the effects of four treatment components (psychoeducation, cognitive restructuring, attention training, and exposure) within ICBT for SAD to investigate its active components.</p><p><strong>Methods: </strong>This randomized full factorial trial consisted of four factors (i.e., treatment components) and 16 conditions. A total of 464 adults with a diagnosed SAD were recruited from the community. The primary outcome was SAD symptoms at 8 weeks (post-assessment). Secondary outcomes included SAD diagnosis, SAD symptoms at follow-up (4 months after post), depression and anxiety symptoms, quality of life, client satisfaction, and adverse effects.</p><p><strong>Results: </strong>Conditions including psychoeducation and exposure were significantly more effective in reducing SAD symptoms at post compared to conditions without these components. Conditions including cognitive restructuring and attention training did not show superiority over conditions without them at post. However, all treatment conditions significantly reduced symptoms compared to the condition without a treatment component. At follow-up, the superiority of psychoeducation and exposure was not significant anymore due to the version without the respective components catching up.</p><p><strong>Conclusion: </strong>The findings suggest that while all treatment components of ICBT for SAD are beneficial compared to no treatment, psychoeducation and exposure include specific active components that significantly improve treatment outcomes more quickly in ICBT for SAD.</p><p><strong>Introduction: </strong>Many studies have demonstrated that social anxiety disorder (SAD) can be effectively treated with psychotherapy, particularly cognitive-behavioral therapy (CBT), including internet-based CBT (ICBT). Despite evidence-based treatments, many individuals do not sufficiently benefit from them. Identifying the active components could help improve the effectiveness of SAD treatment. This study tested the effects of four treatment components (psychoeducation, cognitive restructuring, attention training, and exposure) within ICBT for SAD to investigate its active components.</p><p><strong>Methods: </strong>This randomized full factorial trial consisted of four factors (i.e., treatment components) and 16 conditions. A total of 464 adults with a diagnosed SAD were recruited from the community. The primary outcome was SAD symptoms at 8 weeks (post-assessment). Secondary outcomes included SAD diagnosis, SAD symptoms at follow-up (4 months after post), depression and anxiety symptoms, quality of life, client satisfaction, and adverse effects.</p><p><strong>Results: </strong>Conditions including psychoeducation and exposure were significantly more effective in reducing SAD symptoms at post compared to conditions without these components. Conditions including cognitive restructuring and attention training did not show superiority over conditions without them at post. However, all treatment conditions significantly reduced symptoms compared to the condition without a treatment component. At follow-up, the superiority of psychoeducation and exposure was not significant anymore due to the version without the respective components catching up.</p><p><strong>Conclusion: </strong>The findings suggest that while all treatment components of ICBT for SAD are beneficial compared to no treatment, psychoeducation and exposure include specific active components that significantly improve treatment outcomes more quickly in ICBT for SAD.</p>\",\"PeriodicalId\":20744,\"journal\":{\"name\":\"Psychotherapy and Psychosomatics\",\"volume\":\" \",\"pages\":\"40-59\"},\"PeriodicalIF\":17.4000,\"publicationDate\":\"2025-01-01\",\"publicationTypes\":\"Journal Article\",\"fieldsOfStudy\":null,\"isOpenAccess\":false,\"openAccessPdf\":\"https://www.ncbi.nlm.nih.gov/pmc/articles/PMC11797955/pdf/\",\"citationCount\":\"0\",\"resultStr\":null,\"platform\":\"Semanticscholar\",\"paperid\":null,\"PeriodicalName\":\"Psychotherapy and Psychosomatics\",\"FirstCategoryId\":\"3\",\"ListUrlMain\":\"https://doi.org/10.1159/000542425\",\"RegionNum\":1,\"RegionCategory\":\"医学\",\"ArticlePicture\":[],\"TitleCN\":null,\"AbstractTextCN\":null,\"PMCID\":null,\"EPubDate\":\"2025/1/10 0:00:00\",\"PubModel\":\"Epub\",\"JCR\":\"Q1\",\"JCRName\":\"PSYCHIATRY\",\"Score\":null,\"Total\":0}","platform":"Semanticscholar","paperid":null,"PeriodicalName":"Psychotherapy and Psychosomatics","FirstCategoryId":"3","ListUrlMain":"https://doi.org/10.1159/000542425","RegionNum":1,"RegionCategory":"医学","ArticlePicture":[],"TitleCN":null,"AbstractTextCN":null,"PMCID":null,"EPubDate":"2025/1/10 0:00:00","PubModel":"Epub","JCR":"Q1","JCRName":"PSYCHIATRY","Score":null,"Total":0}
引用次数: 0

摘要

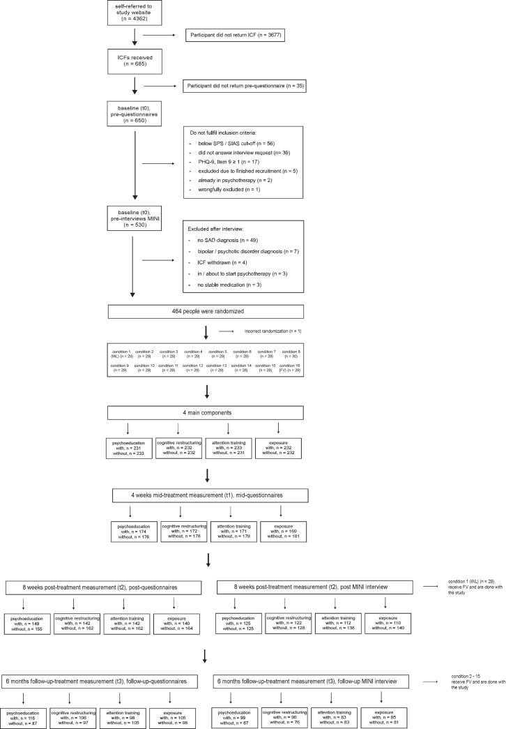
许多研究表明,社交焦虑障碍(SAD)可以通过心理治疗,特别是认知行为治疗(CBT),包括基于互联网的CBT (ICBT)有效治疗。尽管有循证治疗,但许多人并没有充分受益。确定有效成分有助于提高SAD治疗的有效性。本研究测试了ICBT中四个治疗成分(心理教育、认知重组、注意力训练和暴露)对SAD的影响,以调查其有效成分。方法:该随机全因子试验包括4个因素(即治疗成分)和16个条件。总共从社区招募了464名确诊为SAD的成年人。主要结局是8周时的SAD症状(评估后)。次要结局包括SAD诊断、随访时(术后4个月)的SAD症状、抑郁和焦虑症状、生活质量、患者满意度和不良反应。结果:与没有这些成分的条件相比,包括心理教育和暴露在内的条件在减轻岗位SAD症状方面显着更有效。包括认知重组和注意力训练在内的条件在岗位上并不比没有这些条件的条件表现出优势。然而,与没有治疗成分的情况相比,所有治疗条件都显著减轻了症状。在随访中,心理教育和暴露的优势不再显著,因为版本没有各自的成分追赶。结论:研究结果表明,虽然与不治疗相比,ICBT治疗SAD的所有治疗成分都是有益的,但心理教育和暴露包括特定的活性成分,可以更快地显著改善ICBT治疗SAD的治疗结果。
本文章由计算机程序翻译,如有差异,请以英文原文为准。

Active Components in Internet-Based Cognitive-Behavioral Therapy for Social Anxiety Disorder: A Randomized Full Factorial Trial.

Active Components in Internet-Based Cognitive-Behavioral Therapy for Social Anxiety Disorder: A Randomized Full Factorial Trial.

Active Components in Internet-Based Cognitive-Behavioral Therapy for Social Anxiety Disorder: A Randomized Full Factorial Trial.

Introduction: Many studies have demonstrated that social anxiety disorder (SAD) can be effectively treated with psychotherapy, particularly cognitive-behavioral therapy (CBT), including internet-based CBT (ICBT). Despite evidence-based treatments, many individuals do not sufficiently benefit from them. Identifying the active components could help improve the effectiveness of SAD treatment. This study tested the effects of four treatment components (psychoeducation, cognitive restructuring, attention training, and exposure) within ICBT for SAD to investigate its active components.

Methods: This randomized full factorial trial consisted of four factors (i.e., treatment components) and 16 conditions. A total of 464 adults with a diagnosed SAD were recruited from the community. The primary outcome was SAD symptoms at 8 weeks (post-assessment). Secondary outcomes included SAD diagnosis, SAD symptoms at follow-up (4 months after post), depression and anxiety symptoms, quality of life, client satisfaction, and adverse effects.

Results: Conditions including psychoeducation and exposure were significantly more effective in reducing SAD symptoms at post compared to conditions without these components. Conditions including cognitive restructuring and attention training did not show superiority over conditions without them at post. However, all treatment conditions significantly reduced symptoms compared to the condition without a treatment component. At follow-up, the superiority of psychoeducation and exposure was not significant anymore due to the version without the respective components catching up.

Conclusion: The findings suggest that while all treatment components of ICBT for SAD are beneficial compared to no treatment, psychoeducation and exposure include specific active components that significantly improve treatment outcomes more quickly in ICBT for SAD.

Introduction: Many studies have demonstrated that social anxiety disorder (SAD) can be effectively treated with psychotherapy, particularly cognitive-behavioral therapy (CBT), including internet-based CBT (ICBT). Despite evidence-based treatments, many individuals do not sufficiently benefit from them. Identifying the active components could help improve the effectiveness of SAD treatment. This study tested the effects of four treatment components (psychoeducation, cognitive restructuring, attention training, and exposure) within ICBT for SAD to investigate its active components.

Methods: This randomized full factorial trial consisted of four factors (i.e., treatment components) and 16 conditions. A total of 464 adults with a diagnosed SAD were recruited from the community. The primary outcome was SAD symptoms at 8 weeks (post-assessment). Secondary outcomes included SAD diagnosis, SAD symptoms at follow-up (4 months after post), depression and anxiety symptoms, quality of life, client satisfaction, and adverse effects.

Results: Conditions including psychoeducation and exposure were significantly more effective in reducing SAD symptoms at post compared to conditions without these components. Conditions including cognitive restructuring and attention training did not show superiority over conditions without them at post. However, all treatment conditions significantly reduced symptoms compared to the condition without a treatment component. At follow-up, the superiority of psychoeducation and exposure was not significant anymore due to the version without the respective components catching up.

Conclusion: The findings suggest that while all treatment components of ICBT for SAD are beneficial compared to no treatment, psychoeducation and exposure include specific active components that significantly improve treatment outcomes more quickly in ICBT for SAD.

求助全文
通过发布文献求助,成功后即可免费获取论文全文。 去求助
来源期刊
Psychotherapy and Psychosomatics
Psychotherapy and Psychosomatics 医学-精神病学
CiteScore
29.40
自引率
6.10%
发文量
46
期刊介绍: Psychotherapy and Psychosomatics is a reputable journal that has been published since 1953. Over the years, it has gained recognition for its independence, originality, and methodological rigor. The journal has been at the forefront of research in psychosomatic medicine, psychotherapy research, and psychopharmacology, and has contributed to the development of new lines of research in these areas. It is now ranked among the world's most cited journals in the field. As the official journal of the International College of Psychosomatic Medicine and the World Federation for Psychotherapy, Psychotherapy and Psychosomatics serves as a platform for discussing current and controversial issues and showcasing innovations in assessment and treatment. It offers a unique forum for cutting-edge thinking at the intersection of medical and behavioral sciences, catering to both practicing clinicians and researchers. The journal is indexed in various databases and platforms such as PubMed, MEDLINE, Web of Science, Science Citation Index, Social Sciences Citation Index, Science Citation Index Expanded, BIOSIS Previews, Google Scholar, Academic Search, and Health Research Premium Collection, among others.
×
引用
GB/T 7714-2015
复制
MLA
复制
APA
复制
导出至
BibTeX EndNote RefMan NoteFirst NoteExpress
×
提示
您的信息不完整,为了账户安全,请先补充。
现在去补充
×
提示
您因"违规操作"
具体请查看互助需知
我知道了
×
提示
确定
请完成安全验证×
copy
已复制链接
快去分享给好友吧!
我知道了
右上角分享
点击右上角分享
0
联系我们:info@booksci.cn Book学术提供免费学术资源搜索服务,方便国内外学者检索中英文文献。致力于提供最便捷和优质的服务体验。 Copyright © 2023 布克学术 All rights reserved.
京ICP备2023020795号-1
ghs 京公网安备 11010802042870号
Book学术文献互助
Book学术文献互助群
群 号:604180095
Book学术官方微信